Жуан Гомес - Мир математики. т.4. Когда прямые искривляются. Неевклидовы геометрии

Здесь есть возможность читать онлайн «Жуан Гомес - Мир математики. т.4. Когда прямые искривляются. Неевклидовы геометрии» весь текст электронной книги совершенно бесплатно (целиком полную версию без сокращений). В некоторых случаях можно слушать аудио, скачать через торрент в формате fb2 и присутствует краткое содержание. Город: Москва, Год выпуска: 2014, ISBN: 2014, Издательство: «Де Агостини», Жанр: Математика, на русском языке. Описание произведения, (предисловие) а так же отзывы посетителей доступны на портале библиотеки ЛибКат.

  • Название:
    Мир математики. т.4. Когда прямые искривляются. Неевклидовы геометрии
  • Автор:
  • Издательство:
    «Де Агостини»
  • Жанр:
  • Год:
    2014
  • Город:
    Москва
  • ISBN:
    978-5-9774-0635-2
  • Рейтинг книги:
    4 / 5. Голосов: 1
  • Избранное:
    Добавить в избранное
  • Отзывы:
  • Ваша оценка:
    • 80
    • 1
    • 2
    • 3
    • 4
    • 5

Мир математики. т.4. Когда прямые искривляются. Неевклидовы геометрии: краткое содержание, описание и аннотация

Предлагаем к чтению аннотацию, описание, краткое содержание или предисловие (зависит от того, что написал сам автор книги «Мир математики. т.4. Когда прямые искривляются. Неевклидовы геометрии»). Если вы не нашли необходимую информацию о книге — напишите в комментариях, мы постараемся отыскать её.

Многие из нас слышали о том, что современная наука уже довольно давно поставила под сомнение основные постулаты евклидовой геометрии. Но какие именно теории пришли на смену классической доктрине? На ум приходит разве что популярная теория относительности Эйнштейна. На самом деле таких революционных идей и гипотез гораздо больше. Пространство Минковского, гиперболическая геометрия Лобачевского и Бойяи, эллиптическая геометрия Римана и другие любопытные способы описания окружающего нас мира относятся к группе так называемых неевклидовых геометрий. Каким образом пересекаются параллельные прямые? В каком случае сумма внутренних углов треугольника может составить больше 180°? Ответы на эти и многие другие вопросы вы найдете в данной книге.

Мир математики. т.4. Когда прямые искривляются. Неевклидовы геометрии — читать онлайн бесплатно полную книгу (весь текст) целиком

Ниже представлен текст книги, разбитый по страницам. Система сохранения места последней прочитанной страницы, позволяет с удобством читать онлайн бесплатно книгу «Мир математики. т.4. Когда прямые искривляются. Неевклидовы геометрии», без необходимости каждый раз заново искать на чём Вы остановились. Поставьте закладку, и сможете в любой момент перейти на страницу, на которой закончили чтение.

Тёмная тема
Сбросить

Интервал:

Закладка:

Сделать

Выражение для площади треугольника подтверждает то, о чем мы говорили раньше. На самом деле в евклидовом случае два треугольника с одинаковыми углами не обязательно имеют одинаковую площадь и, следовательно, не обязательно равны. Однако в гиперболическом мире одинаковые углы (и, следовательно, одинаковый угловой дефект) означают одинаковый размер.

Также в гиперболической геометрии чем больше треугольник, тем больше его площадь и тем меньше сумма его углов. Для очень малых площадей (для бесконечно малых, в терминах математики) сумма углов треугольника стремится к 180°. Таким образом, можно сказать, что геометрия Евклида является предельным случаем гиперболической геометрии.

Иоганн Генрих Ламберт, о котором мы уже упоминали в третьей главе, еще в середине XVIII в. заметил, что, отказавшись от пятого постулата Евклида, он получил следующий результат: сумма углов треугольника увеличилась, приближаясь к 180° по мере уменьшения площади треугольника.

Круги

В школьной геометрии изучаются не только треугольники. В школьную программу входят и другие геометрические фигуры, например, круги, поэтому каждый знает, что такое радиус круга. В геометрии Евклида длина окружности С пропорциональна радиусу r . Это соотношение включает в себя знаменитое число π :

С= 2· π · r.

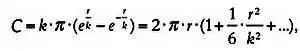
Однако, в гиперболической геометрии длина окружности рассчитывается по следующей формуле:

В этом выражении k является коэффициентом пропорциональности a sh так - фото 61

В этом выражении k является коэффициентом пропорциональности, a sh — так называемым гиперболическим синусом. Число е нам уже знакомо, с точностью до нескольких десятичных знаков оно записывается как 2,718281828 …Также напомним, что

Мир математики т4 Когда прямые искривляются Неевклидовы геометрии - изображение 62

Теперь возьмем предыдущее выражение

и разложим его в ряд Таким образом получим новое выражение для длины - фото 63

и разложим его в ряд:

Таким образом получим новое выражение для длины окружности в виде бесконечной - фото 64

Таким образом получим новое выражение для длины окружности в виде бесконечной суммы слагаемых.

Если мы посмотрим на вторую часть выражения

Мир математики т4 Когда прямые искривляются Неевклидовы геометрии - изображение 65

то заметим, что при очень малых r множитель Мир математики т4 Когда прямые искривляются Неевклидовы геометрии - изображение 66будет стремиться к 1, и поэтому формула сведется к известному выражению евклидовой геометрии:

С= 2· π · r.

Это можно доказать с помощью простых вычислений. Для простоты мы будем измерять расстояния в километрах. Возьмем выражение для длины окружности в виде степенного ряда. Пусть коэффициент k имеет значение k = 10 17, и мы хотим посчитать длину окружности радиуса 100 км.

Подставим эти значения в выражение

а также в евклидову формулу 2πr и мы увидим что разница составляет лишь 10 - фото 67

а также в евклидову формулу 2π·r , и мы увидим, что разница составляет лишь 10 -9.

Если два значения длины окружности посчитать для радиуса в 1 км, разница будет порядка 10 -12. Продолжим вычисления с меньшими значениями по мере того, как круг сжимается. Для радиуса в один метр разница составит примерно 10 -15. Таким образом, мы показали, что при небольших размерах длина окружности в гиперболической геометрии приближается к длине окружности в геометрии Евклида. Такие же рассуждения можно применить и к формулам для площади треугольника.

* * *

РЯДЫ ТЕЙЛОРА

При определенных условиях можно записать следующее разложение в ряд:

Это выражение для е 4 называется рядом Тейлора в честь английского математика - фото 68

Это выражение для е 4 называется рядом Тейлора, в честь английского математика Брука Тейлора(1685–1713) . Если у вас есть простейший калькулятор с четырьмя основными операциями (сложение, вычитание, умножение и деление), эта формула позволяет посчитать е в любой степени, просто подставив его значение вместо А , чем больше членов ряда будет посчитано, тем выше точность результата. Выражение n! означает произведение n ·( n — 1)·( n — 2)·…·1 и читается как «n факториал». Например: 5! = 5 x 4 x 3 x 2 x 1 = 120.

Читать дальше
Тёмная тема
Сбросить

Интервал:

Закладка:

Сделать

Похожие книги на «Мир математики. т.4. Когда прямые искривляются. Неевклидовы геометрии»

Представляем Вашему вниманию похожие книги на «Мир математики. т.4. Когда прямые искривляются. Неевклидовы геометрии» списком для выбора. Мы отобрали схожую по названию и смыслу литературу в надежде предоставить читателям больше вариантов отыскать новые, интересные, ещё непрочитанные произведения.


Отзывы о книге «Мир математики. т.4. Когда прямые искривляются. Неевклидовы геометрии»

Обсуждение, отзывы о книге «Мир математики. т.4. Когда прямые искривляются. Неевклидовы геометрии» и просто собственные мнения читателей. Оставьте ваши комментарии, напишите, что Вы думаете о произведении, его смысле или главных героях. Укажите что конкретно понравилось, а что нет, и почему Вы так считаете.

x