Bio-Based Epoxy Polymers, Blends, and Composites

Здесь есть возможность читать онлайн «Bio-Based Epoxy Polymers, Blends, and Composites» — ознакомительный отрывок электронной книги совершенно бесплатно, а после прочтения отрывка купить полную версию. В некоторых случаях можно слушать аудио, скачать через торрент в формате fb2 и присутствует краткое содержание. Жанр: unrecognised, на английском языке. Описание произведения, (предисловие) а так же отзывы посетителей доступны на портале библиотеки ЛибКат.

Bio-Based Epoxy Polymers, Blends, and Composites: краткое содержание, описание и аннотация

Предлагаем к чтению аннотацию, описание, краткое содержание или предисловие (зависит от того, что написал сам автор книги «Bio-Based Epoxy Polymers, Blends, and Composites»). Если вы не нашли необходимую информацию о книге — напишите в комментариях, мы постараемся отыскать её.

State-of-the-art overview on bioepoxy polymers as well as their blends and composites – covering all aspects from fundamentals to applications! Bioepoxy polymers is an emerging area and have attracted more and more attention due to their biodegradability and good thermo-mechanical performance. In recent years, research progress has been made in synthesis, processing, characterization, and applications of bioepoxy blends and composites. Bioepoxy polymers are very promising candidates to replace the traditional thermosetting nonbiodegradable polymers.
Bio-Based Epoxy Polymers, Blends and Composites Attracts attention: Bioepoxy polymers are environmentally friendly and considered as a promising candidate to replace the traditional thermosetting nonbiodegradable polymers Highly application-oriented: Bioepoxy polymers can be used in a broad range of applications such as polymer foams, construction, aerospace, automobiles, self-healing systems One-stop reference: Covers all aspects of bioepoxy polymer, their blends and composites, such as synthesis, properties, processing, characterization and applications Broad audience: Attracts attention from both academia and industry

Bio-Based Epoxy Polymers, Blends, and Composites — читать онлайн ознакомительный отрывок

Ниже представлен текст книги, разбитый по страницам. Система сохранения места последней прочитанной страницы, позволяет с удобством читать онлайн бесплатно книгу «Bio-Based Epoxy Polymers, Blends, and Composites», без необходимости каждый раз заново искать на чём Вы остановились. Поставьте закладку, и сможете в любой момент перейти на страницу, на которой закончили чтение.

Тёмная тема
Сбросить

Интервал:

Закладка:

Сделать

It is worth noting that a substantial amount of lignin decomposing aromatics is characterized by the structure of phenol substituted by inert methoxy and alkyl groups (structures such as guaiacol or creosol), making polycondensation or radical polymerization especially difficult. Thus, there are numerous studies on (i) introducing the reactive groups, which are promoting further polymerization reactions [74], (ii) utilization of the reactive ortho ‐ and para ‐sites of phenol for hydroxymethylation or obtaining novolac or resol‐type resin using formaldehyde chemistry [75] otherwise, (iii) connecting lignin‐derived compounds to make oligomers with additional functional groups [76]. Bimetallic Zn/Pd/C catalytic method for converting lignin via the selective hydrodeoxygenation ( T = 150 °C and 20 bar H 2, using methanol as a solvent) directly into two methoxyphenol products has been reported [77]. The compound characterized by the increased content of hydroxyl groups might be obtained using the above method, via the reaction of o ‐demethylation of 2‐methoxy‐4‐propylphenol and aqueous HBr. In the next step, propylcatechol is glycidylated to epoxy monomer ( Figure 1.16).

Other techniques described in the literature involve the ozone oxidation of Kraft lignin toward splitting its aromatic rings and generation of the muconic acid derivatives. The ozonized lignin ( Figure 1.17a) might then be dissolved in an alkali water solution and cross‐linked with the water‐soluble epoxy resin (glycerol polyglycidylether).

Another interesting synthesis described in the literature begins from the dissolution of alcoholysis lignin or lignin sulfuric acid in ethylene glycol and/or glycerin ( Figure 1.17b) [78]. Next, the hydroxyl group in the lignin molecule is reacted with succinic acid to convert the lignin into multiple carboxylic acid derivatives. In the last step, the resulting products react with epoxy compound (ethylene glycol diglycidyl ether [EGDGE]) in the presence of dimethylbenzyl amine as a catalyst to provide the cross‐linked epoxidized lignin resin. In the obtained curried epoxy material, lignin acts as a hard segment (increasing value of T gwith increasing lignin derivatives). Additionally, a slight decrease of T dwith increasing content of biocomponent in epoxy resin suggests that the thermal stability of obtained epoxy system is not affected by the presence of lignin derivatives.

Based on numerous studies, one can conclude that lignin is a very promising natural resource for replacement of bisphenol A in the synthesis of epoxy resins, as it has aromatic structure with hydroxyl, carboxylic acid, and phenolic functional groups, which can react with epichlorohydrin to form bio‐based epoxy resins. One of the biggest problems for commercial application of lignin's derivatives, because of its complex and multifunctional nature, is isolation and the synthesis of monomers.

1.3.2 Vanilin

Vanillin (4‐hydroxy‐3‐methoxybenzaldehyde) is an organic compound consisting of a benzene ring substituted with three functional groups: aldehyde –CHO, hydroxyl –OH, and methoxy –O–CH 3( Figure 1.18a).

It is a naturally occurring compound (in the form of its β‐D‐glucoside, Figure 1.18b) that can be directly obtained in the extraction process from the bean or seed pods of Vanilla planifolia , the tropical orchid presently cultivated in a number of tropical countries. Although this method has been known for centuries and it is still used, actually less than 1% of vanilla produced in the world is obtained in such a way [79]. Almost all vanillin is now synthesized much more cheaply through chemical processes. Synthetic vanillin is commercially available and is commonly used in both food and nonfood applications, in fragrances, as a flavoring in pharmaceutical preparations, as an intermediate in the chemical and pharmaceutical industries for the production of herbicides, antifoaming agents or drugs, and in household products, such as air fresheners and floor polishes. Synthetic or semisynthetic vanillin can be derived from two compounds: guaiacol and eugenol, both available from petrochemical sources or of natural origin.

Figure 116 Route of the synthesis epoxy monomers from selectively - фото 21

Figure 1.16 Route of the synthesis epoxy monomers from selectively hydrodeoxygenated lignin.

Figure 117 Lignin modification and crosslinking a ozone oxidation of Kraft - фото 22

Figure 1.17 Lignin modification and cross‐linking: (a) ozone oxidation of Kraft lignin and (b) synthesis of multiple carboxylic acid derivatives.

Figure 118 Chemical structures of a vanillin and its naturally occurring - фото 23

Figure 1.18 Chemical structures of ( a) vanillin and its naturally occurring precursors: ( b) vanillin glucoside, ( c) guaiacol, ( d) eugenol, and ( e) coniferyl alcohol.

Figure 119 Synthesis of vanillin from guaiacol The first one guaiacol - фото 24

Figure 1.19 Synthesis of vanillin from guaiacol.

The first one, guaiacol (2‐methoxyphenol) ( Figure 1.18c), is a naturally occurring organic compound present in an aromatic oil from flowering plants Guaiacum . Guaiacol can also be gained from creosotes formed by distillation of various tars and pyrolysis of plant‐derived material, such as wood. Semisynthetic vanillin can be obtained from guaiacol through the Reimer–Tiemann reaction of phenols formylation ( Figure 1.19) [80].

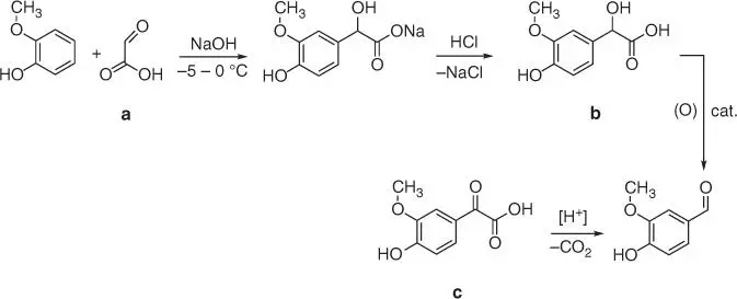
The reaction is carried out using chloroform deprotonated by a strong base (hydroxide typically) to form the chloroform carbanion and finally the dichlorocarbene, which is the principal reactive specie in nucleophilic substitution also occurred in deprotonated phenol. Another method of vanillin synthesis from guaiacol is its reaction with glyoxylic acid ( Figure 1.20a), leading to the formation of 2‐hydroxy‐2‐(4‐hydroxy‐3‐methoxyphenyl)‐acetic acid ( Figure 1.20b) [81]. The obtained vanillylmandelic acid is converted via 2‐(4‐hydroxy‐3‐methoxyphenyl)‐2‐oxoacetic acid ( Figure 1.20c) to vanillin by the oxidative decarboxylation [82].

Eugenol (2‐methoxy‐4‐(prop‐2‐en‐1‐yl)phenol) ( Figure 1.18d) present in an essential oil extracted from the clove plant Syzygium aromaticum is the next important natural raw material for the vanillin synthesis ( Figure 1.21).

The synthesis consists of two steps: the basic isomerization of the double bond in eugenol leading to the formation of isoeugenol and oxidation of the rearranged double bond to vanillin [83, 84]. The process can be carried out with or without isolation of the intermediate product which is isoeugenol [85].

Figure 120 Synthesis of vanillin from guaiacol using glyoxylic acid Figure - фото 25

Figure 1.20 Synthesis of vanillin from guaiacol using glyoxylic acid.

Figure 121 Synthesis of vanillin from eugenol Lignin from softwood is still - фото 26

Figure 1.21 Synthesis of vanillin from eugenol.

Читать дальше
Тёмная тема
Сбросить

Интервал:

Закладка:

Сделать

Похожие книги на «Bio-Based Epoxy Polymers, Blends, and Composites»

Представляем Вашему вниманию похожие книги на «Bio-Based Epoxy Polymers, Blends, and Composites» списком для выбора. Мы отобрали схожую по названию и смыслу литературу в надежде предоставить читателям больше вариантов отыскать новые, интересные, ещё непрочитанные произведения.


Отзывы о книге «Bio-Based Epoxy Polymers, Blends, and Composites»

Обсуждение, отзывы о книге «Bio-Based Epoxy Polymers, Blends, and Composites» и просто собственные мнения читателей. Оставьте ваши комментарии, напишите, что Вы думаете о произведении, его смысле или главных героях. Укажите что конкретно понравилось, а что нет, и почему Вы так считаете.

x