Игорь Мерзляков - Путешествие в квантовую механику

Здесь есть возможность читать онлайн «Игорь Мерзляков - Путешествие в квантовую механику» — ознакомительный отрывок электронной книги совершенно бесплатно, а после прочтения отрывка купить полную версию. В некоторых случаях можно слушать аудио, скачать через торрент в формате fb2 и присутствует краткое содержание. ISBN: , Жанр: Физика, Математика, на русском языке. Описание произведения, (предисловие) а так же отзывы посетителей доступны на портале библиотеки ЛибКат.

Путешествие в квантовую механику: краткое содержание, описание и аннотация

Предлагаем к чтению аннотацию, описание, краткое содержание или предисловие (зависит от того, что написал сам автор книги «Путешествие в квантовую механику»). Если вы не нашли необходимую информацию о книге — напишите в комментариях, мы постараемся отыскать её.

Мир квантовой механики не может ни притягивать своей загадочностью. Предлагаем Вам окунуться в этот удивительный предмет науки. В путешествии, опираясь на общее аналитическое решение уравнения Шрёдингера, нам предстоит изучить ряд явлений и процессов, происходящих в природе на уровне мельчайших взаимодействий. Обобщив положения о волновой функции, мы заглянем за ширму эксперимента с двумя щелями, проанализируем мир атомов и молекул, а также рассмотрим другие вопросы. Пора отправляться в путь…

Путешествие в квантовую механику — читать онлайн ознакомительный отрывок

Ниже представлен текст книги, разбитый по страницам. Система сохранения места последней прочитанной страницы, позволяет с удобством читать онлайн бесплатно книгу «Путешествие в квантовую механику», без необходимости каждый раз заново искать на чём Вы остановились. Поставьте закладку, и сможете в любой момент перейти на страницу, на которой закончили чтение.

Тёмная тема
Сбросить

Интервал:

Закладка:

Сделать
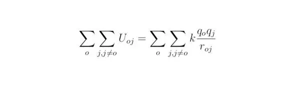
где r oj расстояние между частицами под номерами o и j q j q o заряды - фото 34

где r oj – расстояние между частицами под номерами o и j, q j, q o – заряды частиц, k – коэффициент пропорциональности.

Волновая функция ψ – комплекснозначная величина, используемая в квантовой механике для описания чистого состояния системы, когда квантово-механические процессы протекают без декогеренции. Волновая функция физического смысла не имеет, но физический смысл приписывается плотности вероятности.

В следующем параграфе мы получим общее аналитическое решение уравнения Шрёдингера. Применяя последнее на практике, можно обобщить большинство явлений нерелятивистской квантовой механики, в том числе дать математическое обоснование редукции Фон Неймана (коллапсу волновой функции).

4. К аналитическому решению уравнения Шрёдингера в С n

В данной главе будет проанализирован новый подход к решению дифференциальных уравнений. В качестве примера мы рассмотрим решение уравнения Шрёдингера, полученное в декартовой системе координат для одной частицы. Согласно положениям раздела 2, исследуемое уравнение можно записать в следующей форме:

здесь aħ 2 2M Волновая функция ψ выражена семейством функций Символом Δ - фото 35

здесь a=ħ 2/ (2M). Волновая функция ψ выражена семейством функций. Символом Δ обозначают сумму операторов ∂ 2/∂x 2+∂ 2/∂y 2+∂ 2/∂z 2…, знак ∂ tэквивалентен частной производной ∂/∂t. Уравнение Шрёдингера, полученное для одномерного случая, возможно преобразовать к виду:

41 Пример решения уравнения Шрёдингера Осуществляя поиск аналитического - фото 36

4.1 Пример решения уравнения Шрёдингера

Осуществляя поиск аналитического решения уравнения Шрёдингера, необходимо разложить в ряд Фурье величину ψ, а также выражения F (x) и U (x) F (x), следовательно:

здесь F x произвольно заданная дифференцируемая функция F x C R R - фото 37

здесь F (x) – произвольно заданная дифференцируемая функция, F (x) ∈ C; -R, R – координаты граничных условий.

Выполним следующие преобразования:

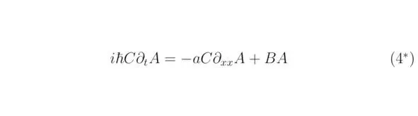
Заменим неизвестные переменные в тождестве 4 на соотношения A B C тогда - фото 38

Заменим неизвестные переменные в тождестве (4`) на соотношения A, B, C, тогда:

Выражение 4 содержит в себе общий член exp iπm xxR exp iπn xxR - фото 39

Выражение (4 *) содержит в себе общий член exp (iπm xx/R) exp (iπn xx/R). Необходимо сократить последний, оставив в результате только коэффициенты тригонометрического ряда:

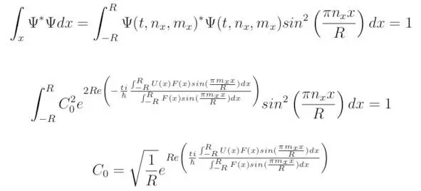
Разделим переменные относительно ψ t n x m x тогда - фото 40 Разделим переменные относительно ψ t n x m x тогда Коэффициент C - фото 41

Разделим переменные относительно ψ (t, n x, m x), тогда:

Коэффициент C 0возможно определить исходя из соотношения полученного для - фото 42

Коэффициент C 0возможно определить исходя из соотношения, полученного для нормированной вероятности (см. раздел 3.3). В рассматриваемом примере существует зависимость величины C 0от времени t. Таким образом, следует потребовать постоянство коэффициента C 0в случае решения стационарного уравнения Шрёдингера.

Область определения волновой функции будет лежать в пределах отрезка (-R,R). В некоторых теоретических случаях допустимо принимать R=∞, тогда:

Энергию электрона E можно определить из стационарного одномерного уравнения - фото 43

Энергию электрона E можно определить из стационарного одномерного уравнения Шрёдингера, следовательно:

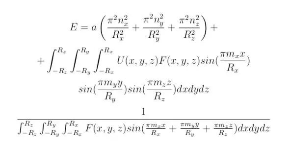
Для трёхмерного базиса величина полной энергии составит В заключение следует - фото 44

Для трёхмерного базиса величина полной энергии составит:

В заключение следует отметить что величина E часто не обладает конкретно - фото 45

В заключение следует отметить, что величина E часто не обладает конкретно заданным значением, поскольку в выражении, полученном для полной энергии E, присутствуют произвольные функции: F (x) для одномерной или F (x,y,z) для трёхмерной системы координат. Исходя из неопределённости величины E, находящейся в зависимости от значений непостоянной потенциальной энергии U (x,y,z) ≠const, вид функций F (x) и F (x,y,z) установить невозможно.

Читать дальше
Тёмная тема
Сбросить

Интервал:

Закладка:

Сделать

Похожие книги на «Путешествие в квантовую механику»

Представляем Вашему вниманию похожие книги на «Путешествие в квантовую механику» списком для выбора. Мы отобрали схожую по названию и смыслу литературу в надежде предоставить читателям больше вариантов отыскать новые, интересные, ещё непрочитанные произведения.


Отзывы о книге «Путешествие в квантовую механику»

Обсуждение, отзывы о книге «Путешествие в квантовую механику» и просто собственные мнения читателей. Оставьте ваши комментарии, напишите, что Вы думаете о произведении, его смысле или главных героях. Укажите что конкретно понравилось, а что нет, и почему Вы так считаете.

x