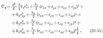
Для полной энергии всех пружинок в плоскости ху нам нужна сумма восьми членов типа (39.43) и (39.44). Обозначая эту энергию через U 0 , получаем

Чтобы найти полную энергию всех пружинок, связанных с атомом 1, мы должны сделать некую добавку к уравнению (39.45). Хотя нам нужны только х- и y-компоненты деформации, вклад в них дает еще некоторая добавочная энергия, связанная с диагональными соседями вне плоскости ху. Эта добавочная энергия равна

Упругие постоянные связаны с плотностью энергии w уравнением (39.13). Энергия, которую мы вычислили, связана с одним атомом, точнее это удвоенная энергия, приходящаяся на один атом, ибо на каждый из двух атомов, соединенных пружинкой, должно приходиться по 1/ 2ее энергии. Поскольку в единице объема находится 1/a 3атомов, то w и U 0 связаны соотношением
w=U 0 /2a 3 .
2а 3
Чтобы найти упругие постоянные C ijkl , нужно только возвести в квадрат суммы в скобках в уравнении (39.45), прибавить (39.46) и сравнить коэффициенты при е ij е kl ссоответствующими коэффициентами в уравнении (39.13). Например, собирая слагаемые с е 2 xx и е 2 yy, мы находим, что множитель при нем равен

поэтому

В остальных слагаемых нам встретится небольшое усложнение. Поскольку мы не можем отличить произведения е хх е yy от е yy е хх , то коэффициент при нем в выражении для энергии равен сумме двух членов в уравнении (39.13). Коэффициент при е хх е yy в уравнении (39.45) равен 2k 2, так что получаем

Однако из-за симметрии выражения для энергии при перестановке двух первых значений с двумя последними можно считать, что С кхуу =С уухх , поэтому

Таким же способом можно получить

Заметьте, наконец, что любой член, содержащий один раз значок х или у, равен нулю, как это было найдено ранее из соображений симметрии. Подытожим наши результаты:

Итак, оказалось, что мы способны связать макроскопические упругие постоянные с атомными свойствами, которые проявляются в постоянных k 1и k 2. В нашем частном случае C ху x у =C ххуу . Эти члены для кубического кристалла, как вы, вероятно, заметили из хода вычислений, оказываются всегда равными, какие бы силы мы ни принимали во внимание, но только при условии, что силы действуют вдоль линии, соединяющей каждую пару атомов, т. е. до тех пор, пока силы между атомами подобны пружинкам и не имеют боковой составляющей (которая несомненно существует при ковалентной связи).
Наши вычисления можно сравнить с экспериментальными измерениями упругих постоянных. В табл. 39.2 приведены наблюдаемые величины трех упругих коэффициентов для некоторых кубических кристаллов. Вы, вероятно, обратили внимание на то, что С xxyy , вообще говоря, не равно С xyxy . Причина заключается в том, что в металлах, подобных натрию и калию, межатомные силы не направлены по линии, соединяющей атомы, как предполагалось в нашей модели. Алмаз тоже не подчиняется этому закону, ибо силы в алмазе — это ковалентные силы, которые обладают особым свойством направленности: «пружинки» предпочитают связывать атомы, расположенные в вершинах тетраэдра. Такие ионные кристаллы, как фтористый литий или хлористый натрий и т. д., обладают почти всеми физическими свойствами, предположенными в нашей модели; согласно данным табл. 39.2, постоянные С xxyy и С xyxy у них почти равны.
Читать дальше