Марио Ливио - φ – Число Бога. Золотое сечение – формула мироздания

Здесь есть возможность читать онлайн «Марио Ливио - φ – Число Бога. Золотое сечение – формула мироздания» — ознакомительный отрывок электронной книги совершенно бесплатно, а после прочтения отрывка купить полную версию. В некоторых случаях можно слушать аудио, скачать через торрент в формате fb2 и присутствует краткое содержание. Город: Москва, Год выпуска: 2015, ISBN: 2015, Издательство: Array Литагент «АСТ», Жанр: foreign_edu, Математика, на русском языке. Описание произведения, (предисловие) а так же отзывы посетителей доступны на портале библиотеки ЛибКат.

φ – Число Бога. Золотое сечение – формула мироздания: краткое содержание, описание и аннотация

Предлагаем к чтению аннотацию, описание, краткое содержание или предисловие (зависит от того, что написал сам автор книги «φ – Число Бога. Золотое сечение – формула мироздания»). Если вы не нашли необходимую информацию о книге — напишите в комментариях, мы постараемся отыскать её.

Как только не называли это загадочное число, которое математики обозначают буквой φ: и золотым сечением, и числом Бога, и божественной пропорцией. Оно играет важнейшую роль и в геометрии живой природы, и в творениях человека, его закладывают в основу произведений живописи, скульптуры и архитектуры, мало того – ему посвящают приключенческие романы! Но заслужена ли подобная слава? Что здесь правда, а что не совсем, какова история Золотого сечения в науке и культуре, и чем вызван такой интерес к простому геометрическому соотношению, решил выяснить известный американский астрофизик и популяризатор науки Марио Ливио. Увлекательное расследование привело к неожиданным результатам…
Увлекательный сюжет и нетривиальная развязка, убедительная логика и независимость суждений, малоизвестные факты из истории науки и неожиданные сопоставления – вот что делает эту научно-популярную книгу настоящим детективом и несомненным бестселлером.

φ – Число Бога. Золотое сечение – формула мироздания — читать онлайн ознакомительный отрывок

Ниже представлен текст книги, разбитый по страницам. Система сохранения места последней прочитанной страницы, позволяет с удобством читать онлайн бесплатно книгу «φ – Число Бога. Золотое сечение – формула мироздания», без необходимости каждый раз заново искать на чём Вы остановились. Поставьте закладку, и сможете в любой момент перейти на страницу, на которой закончили чтение.

Тёмная тема
Сбросить

Интервал:

Закладка:

Сделать

Приложение 7

Отношение между количеством субобъектов n, коэффициентом сокращения длины f и числом измерений D равно

φ Число Бога Золотое сечение формула мироздания - изображение 155

Если положительное число А записывается в виде А = 10 L , то L мы называем логарифмом (по основанию 10) числа А и записываем это так: L = log A. Иначе говоря, равенства А = 10 L и L = log A тождественны. Правила логарифмов таковы:

1. Логарифм произведения есть сумма логарифмов:

log (A × B ) = log A + log B.

2. Логарифм отношения есть разность логарифмов

log ( A / B ) =log A – log B.

3. Логарифм степени числа – это степень, умноженная на логарифм числа:

log A m = m × log A.

Поскольку 10 0 = 1, по определению логарифма log 1 = 0. Поскольку 10 1 = 10, 10 2 = 100 и так далее, получаем, что log 10 = 1, log 100 = 2 и т. д. Следовательно, логарифм любого числа от 1 до 10 – это число от 0 до 1, логарифм любого числа от 10 до 100 – это число от 1 до 2 и т. д.

Если мы возьмем логарифм (по основанию 10) обеих частей вышеприведенного равенства (описывающего отношения между n, f и D), то получим

Если теперь поделить обе части на log f мы получим Скажем в случае снежинки - фото 156

Если теперь поделить обе части на log f , мы получим

Скажем в случае снежинки Коха каждая кривая содержит четыре подкривые в одну - фото 157

Скажем, в случае снежинки Коха каждая кривая содержит четыре «подкривые» в одну треть длины, поэтому n = 4, f = 1/3, и получаем

Приложение 8 Рассмотрим рис 116 а и увидим что условие соприкосновения - фото 158

Приложение 8

Рассмотрим рис. 116, а , и увидим, что условие соприкосновения двух веток состоит в простом требовании, чтобы сумма всех горизонтальных длин постоянно уменьшающихся веток с длинами начиная от f 3была равна горизонтальной составляющей большой ветки длиной f. Все горизонтальные составляющие – это общая длина, умноженная на косинус угла, величиной 30 градусов. Поэтому получаем

f × cos 30° = fcos 30° + fcos 30° + fcos 30° +

Поделим это выражение на cos 30° – и получим

f = f 3 + f 4 + f 5 + f 6 +

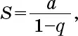
Сумма правой части – это сумма бесконечной геометрической прогрессии, то есть каждый ее член равен предыдущему, умноженному на константу, в которой первый член – это f 3, а отношение двух последовательных членов равно f. В целом сумма S бесконечной геометрической прогрессии с первым членом а и отношением последовательных членов q равна

φ Число Бога Золотое сечение формула мироздания - изображение 159

Например, сумма прогрессии

φ Число Бога Золотое сечение формула мироздания - изображение 160

где a = 1 и q = 1/2, равна

φ Число Бога Золотое сечение формула мироздания - изображение 161

В нашем случае из вышеприведенного уравнения следует

φ Число Бога Золотое сечение формула мироздания - изображение 162

Делим обе части на f и получаем

φ Число Бога Золотое сечение формула мироздания - изображение 163

Умножаем на (1– f) , сокращаем и получаем квадратное уравнение

f 2 + f – 1 = 0,

положительный корень которого равен

φ Число Бога Золотое сечение формула мироздания - изображение 164

То есть 1/φ.

Приложение 9

Согласно закону Бенфорда, вероятность P, что цифра D появится на первом месте, составляет (логарифм по основанию 10)

P = log (1 + 1/D).

Следовательно, для D = 1

P = log (1 + 1) = log 2 = 0,30.

Для D = 2

P = log (1 + 1/2) = log 1,5 = 0,176,

И так далее. Для D = 9,

P = log (1 + 1/9) = log (10/9) = 0,046.

Согласно обобщенной формулировке закона вероятность того, что первые три цифры будут, к примеру, 1, 5 и 8, равна

P = log (1 + 1/158) = 0,0027.

Приложение 10

Доказательство Евклида, что существует бесконечное множество простых чисел, основано на методе reductio ad absurdum . Сначала Евклид предполагает, что верно противоположное: простых чисел существует лишь ограниченное множество. Однако, если это правда, одно из них должно быть самым большим простым числом. Обозначим самое большое простое число как P. Затем Евклид выводит новое простое число по следующему алгоритму: он перемножает все простые числа, начиная с 2 и до (включая) Р , и прибавляет к произведению единицу. Получается новое число

Читать дальше
Тёмная тема
Сбросить

Интервал:

Закладка:

Сделать

Похожие книги на «φ – Число Бога. Золотое сечение – формула мироздания»

Представляем Вашему вниманию похожие книги на «φ – Число Бога. Золотое сечение – формула мироздания» списком для выбора. Мы отобрали схожую по названию и смыслу литературу в надежде предоставить читателям больше вариантов отыскать новые, интересные, ещё непрочитанные произведения.


Отзывы о книге «φ – Число Бога. Золотое сечение – формула мироздания»

Обсуждение, отзывы о книге «φ – Число Бога. Золотое сечение – формула мироздания» и просто собственные мнения читателей. Оставьте ваши комментарии, напишите, что Вы думаете о произведении, его смысле или главных героях. Укажите что конкретно понравилось, а что нет, и почему Вы так считаете.

x