Mary Jane Sterling - Algebra I All-in-One For Dummies

Здесь есть возможность читать онлайн «Mary Jane Sterling - Algebra I All-in-One For Dummies» — ознакомительный отрывок электронной книги совершенно бесплатно, а после прочтения отрывка купить полную версию. В некоторых случаях можно слушать аудио, скачать через торрент в формате fb2 и присутствует краткое содержание. Жанр: unrecognised, на английском языке. Описание произведения, (предисловие) а так же отзывы посетителей доступны на портале библиотеки ЛибКат.

Algebra I All-in-One For Dummies: краткое содержание, описание и аннотация

Предлагаем к чтению аннотацию, описание, краткое содержание или предисловие (зависит от того, что написал сам автор книги «Algebra I All-in-One For Dummies»). Если вы не нашли необходимую информацию о книге — напишите в комментариях, мы постараемся отыскать её.

Solve for ‘X’ with this practical and easy guide to everything algebra  A solid understanding of algebra is the key to unlocking other areas of math and science that rely on the concepts and skills that happen in a foundational Algebra class. 
 is the key! With it, you’ll get everything you need to solve the mystery of Algebra I. 
This book proves that algebra is for everyone with straightforward, unit-based instruction, hundreds of examples and practice problems, and two quizzes for every chapter – one in the book and another (totally different!) online. From graph and word problems to the FOIL method and common algebra terminology, 
 walks you step-by-step through ALL the concepts you need to know to slay your Algebra I class. 
In this handy guide, you’ll also: 
Receive instruction and tips on how to handle basic and intermediate algebraic tasks such as factoring and equation simplification Banish math anxiety forever by developing an intuitive understanding of how algebra works Get a handle on graphing problems and functions, as well as inequalities and word problems 
is a must-read for Algebra students looking for an everything-in-one-book supplement to their coursework, as well as anyone hoping to brush up on their math before tackling a related subject, such as physics, chemistry, or a more advanced math topic.

Algebra I All-in-One For Dummies — читать онлайн ознакомительный отрывок

Ниже представлен текст книги, разбитый по страницам. Система сохранения места последней прочитанной страницы, позволяет с удобством читать онлайн бесплатно книгу «Algebra I All-in-One For Dummies», без необходимости каждый раз заново искать на чём Вы остановились. Поставьте закладку, и сможете в любой момент перейти на страницу, на которой закончили чтение.

Тёмная тема
Сбросить

Интервал:

Закладка:

Сделать
13 47Regroup so that the first two numbers are together Their sum is 0 14 - фото 580

13 47.Regroup so that the first two numbers are together. Their sum is 0!

14 5Regroup so that the second two numbers are together 15 70Regroup so - фото 581

14 5.Regroup so that the second two numbers are together.

15 70Regroup so that the first two numbers are together The fraction reduces - фото 582

15 70.Regroup so that the first two numbers are together. The fraction reduces to make the multiplication easier.

16 110Regroup so that the second two numbers are together The multiplication - фото 583

16 110.Regroup so that the second two numbers are together. The multiplication is simple!

17 5Switch the order of the second and third numbers 18 470Switch the order - фото 584

17 5.Switch the order of the second and third numbers.

18 470Switch the order of the second and third numbers 19 78Switch the - фото 585

18 470.Switch the order of the second and third numbers.

19 78Switch the order of the second and third numbers 20 8Switch the order - фото 586

19 78.Switch the order of the second and third numbers.

20 8Switch the order of the second and third numbers 21 560Theres a lot of - фото 587

20 8.Switch the order of the second and third numbers.

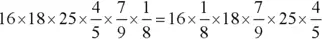
21 560Theres a lot of switching that goes on here to make the problem easier - фото 588

21 560.There’s a lot of switching that goes on here to make the problem easier. Your goal is to be able to multiply fractions times numbers that will eliminate their denominators. In this particular problem, I’m bringing the up next to the 16 and the up next to the 18 Then I group reduce mul - фото 589up next to the 16 and the up next to the 18 Then I group reduce multiply and find the product of the - фото 590up next to the 18.

Then I group reduce multiply and find the product of the three nice - фото 591

Then I group, reduce, multiply, and find the product of the three “nice” numbers!

22 11 and The sum of 11 and 11 is 0 the product of 11 and - фото 592

22 –11 and картинка 593 .The sum of 11 and –11 is 0; the product of 11 and картинка 594is 1.

23 картинка 595 and –3.The sum of картинка 596and картинка 597is 0; the product of картинка 598and –3 is 1.

24 картинка 599 and картинка 600 .The sum of картинка 601and картинка 602is 0; the product of картинка 603and картинка 604is 1.

25 1 and –1.The sum of –1 and 1 is 0; the product of –1 and –1 is 1. The number is its own multiplicative inverse.

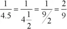
26 картинка 605 and картинка 606 or картинка 607 .The sum of картинка 608and 4.5 is 0. The product of 4.5 and картинка 609is 1. You usually don’t want to write decimals in fractions, so you can change Algebra I AllinOne For Dummies - изображение 610by writing it with a fractional denominator and simplifying:

Algebra I AllinOne For Dummies - изображение 611

You’ll see more on working with fractions in Chapter 4.

27 картинка 612 and картинка 613 .The additive inverse is just the positive version of the same number. To write the multiplicative inverse, you change the mixed number to an improper fraction and just flip it:

Algebra I AllinOne For Dummies - изображение 614

There’s a full coverage of fractions in Chapter 4.

28 Use 8.The additive inverse of –8 is 8. If you add 8 to the expression, you have картинка 615. Use the associative property to group the –8 and 8 together: картинка 616. The sum of a number and its additive inverse is 0, so the expression becomes картинка 617. Because 0 is the additive identity, картинка 618.

Читать дальше
Тёмная тема
Сбросить

Интервал:

Закладка:

Сделать

Похожие книги на «Algebra I All-in-One For Dummies»

Представляем Вашему вниманию похожие книги на «Algebra I All-in-One For Dummies» списком для выбора. Мы отобрали схожую по названию и смыслу литературу в надежде предоставить читателям больше вариантов отыскать новые, интересные, ещё непрочитанные произведения.


Отзывы о книге «Algebra I All-in-One For Dummies»

Обсуждение, отзывы о книге «Algebra I All-in-One For Dummies» и просто собственные мнения читателей. Оставьте ваши комментарии, напишите, что Вы думаете о произведении, его смысле или главных героях. Укажите что конкретно понравилось, а что нет, и почему Вы так считаете.

x