Sergio Hurtado Melo - Operaciones básicas del proceso, mezclas y disoluciones. QUIE0108

Здесь есть возможность читать онлайн «Sergio Hurtado Melo - Operaciones básicas del proceso, mezclas y disoluciones. QUIE0108» — ознакомительный отрывок электронной книги совершенно бесплатно, а после прочтения отрывка купить полную версию. В некоторых случаях можно слушать аудио, скачать через торрент в формате fb2 и присутствует краткое содержание. Жанр: unrecognised, на испанском языке. Описание произведения, (предисловие) а так же отзывы посетителей доступны на портале библиотеки ЛибКат.

Operaciones básicas del proceso, mezclas y disoluciones. QUIE0108: краткое содержание, описание и аннотация

Предлагаем к чтению аннотацию, описание, краткое содержание или предисловие (зависит от того, что написал сам автор книги «Operaciones básicas del proceso, mezclas y disoluciones. QUIE0108»). Если вы не нашли необходимую информацию о книге — напишите в комментариях, мы постараемся отыскать её.

Libro especializado que se ajusta al desarrollo de la cualificación profesional y adquisición de certificados de profesionalidad. Manual imprescindible para la formación y la capacitación, que se basa en los principios de la cualificación y dinamización del conocimiento, como premisas para la mejora de la empleabilidad y eficacia para el desempeño del trabajo.

Operaciones básicas del proceso, mezclas y disoluciones. QUIE0108 — читать онлайн ознакомительный отрывок

Ниже представлен текст книги, разбитый по страницам. Система сохранения места последней прочитанной страницы, позволяет с удобством читать онлайн бесплатно книгу «Operaciones básicas del proceso, mezclas y disoluciones. QUIE0108», без необходимости каждый раз заново искать на чём Вы остановились. Поставьте закладку, и сможете в любой момент перейти на страницу, на которой закончили чтение.

Тёмная тема
Сбросить

Интервал:

Закладка:

Сделать
картинка 24

Ejemplo

Fórmula del ácido pirosulfúrico o ácido disulfúrico. Se parte de la molécula de ácido sulfúrico (H2SO4), se multiplica dicha molécula por 2 y se le resta una molécula de agua:

2 H 2SO 4– H 2O = H 2S 2O 7

A continuación, se escribe la forma de nombrar estos compuestos en su formas de nomenclatura:

1 Sistemática: leyendo de derecha a izquierda se escribe un prefijo indicando el número de átomos de oxígeno que hay en la molécula + terminación –oxo + raíz de nombre del no metal + terminación –ato + (valencia en números romanos del no metal) + de hidrógeno.

2 Tradicional: ácido + prefijo (hipo-, per-) si corresponde + raíz del nombre del no metal + sufijo –ico u –oso, en función del NO con el que actúa en no metal.

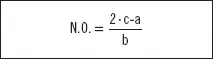
Dado un ácido de la forma H aN bO c(siendo N el no metal), para determinar el N.O. de N, se hace uso de la siguiente relación:

Ejemplo HClO Monoxoclorato I de hidrógeno ácido hipocloroso 87 - фото 25 картинка 26

Ejemplo

HClO (Monoxoclorato (I) de hidrógeno; ácido hipocloroso).

8.7. Hidróxidos

Son compuestos formados por la unión del anión OH –y un catión metálico.

La fórmula química de los hidróxidos es de la forma M (OH)m(m: valencia del metal), donde M en el símbolo químico del metal.

A continuación, se escribe la forma de nombrar estos compuestos en sus formas de nomenclatura:

1 Sistemática: prefijo indicando el número de grupos OH – que hay en la molécula + hidróxido + nombre del metal.

2 Stock: hidróxido de + nombre del metal + (valencia en números romanos del metal, si tiene más de una).

3 Tradicional: hidróxido + raíz del nombre del metal + terminación -ico u –oso.

картинка 27

Ejemplo

Fe(OH) 3(Trihidróxido de hierro; hidróxido de hierro (III); hidróxido férrico).

Ca(OH) (Monohidróxido de calcio; hidróxido de calcio; hidróxido cálcico).

8.8. Sales

Las sales son compuestos iónicos formados por la unión de un catión y un anión, que no sean OH -, O 2-o H -, ya que con estos iones se forman los hidróxidos, óxidos e hidruros, respectivamente.

Iones

Dentro de los iones se distinguen entre los iones con carga positiva denominados cationesy los iones con carga negativa denominados aniones,los cuales se estudian a continuación.

Cationes (iones con carga positiva)

La nomenclatura sería la siguiente:

1 Sistemática: catión + nombre del elemento + (valencia en números romanos, si el elemento tiene más de una).

2 Tradicional: catión + raíz del nombre del elemento + sufijo –ico u –oso, indicando la mayor o menor valencia, respectivamente. Si solo tiene una se usa el sufijo –ico.

картинка 28

Ejemplo

Ca 2+(Catión calcio; catión cálcico).

Fe 2+(Catión hierro (II); catión ferroso).

Los cationes poliatómicos protonados se nombran con la palabra catión(o ión) + raíz del nombre del elemento del que proceden + terminación –onio.Estos cationes proceden de la unión de un protón con un hidruro no metálico.

картинка 29

Ejemplo

NH 4+ (ión amonio, es una excepción ya que debería de ser nitronio); PH 4+ (ión fosfonio); H 3S+ (ión sulfonio); H 3O+ (ión oxonio), etc.

Aniones (iones con carga negativa)

Ahora se mostrará la forma de nombrar a los aniones, donde se hace distinción entre aniones procedentes de elementos no metálicos y aniones procedentes de ácidos oxoácidos.

1 Aniones procedentes de elementos no metálicos: anión + raíz del nombre del elemento + terminación –uro. Ejemplo: Cl – (anión cloruro); Br – (anión bromuro), etc.

2 Aniones procedentes de ácidos oxoácidos (estos aniones proceden del oxoácido correspondiente, el cual ha perdido sus hidrógenos):Sistemática: anión + prefijo indicando el número de átomos de oxígeno que hay en la molécula + terminación –oxo + raíz del nombre del no metal + terminación –ato + (valencia en números romanos del no metal).Tradicional: anión + igual que el ácido pero cambiando las terminaciones –ico por –ato y –oso por –ito.

картинка 30

Ejemplo

NO 3 –(Anión trioxonitrato (V); anión nitrato).

SO 3 2–(Anión trioxosulfato (IV); anión sulfito).

Sales ternarias

Son compuestos iónicos formados por la unión de un catión metálico y el anión procedente de un oxoácido, denominado anión oxoácido.

Para obtener la fórmula química de las sales terniarias se ha de seguir dos pasos:

1 En primer lugar, hay que identificar el ácido del cual proviene, teniendo en cuenta que la terminación –ato viene de –ico y la terminación –ito de –oso.

2 En segundo lugar, obtener el anión correspondiente e intercambiar las valencias con el catión metálico, dando lugar a la sal correspondiente.

картинка 31

Ejemplo

Formular el sulfato férrico:

1 Procede del ácido sulfúrico (–ato à – ico): H2SO4

2 H2SO4 →

2 H ++ SO 4 2–; Fe 3++ SO 4 2–→ Fe 2(SO 4) 3

A continuación, se expone la forma de nombrar estos compuestos en sus formas de nomenclatura:

1 Sistemática: prefijo indicando el número de átomos de oxígeno que hay en la molécula + terminación –oxo + raíz del no metal + terminación –ato (valencia en números romanos del no metal) + de + nombre del metal + (valencia en números romanos del metal, si tiene más de una).

2 Tradicional: prefijo per– o hipo–, si corresponde + raíz del nombre del no metal + terminación –ato o –ito + raíz del nombre del metal + terminación –ico u –oso.

A veces, la fórmula está simplificada, entonces hay que probar con todas las posibles valencias del metal. Solo una de ellas hace que el ácido del que proviene sea correcto.

Читать дальше
Тёмная тема
Сбросить

Интервал:

Закладка:

Сделать

Похожие книги на «Operaciones básicas del proceso, mezclas y disoluciones. QUIE0108»

Представляем Вашему вниманию похожие книги на «Operaciones básicas del proceso, mezclas y disoluciones. QUIE0108» списком для выбора. Мы отобрали схожую по названию и смыслу литературу в надежде предоставить читателям больше вариантов отыскать новые, интересные, ещё непрочитанные произведения.


Отзывы о книге «Operaciones básicas del proceso, mezclas y disoluciones. QUIE0108»

Обсуждение, отзывы о книге «Operaciones básicas del proceso, mezclas y disoluciones. QUIE0108» и просто собственные мнения читателей. Оставьте ваши комментарии, напишите, что Вы думаете о произведении, его смысле или главных героях. Укажите что конкретно понравилось, а что нет, и почему Вы так считаете.

x