Liuping Wang - PID Control System Design and Automatic Tuning using MATLAB/Simulink
Здесь есть возможность читать онлайн «Liuping Wang - PID Control System Design and Automatic Tuning using MATLAB/Simulink» — ознакомительный отрывок электронной книги совершенно бесплатно, а после прочтения отрывка купить полную версию. В некоторых случаях можно слушать аудио, скачать через торрент в формате fb2 и присутствует краткое содержание. Жанр: unrecognised, на английском языке. Описание произведения, (предисловие) а так же отзывы посетителей доступны на портале библиотеки ЛибКат.
- Название:PID Control System Design and Automatic Tuning using MATLAB/Simulink
- Автор:
- Жанр:
- Год:неизвестен
- ISBN:нет данных
- Рейтинг книги:3 / 5. Голосов: 1
-
Избранное:Добавить в избранное
- Отзывы:
-
Ваша оценка:
PID Control System Design and Automatic Tuning using MATLAB/Simulink: краткое содержание, описание и аннотация
Предлагаем к чтению аннотацию, описание, краткое содержание или предисловие (зависит от того, что написал сам автор книги «PID Control System Design and Automatic Tuning using MATLAB/Simulink»). Если вы не нашли необходимую информацию о книге — напишите в комментариях, мы постараемся отыскать её.
PID Control System Design and Automatic Tuning using MATLAB Provides unique coverage of PID Control of unmanned aerial vehicles (UAVs), including mathematical models of multi-rotor UAVs, control strategies of UAVs, and automatic tuning of PID controllers for UAVs
Provides detailed descriptions of automatic tuning of PID control systems, including relay feedback control systems, frequency response estimation, Monte-Carlo simulation studies, PID controller design using frequency domain information, and MATLAB/Simulink simulation and implementation programs for automatic tuning Includes 15 MATLAB/Simulink tutorials, in a step-by-step manner, to illustrate the design, simulation, implementation and automatic tuning of PID control systems Assists lecturers, teaching assistants, students, and other readers to learn PID control with constraints and apply the control theory to various areas. Accompanying website includes lecture slides and MATLAB/ Simulink programs
is intended for undergraduate electrical, chemical, mechanical, and aerospace engineering students, and will greatly benefit postgraduate students, researchers, and industrial personnel who work with control systems and their applications.
,
, and
when using MATLAB, it is a fairly straight forward procedure to draw the lines and pinpoint the data points. The MATLAB command for finding the point on a graph is called ginput. For example, by typing
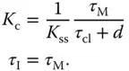
is the desired time constant chosen by the user. The PI controller parameters are related to the first order plus delay model and the desired closed-loop time constant
, which are given as:
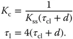
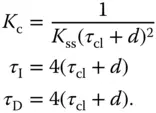
, then the PID controller parameters are calculated as
basically led to a pole-zero cancellation in the control system. Such a pole-zero cancellation will limit, as discussed in the next chapter, the control system performance in the disturbance rejection, particularly when
is large 4. In Skogestad (2003), the IMC-PID tuning rules are modified to reduce the integral time constant as
and
are unchanged from (1.47).




