Андрей Трундов - Высокоскоростные печатные платы. Сохранение целостности электрических сигналов и электропитания

Здесь есть возможность читать онлайн «Андрей Трундов - Высокоскоростные печатные платы. Сохранение целостности электрических сигналов и электропитания» — ознакомительный отрывок электронной книги совершенно бесплатно, а после прочтения отрывка купить полную версию. В некоторых случаях можно слушать аудио, скачать через торрент в формате fb2 и присутствует краткое содержание. ISBN: , Жанр: Справочники, Технические науки, Руководства, на русском языке. Описание произведения, (предисловие) а так же отзывы посетителей доступны на портале библиотеки ЛибКат.

Высокоскоростные печатные платы. Сохранение целостности электрических сигналов и электропитания: краткое содержание, описание и аннотация

Предлагаем к чтению аннотацию, описание, краткое содержание или предисловие (зависит от того, что написал сам автор книги «Высокоскоростные печатные платы. Сохранение целостности электрических сигналов и электропитания»). Если вы не нашли необходимую информацию о книге — напишите в комментариях, мы постараемся отыскать её.

В книге собраны материалы по теме сохранения целостности электрических сигналов и электропитания, которые позволят радиолюбителям и инженерам осознанно применять известные правила при проектировании печатных плат высокоскоростных устройств. Для начинающих радиолюбителей и студентов книга может стать справочным пособием по разработке печатных плат с набором правил «хорошего тона».

Высокоскоростные печатные платы. Сохранение целостности электрических сигналов и электропитания — читать онлайн ознакомительный отрывок

Ниже представлен текст книги, разбитый по страницам. Система сохранения места последней прочитанной страницы, позволяет с удобством читать онлайн бесплатно книгу «Высокоскоростные печатные платы. Сохранение целостности электрических сигналов и электропитания», без необходимости каждый раз заново искать на чём Вы остановились. Поставьте закладку, и сможете в любой момент перейти на страницу, на которой закончили чтение.

Тёмная тема
Сбросить

Интервал:

Закладка:

Сделать

Резистор

Конструктивно резистор представляет элемент с двумя выводами, который ограничивает поток зарядов, электрический ток. Основным параметром резистора является электрическое сопротивление, которое определяется удельным сопротивлением проводящего материала ρ 0, его длиной l и сечением S.

Резистор не накапливает электрическую или магнитную энергию Он рассеивает ее в - фото 16

Резистор не накапливает электрическую или магнитную энергию. Он рассеивает ее в виде тепла в окружающее пространство. При протекании тока I через резистор сопротивлением R на его выводах создается разность потенциалов или падение напряжения, определяемое по закону Ома

U = IR

выделяется тепловая энергия

Q=I 2Rt

Сопротивление идеального резистора не зависит от частоты. Поэтому резистор не является реактивным элементом. При прохождении через резистор сигнал сохраняет свою форму. Возможно уменьшение его амплитуды. Причем это изменение амплитуды может происходить почти мгновенно, безынерционно.

Сопротивлением обладают и простые проводники, и полигоны печатной платы. Из-за отсутствия инерционных свойств и малых геометрических размеров их вклад в работу высокочастотных схем и конструкцию печатных плат часто имеет много меньшее значение по сравнению с вкладами инерционных элементов – конденсатора и катушки или эквивалента индуктивности, импеданс которых сильно зависит от частоты сигнала.

Катушка индуктивности

Конструктивно катушка индуктивности представляет электрический элемент в виде отрезка проводника, намотанного на некоторую оправу или сердечник. Основным параметром катушки является ее индуктивность L, определяющая количество запасенной энергии магнитного поля.

где μ магнитная проницаемость материала сердечника μ 0 магнитная - фото 17

, где μ – магнитная проницаемость материала сердечника, μ 0 – магнитная проницаемость свободного пространства (при отсутствии магнитного поля и сердечника данными показателями можно пренебречь), N – число витков (для одиночного сигнального проводника линии передачи данный показатель не имеет значения), А или S – площадь поперечного сечения витка – данный параметр и параметр крутизны изгиба имеет определяющее значение для типового проводника, l – длина катушки

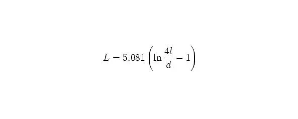
Индуктивностью обладает и прямой проводник. Ее значение можно определить по формуле:

где l длина проводника d диаметр проводника в тех же единицах что и l - фото 18

,где l – длина проводника, d – диаметр проводника (в тех же единицах, что и l)

Индуктивность определяет энергию магнитного поля, созданного электрическим током в проводнике, изгибе проводника или контуре. Энергия магнитного поля, накопленная в индуктивности, определяется выражением

Индуктивность катушки пропорциональна значению магнитной проницаемости μ - фото 19

Индуктивность катушки пропорциональна значению магнитной проницаемости μ сердечника, на который она установлена.

Импеданс индуктивности Z (сопротивление, зависящее от частоты) при постоянном токе равен нулю или, точнее, омическому сопротивлению образующего ее проводника.

С ростом частоты импеданс индуктивности увеличивается.

Нулевое значение импеданса на постоянном токе и его увеличение с ростом частоты - фото 20

Нулевое значение импеданса на постоянном токе и его увеличение с ростом частоты делают эффективными установку катушек и дросселей последовательно в цепь питания для обеспечения фильтрации (высокочастотные составляющие претерпевают при прохождении через индуктивность значительное ослабление). Это позволяет без потерь передавать постоянный ток от источника питания в нагрузку и препятствует нежелательному прохождению высокочастотных составляющих спектра сигнала (возможных пульсаций, помех).

Индуктивность выводов фильтрующих конденсаторов снижает эффективность отвода высокочастотных составляющих спектра в опорный слой. Именно поэтому в качестве фильтрующих рекомендуется применять конденсаторы с малыми размерами выводов с расположением их на минимальном расстоянии от контактов питания микросхем, поскольку подводящие проводники увеличивают «вредную» в данном случае индуктивность выводов.

Читать дальше
Тёмная тема
Сбросить

Интервал:

Закладка:

Сделать

Похожие книги на «Высокоскоростные печатные платы. Сохранение целостности электрических сигналов и электропитания»

Представляем Вашему вниманию похожие книги на «Высокоскоростные печатные платы. Сохранение целостности электрических сигналов и электропитания» списком для выбора. Мы отобрали схожую по названию и смыслу литературу в надежде предоставить читателям больше вариантов отыскать новые, интересные, ещё непрочитанные произведения.


libcat.ru: книга без обложки
Неизвестный Автор
Отзывы о книге «Высокоскоростные печатные платы. Сохранение целостности электрических сигналов и электропитания»

Обсуждение, отзывы о книге «Высокоскоростные печатные платы. Сохранение целостности электрических сигналов и электропитания» и просто собственные мнения читателей. Оставьте ваши комментарии, напишите, что Вы думаете о произведении, его смысле или главных героях. Укажите что конкретно понравилось, а что нет, и почему Вы так считаете.

x