Artificial Intelligence for Renewable Energy Systems
Здесь есть возможность читать онлайн «Artificial Intelligence for Renewable Energy Systems» — ознакомительный отрывок электронной книги совершенно бесплатно, а после прочтения отрывка купить полную версию. В некоторых случаях можно слушать аудио, скачать через торрент в формате fb2 и присутствует краткое содержание. Жанр: unrecognised, на английском языке. Описание произведения, (предисловие) а так же отзывы посетителей доступны на портале библиотеки ЛибКат.
- Название:Artificial Intelligence for Renewable Energy Systems
- Автор:
- Жанр:
- Год:неизвестен
- ISBN:нет данных
- Рейтинг книги:5 / 5. Голосов: 1
-
Избранное:Добавить в избранное
- Отзывы:
-
Ваша оценка:
Artificial Intelligence for Renewable Energy Systems: краткое содержание, описание и аннотация
Предлагаем к чтению аннотацию, описание, краткое содержание или предисловие (зависит от того, что написал сам автор книги «Artificial Intelligence for Renewable Energy Systems»). Если вы не нашли необходимую информацию о книге — напишите в комментариях, мы постараемся отыскать её.
Renewable energy systems, including solar, wind, biodiesel, hybrid energy, and other relevant types, have numerous advantages compared to their conventional counterparts. This book presents the application of machine learning and deep learning techniques for renewable energy system modeling, forecasting, and optimization for efficient system design.
Audience
























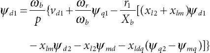
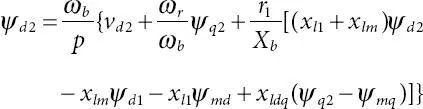
in rotor reference frame by using the transformation matrix [20, 22]
associated with each winding sets abc and xyz , respectively. The voltages applied to the damper windings are not shown, because voltages are zero due to short-circuited windings.

to rotor reference frame (i.e.,
and is given by Equation ( 1.45).