Charles S. Cockell - Astrobiology

Здесь есть возможность читать онлайн «Charles S. Cockell - Astrobiology» — ознакомительный отрывок электронной книги совершенно бесплатно, а после прочтения отрывка купить полную версию. В некоторых случаях можно слушать аудио, скачать через торрент в формате fb2 и присутствует краткое содержание. Жанр: unrecognised, на английском языке. Описание произведения, (предисловие) а так же отзывы посетителей доступны на портале библиотеки ЛибКат.

Astrobiology: краткое содержание, описание и аннотация

Предлагаем к чтению аннотацию, описание, краткое содержание или предисловие (зависит от того, что написал сам автор книги «Astrobiology»). Если вы не нашли необходимую информацию о книге — напишите в комментариях, мы постараемся отыскать её.

A guide to understanding the formation of life in the Universe The revised and updated second edition of
offers an introductory text that explores the structure of living things, the formation of the elements required for life in the Universe, the biological and geological history of the Earth, and the habitability of other planets. Written by a noted expert on the topic, the book examines many of the major conceptual foundations in astrobiology, which cover a diversity of traditional fields including chemistry, biology, geosciences, physics, and astronomy.
The book explores many profound questions such as: How did life originate on Earth? How has life persisted on Earth for over three billion years? Is there life elsewhere in the Universe? What is the future of life on Earth?
is centered on investigating the past and future of life on Earth by looking beyond Earth to get the answers. Astrobiology links the diverse scientific fields needed to understand life on our own planet and, potentially, life beyond. This new second edition:
Expands on information about the nature of astrobiology and why it is useful Contains a new chapter “What is Life?” that explores the history of attempts to understand life Contains 20% more material on the astrobiology of Mars, icy moons, the structure of life, and the habitability of planets New ‘Discussion Boxes’ to stimulate debate and thought about key questions in astrobiology New review and reflection questions for each chapter to aid learning New boxes describing the careers of astrobiologists and how they got into the subject Offers revised and updated information throughout to reflect the latest advances in the field Written for students of life sciences, physics, astronomy and related disciplines, the updated edition of
is an essential introductory text that includes recent advances to this dynamic field.

Astrobiology — читать онлайн ознакомительный отрывок

Ниже представлен текст книги, разбитый по страницам. Система сохранения места последней прочитанной страницы, позволяет с удобством читать онлайн бесплатно книгу «Astrobiology», без необходимости каждый раз заново искать на чём Вы остановились. Поставьте закладку, и сможете в любой момент перейти на страницу, на которой закончили чтение.

Тёмная тема
Сбросить

Интервал:

Закладка:

Сделать

What about other elements in the Periodic Table? The halogens (chlorine and fluorine) are generally too reactive and do not form chains and complex molecules (although they are bonded to complex carbon molecules). The metals, including magnesium, iron, nickel, potassium, sodium, calcium, and so on, do not form strong covalent bonds but instead form ionic bonds ( Chapter 3), which, although strong, do not generate a rich diversity of complex compounds associated with the variety of chains possible with covalent bonds. They tend to form invariant large networks of ions, as seen in salts such as NaCl. Oxygen and boron are also implausible candidates because, although they form covalent bonds and are involved in carbon chemistry, they do not, in themselves, form chains and other complex molecular arrangements.

Despite this quite negative conclusion about the possibility of forming molecules for living things with a core element other than carbon, scientific history teaches us to always keep an open mind. Continued investigations of silicon and other elements might lead us to change our conclusions. If they do not, we will at least have deepened our understanding of why carbon makes a uniquely suitable element for life.

4.11.2 Alternative Solvents

The possibilities for alternative solvents to liquid water have been discussed for a long time by the astrobiology community. Although water is an abundant solvent in the Universe, other solvents might be plausible in planetary environments with different physical and chemical environments to Earth. Unfortunately, few of these alternatives have been empirically investigated in any depth. Without detection of a life form using them, it is difficult to carry out convincing biological experiments to show that they could be used. Additionally, our knowledge of how the origin of life occurred is not sufficiently complete to be able to test alternative solvents in the laboratory as possible solvents for the origin of life. Nevertheless, some physical properties of alternative solvents might make them candidates.

It has been shown that many enzymes can be active in non-polar solvents such as benzene and that about 20% of the human DNA encodes membrane proteins that require the non-polar environments inside cell membranes to operate. Although these observations do not provide any direct evidence for the possibility of non-aqueous solvents being potentially successful media for complete biochemistry, they show that even some terrestrial biochemistry operates in non-aqueous environments.

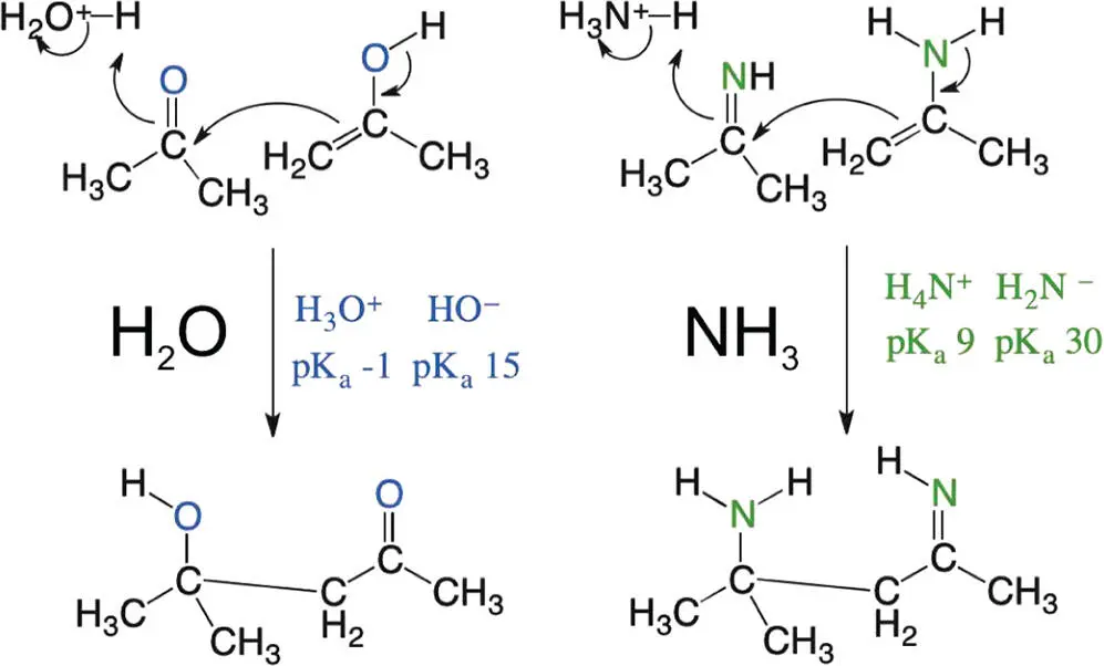
Ammonia has been one of the most discussed alternatives to water. Although the chemistries it would be involved in would be different, analog reaction sequences can be envisaged. In Figure 4.20, the central role of the N atom in the formation of new C C bonds in a putative liquid ammoniabased chemistry is illustrated Figure - фото 95C bonds in a putative liquid ammonia-based chemistry is illustrated.

Figure 420 Chemistry in alien solvents Different functional groups but - фото 96

Figure 4.20 Chemistry in alien solvents. Different functional groups, but analogous mechanisms, could be used to form carbon–carbon bonds in different solvents. Here this concept is illustrated for forming a new CC bond in water (left) and liquid ammonia (right).

Source: Reproduced with permission of Steve Benner.

Comparing the physical properties of ammonia to those of water yields insights into their possible comparative advantages and disadvantages. Ammonia is less viscous than water (compare 1 centipoise (cP) for water at room temperature to 0.265 cP for ammonia) and so molecules diffuse through it more quickly. We could therefore even speculate that it would make a better solvent for the rapid transport and diffusion of metabolites in a cell. Ammonia has some intriguing capacities that are not seen in water. For example, it readily dissolves metals, resulting in a solution of solvated electrons. As electron transfer is a fundamental part of energy acquisition in known life, maybe the solvent would be highly efficacious for electron transport.

However, ammonia has a lower heat of vaporization (1369 kJ kg −1) than water (2257 kJ kg −1) and so may be less able to maintain a liquid state under rapid environmental temperature changes, depending on the environmental conditions. The greatest difference to water is that ammonia is liquid at lower temperatures and has a smaller liquid temperature range at atmospheric pressure (−78 to −34 °C). In contrast, one could argue that this view is Earth-centric and that in a cold planetary environment, its low-temperature liquid state would provide a solvent for life. The temperature of its liquid range can be increased by increasing the pressure, such that at about 2 MPa (20 atm), the boiling point is increased to around 50 °C.

Ammonia presents other potential challenges for life, most notably the high pH of ammonia solutions. Ammonia solutions of 1% or greater have pH values greater than 11, and biochemistries would require adaptation to these conditions, although organisms with adaptations to high pH are known. In solution, ammonia dissociates into NH 4 +and NH 2 −ions, the latter binding to protons and thus being annihilative to molecules.

In summary, we can find, like water, both advantages and disadvantages to ammonia as a potential solvent for life. Of solvents that have been investigated, it probably comes closest to water in its versatility. It is universally abundant. Saturn's moon Titan is thought to host a subsurface ocean that may contain ammonia, perhaps at around 30%. It is likely to exist in a variety of extraterrestrial environments where low temperatures favor its persistence. The limitations in our knowledge about its potential as a biological solvent primarily relate to a lack of both chemical and biological evidence that a life form could be constructed in this solvent.

Finally, there are some other suggestions for solvents. Hydrofluoric acid has been discussed as an alternative. The wide temperature range at which it remains liquid makes it a possible candidate, with fluorine replacing oxygen in many molecular structures. However, the low cosmic abundance of fluorine and high reactivity with organic carbon molecules make it limited.

Yet another suggested solvent is methane. Methane is found in abundance on Saturn's moon Titan, where the surface temperature is 94 K. The liquid forms lakes and rivers in a geological analogy to liquid water on Earth. This sheer abundance has invited ideas about the evolution of life within this liquid. As it is non-polar, one intriguing idea is that cells would form inside-out membranes, where the non-polar tails would point into the methane, and charged “methane-phobic” groups would point inwards. As we know that even in terrestrial life trans-membrane proteins operate best in non-polar environments, it could even be that cells and their associated enzymes and proteins assembled in a solvent like methane would be able to escape damaging hydrolysis reactions associated with water. As with other solvents, since we lack an example of life within this alternative liquid, it is difficult to empirically assess its potential. Indeed, ultimately the best way to test such a hypothesis would be to look for life on Titan using spacecraft.

Various other substances have been discussed and some of their properties are shown in Table 4.1. These alternative solvents raise the question of what we require in a solvent for it to be useful in life. Although for any given liquids we can find characteristics that are compatible with the biology we know, to act as a plausible solvent, a liquid must offer several characteristics, including the ability to mediate the diversity of chemical reactions needed for a replicating, evolving chemical system. Investigating these attributes can become tautological in the sense that the carbon-containing chemistry that we know in terrestrial life has evolved in water. To take this entire structure and ask whether it will work in other solvents is almost certainly likely to result in the conclusion that water is best. The simple point is that we just don't know to what extent a reproducing, evolving entity can be built in alternative solvents and what corresponding modifications in its core chemistry compared to terrestrial life would permit it to evolve in such solvents.

Читать дальше
Тёмная тема
Сбросить

Интервал:

Закладка:

Сделать

Похожие книги на «Astrobiology»

Представляем Вашему вниманию похожие книги на «Astrobiology» списком для выбора. Мы отобрали схожую по названию и смыслу литературу в надежде предоставить читателям больше вариантов отыскать новые, интересные, ещё непрочитанные произведения.


Отзывы о книге «Astrobiology»

Обсуждение, отзывы о книге «Astrobiology» и просто собственные мнения читателей. Оставьте ваши комментарии, напишите, что Вы думаете о произведении, его смысле или главных героях. Укажите что конкретно понравилось, а что нет, и почему Вы так считаете.