Антонио Лизана - Если бы числа могли говорить. Гаусс. Теория чисел

Здесь есть возможность читать онлайн «Антонио Лизана - Если бы числа могли говорить. Гаусс. Теория чисел» весь текст электронной книги совершенно бесплатно (целиком полную версию без сокращений). В некоторых случаях можно слушать аудио, скачать через торрент в формате fb2 и присутствует краткое содержание. Год выпуска: 2012, Издательство: ООО «Де Агостини»,, Жанр: Математика, sci_popular, на русском языке. Описание произведения, (предисловие) а так же отзывы посетителей доступны на портале библиотеки ЛибКат.

Если бы числа могли говорить. Гаусс. Теория чисел: краткое содержание, описание и аннотация

Предлагаем к чтению аннотацию, описание, краткое содержание или предисловие (зависит от того, что написал сам автор книги «Если бы числа могли говорить. Гаусс. Теория чисел»). Если вы не нашли необходимую информацию о книге — напишите в комментариях, мы постараемся отыскать её.

При жизни Карл Фридрих Гаусс получил титул короля математиков. Личность этого ученого можно сравнить с личностью другого его гениального современника и соотечественника — Вольфганга Амадея Моцарта. Оба были вундеркиндами, которым покровительствовали и помогали получить образование представители власти. Но в отличие от композитора, Гауссу повезло прожить долгую и спокойную жизнь. Он сделал много открытий в таких научных областях, как геометрия, астрономия, физика и статистика.
Прим. OCR: Знак "корень квадратный" заменен на SQRT(), врезки обозначены жирным шрифтом.

Если бы числа могли говорить. Гаусс. Теория чисел — читать онлайн бесплатно полную книгу (весь текст) целиком

Ниже представлен текст книги, разбитый по страницам. Система сохранения места последней прочитанной страницы, позволяет с удобством читать онлайн бесплатно книгу «Если бы числа могли говорить. Гаусс. Теория чисел», без необходимости каждый раз заново искать на чём Вы остановились. Поставьте закладку, и сможете в любой момент перейти на страницу, на которой закончили чтение.

Тёмная тема
Сбросить

Интервал:

Закладка:

Сделать

Риман вернулся в Гёттинген в 1849 году, чтобы закончить докторскую диссертацию и отдать работу на оценку своему учителю, Гауссу. Он сделал это в 1854 году, за год до смерти наставника.

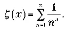
Когда Риман начал заниматься простыми числами, нужно было доказать еще две гипотезы Гаусса. Во-первых, что функция π(Ν) может быть точно выражена Li(N) для любого N, то есть что разница между ними является бесконечно малой, таким образом, ее предел стремится к нулю. И во-вторых, что Li(N) > π(Ν) для любого значения Ν. Чтобы взяться за проблему, Риман ввел знаменитую дзета-функцию, которая определяется следующим образом:

где z комплексное число отличное от 1 У этой функции есть значения в - фото 46

где z — комплексное число, отличное от 1. У этой функции есть значения, в которых она равна нулю, такие как z = -2, z = -4 и другие, известные под названием тривиальных нулей. Нетривиальные нули — это те, для которых действительная часть строго больше нуля, но строго меньше 1. Вспомним, что комплексное число всегда имеет вид а + bi где а и b — действительные числа. Итак, для нетривиальных нулей справедливо 0 < а < 1.

Риман своим определением всего лишь обобщил функцию, изученную Эйлером, который обозначил ее так же:

Если бы числа могли говорить Гаусс Теория чисел - изображение 47

Разница между дзета-функцией Римана и функцией Эйлера состоит в области определения. Для Эйлера х имеет действительное значение, в то время как у Римана z — комплексное число. Следовательно, функция Эйлера принимает действительные значения, в то время как функция Римана принимает комплексные значения.

Интерес математиков к этой бесконечной сумме, известной как ряд, происходит из мира музыки, и этот ряд появился раньше исследований Эйлера, хотя именно он изучил его наиболее глубоко и нашел связь с простыми числами. Пифагор заметил, что звук, издаваемый сосудом с водой, зависит от количества содержащейся в нем жидкости. Оказалось, что звуки гармоничны, если количество воды является частью от целого, дробью с числителем 1, то есть 1, 1/2, 1/3, 1/4, ... Пифагор назвал этот ряд гармоническим. Сумма гармонического ряда равноценна тому, что в дзета-функции Эйлера х взяли равным 1. Можно доказать, что сумма этого ряда бесконечна. На первый взгляд это очевидный результат, поскольку если мы сложим бесконечное количество положительных чисел, сумма будет расти и в конце концов примет бесконечное значение. Но дело в том, что это не так: для х = 2 ряд расходится. Действительно, Эйлер доказал, что значение

В истории математики не всегда было ясно будет ли сумма бесконечного числа - фото 48

В истории математики не всегда было ясно, будет ли сумма бесконечного числа положительных членов обязательно равна бесконечности, и даже появились философские теории, посвященные этому.

Первый большой результат, связывающий дзета-функцию с простыми числами, был получен Эйлером в 1737 году. Он утверждает, что

где х действительное число а Р множество простых чисел В формуле сумма - фото 49

где х — действительное число, а Р — множество простых чисел. В формуле сумма заменяется произведением дробей, образованных простыми числами. Чтобы дойти до этого результата,

Эйлер разложил каждый член ряда на произведение простых чисел. Например,

1/90 = 1/2 1/З² 1/5

Риман глубоко изучил функцию, введенную Эйлером, а также расширил сферу применения функции от действительных к комплексным числам.

Когда область определения расширяется до комплексных чисел, с функцией становится намного сложнее работать. Для начала, ее невозможно представить графически.

ЭЙЛЕР И ЧЕРЕПАХА

Зенон Элейский (ок. 490 — ок. 430 до н.э.) — древнегреческий философ, который создал ряд парадоксов, или апорий, чтобы поддержать учение своего учителя Парменида, утверждавшего, что ощущения, которые мы получаем о мире, иллюзорны. В частности, с помощью логических рассуждений Зенон пытался доказать, что физического движения не существует. Действующими лицами самого известного его парадокса являются легконогий Ахиллес и черепаха, соревнующиеся друг с другом. Поскольку воин бегал намного быстрее, он дал черепахе большую фору. После старта Ахиллес пробежал расстояние, которое разделяло соперников изначально, но по прибытии туда обнаружил, что черепахи там уже нет, она уже продвинулась вперед на небольшой кусок. Не падая духом, герой продолжил бег, но когда он пришел на то место, где была черепаха, та снова продвинулась. И так происходило до бесконечности. Таким образом, Ахиллес так и не догнал черепаху. Вывод очевиден: поскольку наши ощущения говорят нам, что Ахиллес догонит черепаху, значит, наши ощущения обманывают нас, и Парменид был прав. Однако рассуждение Зенона легко опровергается. Промежутки времени, за которое Ахиллес пробегает расстояние, отделяющее его отточки, в которой только что находилась черепаха, каждый раз все меньше, и их сумма дает конечный результат, так что человек догонит черепаху. Предположим, что Ахиллес дает черепахе изначальное преимущество в D и что воин бежит со скоростью, которая только вдвое больше скорости черепахи. Когда Ахиллес прибежит в то место, где была черепаха, животное преодолеет (1/2)D пути. Повторим рассуждение: когда Ахиллес проходит D + (1/2)D, черепаха продвигается еще на (1/4)D. Если представить это в математическом виде, то расстояние, которое должен пройти Ахиллес, чтобы догнать черепаху, задано суммой

Читать дальше
Тёмная тема
Сбросить

Интервал:

Закладка:

Сделать

Похожие книги на «Если бы числа могли говорить. Гаусс. Теория чисел»

Представляем Вашему вниманию похожие книги на «Если бы числа могли говорить. Гаусс. Теория чисел» списком для выбора. Мы отобрали схожую по названию и смыслу литературу в надежде предоставить читателям больше вариантов отыскать новые, интересные, ещё непрочитанные произведения.


Отзывы о книге «Если бы числа могли говорить. Гаусс. Теория чисел»

Обсуждение, отзывы о книге «Если бы числа могли говорить. Гаусс. Теория чисел» и просто собственные мнения читателей. Оставьте ваши комментарии, напишите, что Вы думаете о произведении, его смысле или главных героях. Укажите что конкретно понравилось, а что нет, и почему Вы так считаете.

x