Юрий Лапыгин - Системное решение проблем

Здесь есть возможность читать онлайн «Юрий Лапыгин - Системное решение проблем» — ознакомительный отрывок электронной книги совершенно бесплатно, а после прочтения отрывка купить полную версию. В некоторых случаях можно слушать аудио, скачать через торрент в формате fb2 и присутствует краткое содержание. Город: Москва, Год выпуска: 2008, ISBN: 2008, Издательство: Array Конспекты, шпаргалки, учебники «ЭКСМО», Жанр: management, на русском языке. Описание произведения, (предисловие) а так же отзывы посетителей доступны на портале библиотеки ЛибКат.

Системное решение проблем: краткое содержание, описание и аннотация

Предлагаем к чтению аннотацию, описание, краткое содержание или предисловие (зависит от того, что написал сам автор книги «Системное решение проблем»). Если вы не нашли необходимую информацию о книге — напишите в комментариях, мы постараемся отыскать её.

Если вы испытываете трудности при принятии верных решений, от которых многое зависит, то вы должны осознать, что вам не хватает системного подхода к решению проблем.
В этой книге просто и доступно дается методика постановки проблемы, ее правильная классификация и способы решения, а также разные формы работы над ней. Вы получите конкретные рекомендации, как работать индивидуально и в команде, как в ходе реализации принятого решения преодолеть сопротивление изменениям и правильно организовать обратную связь для анализа хода работы и результатов.
Описанный автором системный подход позволит накопить положительный опыт и устранить недостатки и погрешности в работе.
Книга написана простым, доступным языком с использованием рисунков и таблиц, что, безусловно, облегчает восприятие. Будет интересна руководителям и менеджерам всех уровней, тем, кто каждый день принимает решения и отвечает за результат.

Системное решение проблем — читать онлайн ознакомительный отрывок

Ниже представлен текст книги, разбитый по страницам. Система сохранения места последней прочитанной страницы, позволяет с удобством читать онлайн бесплатно книгу «Системное решение проблем», без необходимости каждый раз заново искать на чём Вы остановились. Поставьте закладку, и сможете в любой момент перейти на страницу, на которой закончили чтение.

Тёмная тема
Сбросить

Интервал:

Закладка:

Сделать

Экономическая эффективность управленческого решения характеризуется соотношением стоимости прибавочного продукта, полученного за счет реализации конкретного управленческого решения и затрат на его подготовку и реализацию. Прибавочный продукт может быть представлен в виде прибыли, снижения затрат, увеличения производительности, получения кредитов и т. д.

Технологическая эффективность управленческого решения – результат достижения отраслевого, национального или мирового технологического уровня производства, запланированного в бизнес-плане, за более короткое время или меньшими финансовыми затратами.

Социальная эффективность управленческого решения рассматривается как результат достижения социальных целей для большего количества работников и компании за более короткое время, меньшим числом работников и меньшими финансовыми затратами.

Психологическая эффективность управленческого решения связана с достижением психологических целей для большего числа работников или населения за более короткое время, меньшим числом работников или меньшими психологическими затратами.

Правовая эффективность управленческого решения оценивается степенью достижения правовых целей организации и персонала за более короткое время, меньшим числом работников или меньшими финансовыми затратами.

Экологическая эффективность управленческого решения представляет собой результат достижения экологических целей организации и персонала за более короткое время, меньшим числом работников или меньшими финансовыми затратами.

Эффективность управленческого решения можно разделить по уровням ее разработки и реализации, а также охвату людей и компаний. Существует эффективность управленческого решения на уровне производства и управления компании, группы компаний, отрасли, региона, страны.

Система количественных и качественных оценок на базе реальных показателей, норм и стандартов осуществляет управление эффективностью управленческого решения. Эффективность управленческого решения может проявляться в различных направлениях деятельности организации.

Важная особенность управленческого решения как продукции управленческой деятельности – его нематериальная сущность.

Классическое соотношение, позволяющее оценить экономическую эффективность ( Э З), имеет следующий вид:

161 Представленное в виде информации управленческое решение формирует - фото 111 (16.1)

Представленное в виде информации управленческое решение формирует условия для создания продукции, информации или знания. Более того, до конкретной его реализации проходит еще много операций управления и производства, каждая из которых может оказать как положительное, так и отрицательное влияние на конечный результат. Следовательно, прибыль от реализации управленческого решения рассчитать затруднительно, затраты же на подготовку и реализацию управленческого решения можно легко представить по калькуляции затрат.

Положительный экономический эффект от управленческого решения влияет на - фото 112 Положительный экономический эффект от управленческого решения влияет на - фото 113

Положительный экономический эффект от управленческого решения влияет на положительный экономический эффект от производства и реализации продукции. Наиболее известные методы оценки экономического эффекта представлены ниже:

• косвенный метод сопоставления различных вариантов;

• метод по конечным результатам;

• метод по непосредственным результатам деятельности.

Эти методы дают оценочные результаты в некотором диапазоне, не претендуя на строгую точность.

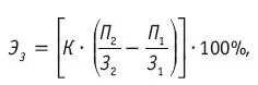
1. Косвенный метод сопоставления различных вариантов основан на сравнении экономических показателей конечной продукции, полученных от реализации двух управленческих решений при одинаковом характере производства продукции. Он позволяет использовать рыночную стоимость произведенной продукции и затраты на ее производство вместо рыночной стоимости управленческого решения.

Экономическая эффективность рассчитывается следующим образом:

162 где К коэффициент пропорциональности учитывающий долю эффективности - фото 114 (16.2)

где К – коэффициент пропорциональности, учитывающий долю эффективности, приходящейся на управленческое решение (обычно К = 0,4–0,5);

Читать дальше
Тёмная тема
Сбросить

Интервал:

Закладка:

Сделать

Похожие книги на «Системное решение проблем»

Представляем Вашему вниманию похожие книги на «Системное решение проблем» списком для выбора. Мы отобрали схожую по названию и смыслу литературу в надежде предоставить читателям больше вариантов отыскать новые, интересные, ещё непрочитанные произведения.


Кейт Кинан - Решение проблем
Кейт Кинан
Владимир Сулаев - Решение проблем России
Владимир Сулаев
Отзывы о книге «Системное решение проблем»

Обсуждение, отзывы о книге «Системное решение проблем» и просто собственные мнения читателей. Оставьте ваши комментарии, напишите, что Вы думаете о произведении, его смысле или главных героях. Укажите что конкретно понравилось, а что нет, и почему Вы так считаете.

x