Mary Jane Sterling - Algebra I All-in-One For Dummies

Здесь есть возможность читать онлайн «Mary Jane Sterling - Algebra I All-in-One For Dummies» — ознакомительный отрывок электронной книги совершенно бесплатно, а после прочтения отрывка купить полную версию. В некоторых случаях можно слушать аудио, скачать через торрент в формате fb2 и присутствует краткое содержание. Жанр: unrecognised, на английском языке. Описание произведения, (предисловие) а так же отзывы посетителей доступны на портале библиотеки ЛибКат.

Algebra I All-in-One For Dummies: краткое содержание, описание и аннотация

Предлагаем к чтению аннотацию, описание, краткое содержание или предисловие (зависит от того, что написал сам автор книги «Algebra I All-in-One For Dummies»). Если вы не нашли необходимую информацию о книге — напишите в комментариях, мы постараемся отыскать её.

Solve for ‘X’ with this practical and easy guide to everything algebra  A solid understanding of algebra is the key to unlocking other areas of math and science that rely on the concepts and skills that happen in a foundational Algebra class. 
 is the key! With it, you’ll get everything you need to solve the mystery of Algebra I. 
This book proves that algebra is for everyone with straightforward, unit-based instruction, hundreds of examples and practice problems, and two quizzes for every chapter – one in the book and another (totally different!) online. From graph and word problems to the FOIL method and common algebra terminology, 
 walks you step-by-step through ALL the concepts you need to know to slay your Algebra I class. 
In this handy guide, you’ll also: 
Receive instruction and tips on how to handle basic and intermediate algebraic tasks such as factoring and equation simplification Banish math anxiety forever by developing an intuitive understanding of how algebra works Get a handle on graphing problems and functions, as well as inequalities and word problems 
is a must-read for Algebra students looking for an everything-in-one-book supplement to their coursework, as well as anyone hoping to brush up on their math before tackling a related subject, such as physics, chemistry, or a more advanced math topic.

Algebra I All-in-One For Dummies — читать онлайн ознакомительный отрывок

Ниже представлен текст книги, разбитый по страницам. Система сохранения места последней прочитанной страницы, позволяет с удобством читать онлайн бесплатно книгу «Algebra I All-in-One For Dummies», без необходимости каждый раз заново искать на чём Вы остановились. Поставьте закладку, и сможете в любой момент перейти на страницу, на которой закончили чтение.

Тёмная тема
Сбросить

Интервал:

Закладка:

Сделать

A. Algebra I AllinOne For Dummies - изображение 58. The dot between the absolute value and greatest integer operations isn’t really necessary, but it helps define better what you’re expressing.

13 Algebra I AllinOne For Dummies - изображение 59Use mathematical symbols to write the expression: “Four times z plus the square root of 11.”

14 Use mathematical symbols to write the expression: “The difference between x and two is divided by pi.”

15 Use mathematical symbols to write the expression: “The product of six and the absolute value of the sum of eight and y is divided by the square root of the difference between 9 and x .”

Taking Aim at Algebra-Speak

Everything you study requires some understanding of the vocabulary and any special notation. When you can use one word like “introductory” instead of “all that good stuff that comes before the meat of the matter,” then you’ve saved time and space and gotten to the point quickly.

Algebra is full of good words and symbols, as you see in the previous section. And now you find how specific symbols and wording gets right to the point (and, yes, a point in algebra can mean multiply). You’re “equal” to the challenge!

Herding numbers with grouping symbols

Before a car manufacturer puts together a car, several different things have to be done first. The engine experts have to construct the engine with all its parts. The body of the car then has to be mounted onto the chassis and also secured. Other car assemblers have to perform the tasks that they specialize in as well. When these tasks are all accomplished in order, the car can be put together. The same is true with algebra. You have to do what’s inside the grouping symbol before you can use the result in the rest of the equation.

Grouping symbols tell you that you have to deal with the terms inside the grouping symbols before you deal with the larger problem. If the problem contains grouped items, do what’s inside a grouping symbol first, and then follow the order of operations. The grouping symbols are as follows.

Parentheses ( ): Parentheses are the most commonly used symbols for grouping.

Brackets [ ] and braces { }: Brackets and braces are also used frequently for grouping and have the same effect as parentheses. Using the different types of symbols helps when there’s more than one grouping in a problem. It’s easier to tell where a group starts and ends.

Radical : This is used for finding roots.

Fraction line (called the vinculum ): The fraction line also acts as a grouping symbol — everything above the line (in the numerator ) is grouped together, and everything below the line (in the denominator ) is grouped together.

Even though the order of operations and grouping-symbol rules are fairly straightforward, it’s hard to describe, in words, all the situations that can come up in these problems. The explanations and examples in Chapters 3and 7should clear up any questions you may have.

Algebra I AllinOne For Dummies - изображение 60 Q.What are the operations found in the expression: Algebra I AllinOne For Dummies - изображение 61?

A.The operations, in order from left to right, are multiplication, subtraction, division, addition, multiplication, and square root. The term 3 y means to multiply 3 times y . The subtraction symbol separates the first and second terms. Writing y over 4 in a fraction means to divide. Then that term has the radical added to it. The 2 and y are multiplied under the radical, and then the square root is taken.

Q.Identify the grouping symbols shown in Algebra I AllinOne For Dummies - изображение 62.

A.The first grouping symbol to recognize is the fraction line. It separates the term in the numerator, Algebra I AllinOne For Dummies - изображение 63, from the terms in the denominator, Algebra I AllinOne For Dummies - изображение 64. Next, you see the brackets, which contain the two terms forming a subtraction, Algebra I AllinOne For Dummies - изображение 65. The last grouping symbols are the parentheses, which have a multiplier of 2 and, inside, the sum of two terms.

16 Algebra I AllinOne For Dummies - изображение 66Write the expression using the correct symbols: “The square root of x is subtracted from 3 times y .”

17 Write the expression using the correct symbols: “Add 2 and y ; then divide that sum by 11.”

18 Identify the grouping symbols in Algebra I AllinOne For Dummies - изображение 67.

Defining relationships

Algebra is all about relationships — not the he-loves-me-he-loves-me-not kind of relationship, but the relationships between numbers or among the terms of an expression. Although algebraic relationships can be just as complicated as romantic ones, you have a better chance of understanding an algebraic relationship. The symbols for the relationships are given here. The equations are found in Chapters 14through 18, and inequalities are found in Chapter 19.

= means that the first value is equal to or the same as the value that follows.

≠ means that the first value is not equal to the value that follows.

≈ means that one value is approximately the same or about the same as the value that follows; this is used when rounding numbers.

≤ means that the first value is less than or equal to the value that follows.

< means that the first value is less than the value that follows.

≥ means that the first value is greater than or equal to the value that follows.

> means that the first value is greater than the value that follows.

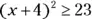
Algebra I AllinOne For Dummies - изображение 68 Q.Write this expression using mathematical symbols: “When you square the sum of x and 4, the result is greater than or equal to 23.”

A. Algebra I AllinOne For Dummies - изображение 69. The point of the inequality symbol always faces the smaller value.

Q.Write this expression using mathematical symbols: “The circumference, C, of a circle divided by the diameter, d, is equal to pi, which is about 3.1416.”

Читать дальше
Тёмная тема
Сбросить

Интервал:

Закладка:

Сделать

Похожие книги на «Algebra I All-in-One For Dummies»

Представляем Вашему вниманию похожие книги на «Algebra I All-in-One For Dummies» списком для выбора. Мы отобрали схожую по названию и смыслу литературу в надежде предоставить читателям больше вариантов отыскать новые, интересные, ещё непрочитанные произведения.


Отзывы о книге «Algebra I All-in-One For Dummies»

Обсуждение, отзывы о книге «Algebra I All-in-One For Dummies» и просто собственные мнения читателей. Оставьте ваши комментарии, напишите, что Вы думаете о произведении, его смысле или главных героях. Укажите что конкретно понравилось, а что нет, и почему Вы так считаете.

x