Марио Ливио - φ – Число Бога. Золотое сечение – формула мироздания

Здесь есть возможность читать онлайн «Марио Ливио - φ – Число Бога. Золотое сечение – формула мироздания» — ознакомительный отрывок электронной книги совершенно бесплатно, а после прочтения отрывка купить полную версию. В некоторых случаях можно слушать аудио, скачать через торрент в формате fb2 и присутствует краткое содержание. Город: Москва, Год выпуска: 2015, ISBN: 2015, Издательство: Array Литагент «АСТ», Жанр: foreign_edu, Математика, на русском языке. Описание произведения, (предисловие) а так же отзывы посетителей доступны на портале библиотеки ЛибКат.

φ – Число Бога. Золотое сечение – формула мироздания: краткое содержание, описание и аннотация

Предлагаем к чтению аннотацию, описание, краткое содержание или предисловие (зависит от того, что написал сам автор книги «φ – Число Бога. Золотое сечение – формула мироздания»). Если вы не нашли необходимую информацию о книге — напишите в комментариях, мы постараемся отыскать её.

Как только не называли это загадочное число, которое математики обозначают буквой φ: и золотым сечением, и числом Бога, и божественной пропорцией. Оно играет важнейшую роль и в геометрии живой природы, и в творениях человека, его закладывают в основу произведений живописи, скульптуры и архитектуры, мало того – ему посвящают приключенческие романы! Но заслужена ли подобная слава? Что здесь правда, а что не совсем, какова история Золотого сечения в науке и культуре, и чем вызван такой интерес к простому геометрическому соотношению, решил выяснить известный американский астрофизик и популяризатор науки Марио Ливио. Увлекательное расследование привело к неожиданным результатам…
Увлекательный сюжет и нетривиальная развязка, убедительная логика и независимость суждений, малоизвестные факты из истории науки и неожиданные сопоставления – вот что делает эту научно-популярную книгу настоящим детективом и несомненным бестселлером.

φ – Число Бога. Золотое сечение – формула мироздания — читать онлайн ознакомительный отрывок

Ниже представлен текст книги, разбитый по страницам. Система сохранения места последней прочитанной страницы, позволяет с удобством читать онлайн бесплатно книгу «φ – Число Бога. Золотое сечение – формула мироздания», без необходимости каждый раз заново искать на чём Вы остановились. Поставьте закладку, и сможете в любой момент перейти на страницу, на которой закончили чтение.

Тёмная тема
Сбросить

Интервал:

Закладка:

Сделать

Приложение 3

Площадь треугольника равна половине произведения его основания на высоту, проведенную к основанию. У треугольника TBC основание BC равно , а высота ТА равна с . Следовательно, площадь треугольника равна с × а . Мы хотим показать, что если квадрат высоты пирамиды h 2равен площади ее треугольной стороны s × a, то s/a равно золотому сечению.

Дано что h 2 s a Применив теорему Пифагора к прямоугольному - фото 146

Дано, что

h 2 = s × a.

Применив теорему Пифагора к прямоугольному треугольнику TOA, получаем

s 2 = h 2 + a 2.

Теперь подставим значение h 2из первого равенства и получим

s 2 = s × a + a 2.

Разделим обе части на a 2и получим

(s/a) 2 = (s/a) + 1.

Иными словами, если мы обозначим s/a как x, у нас получится квадратное уравнение

x 2 = x + 1.

В главе 4 показано, что именно это уравнение и описывает золотое сечение.

Приложение 4

Одна из теорем в «Началах» доказывает, что если у двух треугольников одинаковые углы, эти треугольники подобны . А это значит, что форма у этих треугольников совершенно одинаковая и длины сторон соответственно пропорциональны. Если одна сторона одного треугольника вдвое длиннее соответствующей стороны второго треугольника, то это справедливо и по отношению к остальным сторонам.

Треугольники ADB и DBC подобны поскольку у них одинаковые углы Следовательно - фото 147

Треугольники ADB и DBC подобны, поскольку у них одинаковые углы. Следовательно, отношение AB/DB, то есть отношение сторон треугольников ADB и DBC, равно DB/BC, то есть отношению оснований этих треугольников.

AB/DB = DB/BC.

Однако эти треугольники также равнобедренные, поэтому

DB = DC = AC.

Из вышеприведенных равенств следует, что

AC/BC = AB/AC,

Что означает (согласно определению Евклида), что точка C делит отрезок AB в золотом сечении. Поскольку AD = AB и DB = AC, получаем также, что AD/DB = φ.

Приложение 5

Квадратные уравнения – это уравнения, имеющие вид

ax 2 + bx + c = 0,

где a, b, c – произвольные числа. Например, в уравнении 2 x 2+ 3 x + 1 = 0 имеем a = 2, b = 3, c = 1.

Общая формула для поиска двух корней уравнения:

В вышеприведенном примере В уравнении описывающем золотое сечение x 2 x - фото 148

В вышеприведенном примере

В уравнении описывающем золотое сечение x 2 x 1 0 a 1 b 1 c - фото 149

В уравнении, описывающем золотое сечение,

x 2 – x – 1 = 0,

a = 1, b = –1, c = –1, следовательно, корни:

Приложение 6 Задачу о дележе наследства можно решить следующим образом - фото 150

Приложение 6

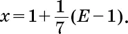
Задачу о дележе наследства можно решить следующим образом. Обозначим все наследство как E, а долю каждого из сыновей в безантах – как x (по условию, все они делят наследство поровну).

Первый сын получил

Второй сын получил Приравниваем их доли Упрощаем x7 67 x 6 Следо - фото 151

Второй сын получил

Приравниваем их доли Упрощаем x7 67 x 6 Следовательно каждому из - фото 152

Приравниваем их доли:

Упрощаем x7 67 x 6 Следовательно каждому из сыновей досталось по 6 - фото 153

Упрощаем:

x/7 = 6/7

x = 6.

Следовательно, каждому из сыновей досталось по 6 безантов.

Подставив эту величину в первое равенство, получаем:

Сумма наследства составила 36 безантов Следовательно количество сыновей 366 - фото 154

Сумма наследства составила 36 безантов. Следовательно, количество сыновей 36/6 = 6.

А вот как выглядит решение Фибоначчи.

Сумма наследства должна представлять собой такое число, чтобы если прибавить к нему 1 раз по 6, одно делилось бы на 1 плюс 6, то есть на 7, а если прибавить к нему 2 раза по 6, оно делилось бы на 2 плюс 6, то есть на 8, если же прибавить к нему 3 раза по 6, оно делилось бы на 3 плюс 6, то есть на 9, и т. д. Такое число – 36. 1/7 от (36 – 1/7) – это 35/7, плюс 1 – это 42/7, или 6, и это и есть сумма, которую получил каждый из сыновей; общая сумма наследства, поделенная на долю каждого из сыновей, дает нам число сыновей, то есть 36/6 равно 6.

Читать дальше
Тёмная тема
Сбросить

Интервал:

Закладка:

Сделать

Похожие книги на «φ – Число Бога. Золотое сечение – формула мироздания»

Представляем Вашему вниманию похожие книги на «φ – Число Бога. Золотое сечение – формула мироздания» списком для выбора. Мы отобрали схожую по названию и смыслу литературу в надежде предоставить читателям больше вариантов отыскать новые, интересные, ещё непрочитанные произведения.


Отзывы о книге «φ – Число Бога. Золотое сечение – формула мироздания»

Обсуждение, отзывы о книге «φ – Число Бога. Золотое сечение – формула мироздания» и просто собственные мнения читателей. Оставьте ваши комментарии, напишите, что Вы думаете о произведении, его смысле или главных героях. Укажите что конкретно понравилось, а что нет, и почему Вы так считаете.

x