Стивен Вайнберг - Первые три минуты [litres]

Здесь есть возможность читать онлайн «Стивен Вайнберг - Первые три минуты [litres]» весь текст электронной книги совершенно бесплатно (целиком полную версию без сокращений). В некоторых случаях можно слушать аудио, скачать через торрент в формате fb2 и присутствует краткое содержание. Город: Москва, Год выпуска: 2019, ISBN: 2019, Издательство: Литагент АСТ, Жанр: Физика, Прочая научная литература, на русском языке. Описание произведения, (предисловие) а так же отзывы посетителей доступны на портале библиотеки ЛибКат.

Первые три минуты [litres]: краткое содержание, описание и аннотация

Предлагаем к чтению аннотацию, описание, краткое содержание или предисловие (зависит от того, что написал сам автор книги «Первые три минуты [litres]»). Если вы не нашли необходимую информацию о книге — напишите в комментариях, мы постараемся отыскать её.

В одной из главных и самых известных своих работ «Первые три минуты» Стивен Вайнберг раскрывает современный взгляд на происхождение Вселенной. Простым, доступным языком автор излагает историю фундаментальных астрофизических открытий, разворачивает картину эволюции Вселенной на ранних стадиях ее развития после Большого взрыва и приводит факты, подтверждающие модель так называемой «горячей» Вселенной.

Первые три минуты [litres] — читать онлайн бесплатно полную книгу (весь текст) целиком

Ниже представлен текст книги, разбитый по страницам. Система сохранения места последней прочитанной страницы, позволяет с удобством читать онлайн бесплатно книгу «Первые три минуты [litres]», без необходимости каждый раз заново искать на чём Вы остановились. Поставьте закладку, и сможете в любой момент перейти на страницу, на которой закончили чтение.

Тёмная тема
Сбросить

Интервал:

Закладка:

Сделать
Но скорость типичной галактики тогда равна Из дифференциального исчисления - фото 45

Но скорость типичной галактики тогда равна:

Из дифференциального исчисления хорошо известно что если скорость - фото 46

Из дифференциального исчисления хорошо известно, что если скорость пропорциональна какой-либо степени расстояния, то время, необходимое для перемещения из одной точки в другую, пропорционально изменению отношения расстояния к скорости. Говоря более точно, если V пропорциональна R(t) 1–n/2 , то промежуток времени

Таким образом каково бы ни было значение n истекшее время пропорционально - фото 47

Таким образом, каково бы ни было значение n , истекшее время пропорционально разности обратных корней из плотности.

Например, после аннигиляции электронов и позитронов в течение всей радиационно-доминированной эпохи плотность энергии имеет следующий вид (см. математическую заметку 6 на с. 249):

Кроме того в последнем выражении п 4 Таким образом Вселенная охлаждается - фото 48

Кроме того, в последнем выражении п = 4. Таким образом, Вселенная охлаждается от 100 до 10 миллионов градусов за:

Полученный общий результат более прозрачно можно сформулировать так промежуток - фото 49

Полученный общий результат более прозрачно можно сформулировать так: промежуток времени, за который плотность падает до ρ (с величины, много большей, чем ρ), равен:

Если ρ t 2 ρ t 1 то вторым членом в формуле для t 1 t 2 можно - фото 50

(Если ρ ( t 2 ) > ρ ( t 1 ), то вторым членом в формуле для t 1 – t 2 можно пренебречь.) Например, при температуре 3000 K массовая плотность фотонов и нейтрино равнялась:

ρ = 1,22 × 10 –35× [3000] 4г/см 3= 9,9 × 10¯ 22г/см 3.

Это настолько мало по сравнению с плотностью при 10 8K (или 10 7K, или 10 6K), что время, за которое Вселенная охладится от очень высоких температур, царивших в первые мгновения ее жизни, до 3000 K, можно рассчитать (положив n = 4) следующим образом:

Мы показали что промежуток времени за которой плотность падает от - фото 51

Мы показали, что промежуток времени, за которой плотность падает от экстремальных значений, имевших место в ранней Вселенной, до ρ пропорционален, а сама плотность ρ пропорциональна 1/ R n. Время, следовательно, пропорционально R n/2, или, что то же самое:

Эта формула остается в силе до тех пор пока кинетическая и потенциальная - фото 52

Эта формула остается в силе до тех пор, пока кинетическая и потенциальная энергии не упадут настолько, что достигнут одного порядка с их суммой – полной энергией.

Как было отмечено в главе 2, в любой момент времени t на расстоянии ct существует горизонт, отсекающий сигналы, которые еще не успели до нас дойти. Теперь мы увидели, что R(t) при t → 0 уменьшается медленнее, чем расстояние до горизонта. То есть в прошлом был момент, когда все «типичные» частицы находились за горизонтом.

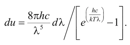
Заметка 4. Излучение абсолютно черного тела

Согласно планковскому распределению энергия du чернотельного излучения в единице объема и в узком интервале длин волн от λ до λ + dλ равна:

Здесь T температура k постоянная Больцмана 138 10 16эргK c - фото 53

Здесь T – температура, k – постоянная Больцмана (1,38 × 10¯ 16эрг/K), c – скорость света (299 729 км/с), e – число, равное 2,718…, и h – постоянная Планка (6,625 × 10¯ 27эрг с), которую в эту формулу ввел Макс Планк.

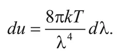
В случае длинных волн для знаменателя в формуле Планка верно приближенное равенство:

Таким образом в данном диапазоне длин волн планковское распределение сводится - фото 54

Таким образом, в данном диапазоне длин волн планковское распределение сводится к виду:

Эта формула выражает закон Рэлея Джинса Если бы он соблюдался для сколь - фото 55

Эта формула выражает закон Рэлея – Джинса. Если бы он соблюдался для сколь угодно коротких волн, производная du/dλ стремилась бы к бесконечности при λ→0 и полная плотность энергии чернотельного излучения была бы бесконечной.

К счастью, планковское распределение достигает максимума при длине волны:

Читать дальше
Тёмная тема
Сбросить

Интервал:

Закладка:

Сделать

Похожие книги на «Первые три минуты [litres]»

Представляем Вашему вниманию похожие книги на «Первые три минуты [litres]» списком для выбора. Мы отобрали схожую по названию и смыслу литературу в надежде предоставить читателям больше вариантов отыскать новые, интересные, ещё непрочитанные произведения.


Отзывы о книге «Первые три минуты [litres]»

Обсуждение, отзывы о книге «Первые три минуты [litres]» и просто собственные мнения читателей. Оставьте ваши комментарии, напишите, что Вы думаете о произведении, его смысле или главных героях. Укажите что конкретно понравилось, а что нет, и почему Вы так считаете.

x