Рауль Ибаньес - Том 26. Мечта об идеальной карте. Картография и математика

Здесь есть возможность читать онлайн «Рауль Ибаньес - Том 26. Мечта об идеальной карте. Картография и математика» весь текст электронной книги совершенно бесплатно (целиком полную версию без сокращений). В некоторых случаях можно слушать аудио, скачать через торрент в формате fb2 и присутствует краткое содержание. Город: Москва, Год выпуска: 2014, Издательство: ООО «Де Агостини», Жанр: Математика, на русском языке. Описание произведения, (предисловие) а так же отзывы посетителей доступны на портале библиотеки ЛибКат.

Том 26. Мечта об идеальной карте. Картография и математика: краткое содержание, описание и аннотация

Предлагаем к чтению аннотацию, описание, краткое содержание или предисловие (зависит от того, что написал сам автор книги «Том 26. Мечта об идеальной карте. Картография и математика»). Если вы не нашли необходимую информацию о книге — напишите в комментариях, мы постараемся отыскать её.

Современный человек пользуется картами практически ежедневно: карты украшают стены школ, они помогают нам ориентироваться на местности, находить кратчайший путь из одного пункта в другой, изучать историю, географию, экономику и ряд других наук.
Карты — важный рабочий инструмент для некоторых специалистов: моряков, летчиков, машинистов, топографов и проч. Но много ли мы знаем о том, как создаются карты? Для чего существует такое количество разнообразных карт и насколько все они точны?
Прочитав эту книгу, вы узнаете множество новых и любопытных фактов о геометрии карт.

Том 26. Мечта об идеальной карте. Картография и математика — читать онлайн бесплатно полную книгу (весь текст) целиком

Ниже представлен текст книги, разбитый по страницам. Система сохранения места последней прочитанной страницы, позволяет с удобством читать онлайн бесплатно книгу «Том 26. Мечта об идеальной карте. Картография и математика», без необходимости каждый раз заново искать на чём Вы остановились. Поставьте закладку, и сможете в любой момент перейти на страницу, на которой закончили чтение.

Тёмная тема
Сбросить

Интервал:

Закладка:

Сделать

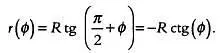
Учитывая вышесказанное, чтобы изобразить сетку меридианов и параллелей на карте, выполненной в полярной азимутальной проекции, нужно определить центр проекции (Северный или Южный полюс), провести ряд равномерно распределенных прямых, проходящих через центр карты, которые будут соответствовать меридианам, а затем изобразить ряд концентрических окружностей, которые будут обозначать параллели. Следовательно, необходимо определить, на каком расстоянии друг от друга должны располагаться эти окружности. Мы можем вычислить это расстояние, например, для гномонической проекции.

Выберем в качестве точки отсчета Южный полюс Для данной точки А широтой φ и ее - фото 81

Выберем в качестве точки отсчета Южный полюс. Для данной точки А широтой φ и ее отображения А' определены два подобных прямоугольных треугольника, как показано на рисунке выше. Длины катетов малого треугольника таковы (напоминаем, что здесь φ принимает отрицательные значения):

Длины катетов большого треугольника равны R и r φ расстояние от точки А - фото 82

Длины катетов большого треугольника равны R и r( φ ) — расстояние от точки А' до центра. По теореме Фалеса имеем:

откуда Следовательно теперь мы можем изобразить сетку меридианов и параллелей - фото 83

откуда

Следовательно теперь мы можем изобразить сетку меридианов и параллелей - фото 84

Следовательно, теперь мы можем изобразить сетку меридианов и параллелей центральной проекции.

Использование карт, выполненных в гномонической проекции

Как мы уже отмечали, центральная проекция не подходит для составления карт мира, но часто используется при составлении карт полярных регионов. Чтобы изобразить на такой карте весь мир, потребовалась бы двойная круговая карта, на каждой половине которой было бы представлено по одному полушарию. Однако изобразить на каждой половине карты полушарие целиком невозможно. Более того, по мере удаления от центра карты и увеличения охватываемой территории искажения расстояний, площадей и форм растут — это заметно на любой карте, выполненной в гномонической проекции. Однако для углового расстояния менее 30°, считая от точки касания, карта в этой проекции будет достаточно точной.

Несмотря на вышесказанное, гномоническая проекция неоднократно использовалась при составлении карт больших участков земной поверхности. Например, в 1844 году Обществом распространения полезных знаний Великобритании (SDUK) был опубликован атлас карт в двух томах. Планировалось, что этот недорогой атлас будет использоваться в образовательных целях. В издании гномоническая проекция применялась при составлении карт звездного неба и в шести картах, охватывающих весь земной шар (Африка и Средиземноморье, Америка, Азия и часть Австралии, Океания и полюса). Эти шесть карт соответствовали шести граням куба, в который был вписан земной шар. Далее были построены проекции земного шара на грани этого куба с центром проекций в центр сферы. Другой пример атласа мира из шести карт, составленных аналогичным образом, был издан в Веймаре в 1803 году картографом Христианом Готтлибом Рейхардом(1758–1837). Сам математик Огастес де Морган в 1836 году опубликовал книгу с длинным и не требующим дополнительных пояснений названием «Объяснение гномонической проекции сферы и тех аспектов астрономии, что наиболее необходимы при использовании астрономических карт, и описание построения и использования больших и малых карт звездного неба, равно как и шести карт Земли».

Можно составить карту мира спроецировав сферическую модель Земли на описанный - фото 85

Можно составить карту мира, спроецировав сферическую модель Земли на описанный вокруг нее куб с помощью гномонической проекции, а затем развернув этот куб на плоскости.

Как бы то ни было, важнейшее свойство гномонической проекции, которое делает ее незаменимой в навигации, заключается в сохранении геодезических линий, то есть ортодромы сферы на плоскости карты изображаются прямыми линиями. Если, например, капитану корабля или пилоту самолета потребуется определить кратчайший путь между двумя точками нашей планеты, ему достаточно будет взять карту, выполненную в гномонической проекции, и провести прямую, соединяющую выбранные точки. Морские карты в гномонической проекции можно увидеть в любом магазине и на любом интернет-сайте, посвященном навигационным картам.

Читать дальше
Тёмная тема
Сбросить

Интервал:

Закладка:

Сделать

Похожие книги на «Том 26. Мечта об идеальной карте. Картография и математика»

Представляем Вашему вниманию похожие книги на «Том 26. Мечта об идеальной карте. Картография и математика» списком для выбора. Мы отобрали схожую по названию и смыслу литературу в надежде предоставить читателям больше вариантов отыскать новые, интересные, ещё непрочитанные произведения.


Отзывы о книге «Том 26. Мечта об идеальной карте. Картография и математика»

Обсуждение, отзывы о книге «Том 26. Мечта об идеальной карте. Картография и математика» и просто собственные мнения читателей. Оставьте ваши комментарии, напишите, что Вы думаете о произведении, его смысле или главных героях. Укажите что конкретно понравилось, а что нет, и почему Вы так считаете.

x