Игорь Мерзляков - Путешествие в квантовую механику

Здесь есть возможность читать онлайн «Игорь Мерзляков - Путешествие в квантовую механику» — ознакомительный отрывок электронной книги совершенно бесплатно, а после прочтения отрывка купить полную версию. В некоторых случаях можно слушать аудио, скачать через торрент в формате fb2 и присутствует краткое содержание. ISBN: , Жанр: Физика, Математика, на русском языке. Описание произведения, (предисловие) а так же отзывы посетителей доступны на портале библиотеки ЛибКат.

Путешествие в квантовую механику: краткое содержание, описание и аннотация

Предлагаем к чтению аннотацию, описание, краткое содержание или предисловие (зависит от того, что написал сам автор книги «Путешествие в квантовую механику»). Если вы не нашли необходимую информацию о книге — напишите в комментариях, мы постараемся отыскать её.

Мир квантовой механики не может ни притягивать своей загадочностью. Предлагаем Вам окунуться в этот удивительный предмет науки. В путешествии, опираясь на общее аналитическое решение уравнения Шрёдингера, нам предстоит изучить ряд явлений и процессов, происходящих в природе на уровне мельчайших взаимодействий. Обобщив положения о волновой функции, мы заглянем за ширму эксперимента с двумя щелями, проанализируем мир атомов и молекул, а также рассмотрим другие вопросы. Пора отправляться в путь…

Путешествие в квантовую механику — читать онлайн ознакомительный отрывок

Ниже представлен текст книги, разбитый по страницам. Система сохранения места последней прочитанной страницы, позволяет с удобством читать онлайн бесплатно книгу «Путешествие в квантовую механику», без необходимости каждый раз заново искать на чём Вы остановились. Поставьте закладку, и сможете в любой момент перейти на страницу, на которой закончили чтение.

Тёмная тема
Сбросить

Интервал:

Закладка:

Сделать
Вместе с тем справедливым будет тождество полученное для мнимой части - фото 22

Вместе с тем справедливым будет тождество, полученное для мнимой части уравнения (3`):

где Re Q и Im Q вещественная и мнимая части функции Q С каждой новой - фото 23

где Re (Q) и Im (Q) – вещественная и мнимая части функции Q.

С каждой новой итерацией по времени вместо выражения Q следует подставлять известное решение Q 1, тогда:

В процессе расчёта переход к уравнению 31 необходимо выполнять до тех пор - фото 24

В процессе расчёта переход к уравнению (3.1) необходимо выполнять до тех пор, пока не будет достигнуто условие VΔt=T, здесь T – промежуток времени, определяющий эволюцию искомой функции Q, Δt – величина шага по времени, V – общее количество итераций.

3.3 Частный случай решения дифференциальных уравнений

В предыдущем подразделе мы рассмотрели методику, с помощью которой можно отыскать решение того или иного дифференциального уравнения. Разбирая частный случай данной задачи, необходимо потребовать, чтобы исследуемое дифференциальное уравнение было линейным. Если величины n x, n y, n z окажутся положительными, то справедливым будет следующее условие Q∈ R. Таким образом, тождество (3 *) возможно свести к виду:

Преобразуем выражение 31 тогда Соотношение 33 полученное для операции - фото 25

Преобразуем выражение (3.1), тогда:

Соотношение 33 полученное для операции дифференцирования можно свести к - фото 26

Соотношение (3.3), полученное для операции дифференцирования, можно свести к виду:

для всех чётных s где p индекс координаты Преобразовав выражение D - фото 27

для всех чётных s. где p – индекс координаты.

Преобразовав выражение D, справедливым будет записать следующее тождество:

Уравнение 3 можно представить в виде соотношения Коэффициенты Фурье - фото 28

Уравнение (3`) можно представить в виде соотношения:

Коэффициенты Фурье которые соответствуют следующей по времени итерации легко - фото 29

Коэффициенты Фурье, которые соответствуют следующей по времени итерации, легко можно выразить через коэффициенты Фурье, полученные для предыдущей итерации.

Уравнение Шрёдингера, составленное для постоянной потенциальной энергии, является линейным. Вместе с тем коэффициенты s, входящие в состав рассматриваемого дифференциального уравнения, будут чётными. Таким образом, существует возможность разрешить уравнение Шрёдингера, применяя методику, изложенную выше. Более того, если подставить в качестве решения функцию Q=ψ (t) ψ (x) ψ (y) ψ (z), тогда справедливым будет следующее выражение:

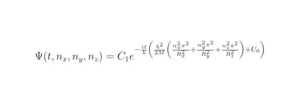
Частное решение уравнения Шрёдингера возможно представить в виде соотношения - фото 30

Частное решение уравнения Шрёдингера возможно представить в виде соотношения:

Общее решение является суммой частных по п x n y n z Под обозначением ψ - фото 31

Общее решение является суммой частных по п x, n y, n z.

Под обозначением ψ * понимается комплексно сопряжённая волновая функция. Плотностью вероятности появления частицы в точке с координатами (x,y,z) называют соотношение ψψ *. Коэффициент C 1 можно определить исходя из тождества ограниченности вероятности:

Следовательно где n x n y n z коэффициенты определяющие дискретные - фото 32

Следовательно:

где n x n y n z коэффициенты определяющие дискретные значения полной - фото 33

где n x, n y, n z – коэффициенты, определяющие дискретные значения полной энергии квантовой системы.

На практике нередко можно встретить ситуацию, когда вместо потенциальной энергии в уравнение Шрёдингера подставляется постоянный коэффициент (потенциал). Исходя из закона Кулона, составленного для энергий, возможно, например, определить условия существования неподвижных в пространстве молекулярных и кристаллических структур. Атомы химического соединения будут сохранять свою стабильность до тех пор, пока сумма энергий Σ oΣ j, j≠oU oj, полученная для всех кулоновских взаимодействий, не изменит своего значения. Тогда:

Читать дальше
Тёмная тема
Сбросить

Интервал:

Закладка:

Сделать

Похожие книги на «Путешествие в квантовую механику»

Представляем Вашему вниманию похожие книги на «Путешествие в квантовую механику» списком для выбора. Мы отобрали схожую по названию и смыслу литературу в надежде предоставить читателям больше вариантов отыскать новые, интересные, ещё непрочитанные произведения.


Отзывы о книге «Путешествие в квантовую механику»

Обсуждение, отзывы о книге «Путешествие в квантовую механику» и просто собственные мнения читателей. Оставьте ваши комментарии, напишите, что Вы думаете о произведении, его смысле или главных героях. Укажите что конкретно понравилось, а что нет, и почему Вы так считаете.

x