Allan T. Kirkpatrick - Internal Combustion Engines
Здесь есть возможность читать онлайн «Allan T. Kirkpatrick - Internal Combustion Engines» — ознакомительный отрывок электронной книги совершенно бесплатно, а после прочтения отрывка купить полную версию. В некоторых случаях можно слушать аудио, скачать через торрент в формате fb2 и присутствует краткое содержание. Жанр: unrecognised, на английском языке. Описание произведения, (предисловие) а так же отзывы посетителей доступны на портале библиотеки ЛибКат.
- Название:Internal Combustion Engines
- Автор:
- Жанр:
- Год:неизвестен
- ISBN:нет данных
- Рейтинг книги:5 / 5. Голосов: 1
-
Избранное:Добавить в избранное
- Отзывы:
-
Ваша оценка:
Internal Combustion Engines: краткое содержание, описание и аннотация
Предлагаем к чтению аннотацию, описание, краткое содержание или предисловие (зависит от того, что написал сам автор книги «Internal Combustion Engines»). Если вы не нашли необходимую информацию о книге — напишите в комментариях, мы постараемся отыскать её.
New engine technologies and concepts Effects of engine speed on performance and emissions Fluid mechanics of intake and exhaust flow in engines Turbocharger and supercharger performance analysis Chemical kinetic modeling, reaction mechanisms, and emissions Advanced combustion processes including low temperature combustion Piston, ring and journal bearing friction analysis The
expands on the combined analytical and numerical approaches used successfully in previous editions. Students and engineers are provided with several new tools for applying the fundamental principles of thermodynamics, fluid mechanics, and heat transfer to internal combustion engines.
Each chapter includes MATLAB programs and examples showing how to perform detailed engineering computations. The chapters also have an increased number of homework problems with which the reader can gauge their progress and retention. All the software is ‘open source’ so that readers can see in detail how computational analysis and the design of engines is performed. A companion website is also provided, offering access to the MATLAB computer programs.
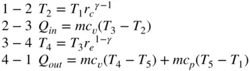
, the ratio of the expansion ratio to the compression ratio:


. Also detailed in Example 2.2, the imep is
. The ratio of the Miller cycle thermal efficiency to an equivalent Otto cycle efficiency with the same compression ratio is plotted in Figure 2.8for a range of compression ratios and
values. With values of
and
, the Miller cycle is about 20% more efficient than the Otto cycle.
(
).
in Figure 2.9. As
increases, the imep decreases significantly, since the fraction of the displacement volume
that is filled with the inlet fuel–air mixture decreases. This relative decrease in imep and engine power is a disadvantage of the Miller cycle, which is the reason supercharging of the inlet mixture or increase of the overall engine displacement volume is used to increase the imep.
(
).
engine in 1889. This engine had a two‐bar linkage between the connecting rod and the crankshaft so that the piston traveled through four unequal strokes in every crankshaft revolution. The expansion to intake stroke ratio was 1.78:1. Honda (Takita et al. 2011) has recently produced an Atkinson cycle engine by adding a trigonal link, swing rod, and eccentric shaft to a conventional connecting rod and crankshaft assembly. The engine is used in a micro combined heat and power generation (CHP) application. The engine
, with an expansion ratio
and compression ratio of
. The brake thermal efficiency is 26.3% compared to 22.5% for a conventional engine.
and imep as a function of
and
. Using a state by state cycle analysis,