Микель Альберти - Мир математики. т.20. Творчество в математике. По каким правилам ведутся игры разума

Здесь есть возможность читать онлайн «Микель Альберти - Мир математики. т.20. Творчество в математике. По каким правилам ведутся игры разума» весь текст электронной книги совершенно бесплатно (целиком полную версию без сокращений). В некоторых случаях можно слушать аудио, скачать через торрент в формате fb2 и присутствует краткое содержание. Город: Москва, Год выпуска: 2014, ISBN: 2014, Издательство: «Де Агостини», Жанр: Математика, на русском языке. Описание произведения, (предисловие) а так же отзывы посетителей доступны на портале библиотеки ЛибКат.

Мир математики. т.20. Творчество в математике. По каким правилам ведутся игры разума: краткое содержание, описание и аннотация

Предлагаем к чтению аннотацию, описание, краткое содержание или предисловие (зависит от того, что написал сам автор книги «Мир математики. т.20. Творчество в математике. По каким правилам ведутся игры разума»). Если вы не нашли необходимую информацию о книге — напишите в комментариях, мы постараемся отыскать её.

В чем состоит загадка творчества? Существуют ли правила созидания? Действительно ли решение сложной задачи можно найти только в моменты удивительного озарения? Этими вопросами, наверное, задавался каждый из нас. Цель этой книги — рассказать о правилах творчества, его свойствах и доказать, что творчество доступно многим. Мы творим, когда мы размышляем, когда задаемся вопросами о жизни. Вот почему в основе математического творчества лежит умение задавать правильные вопросы и находить на них ответы.

Мир математики. т.20. Творчество в математике. По каким правилам ведутся игры разума — читать онлайн бесплатно полную книгу (весь текст) целиком

Ниже представлен текст книги, разбитый по страницам. Система сохранения места последней прочитанной страницы, позволяет с удобством читать онлайн бесплатно книгу «Мир математики. т.20. Творчество в математике. По каким правилам ведутся игры разума», без необходимости каждый раз заново искать на чём Вы остановились. Поставьте закладку, и сможете в любой момент перейти на страницу, на которой закончили чтение.

Тёмная тема
Сбросить

Интервал:

Закладка:

Сделать
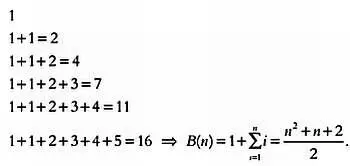
Иными словами максимальное число районов В n равно сумме n и числа районов - фото 100

Иными словами, максимальное число районов В( n ) равно сумме n и числа районов, полученных на предыдущем этапе, В( n — 1):

При подобном расположении улиц город будет выглядеть примерно так - фото 101

При подобном расположении улиц город будет выглядеть примерно так:

Образующаяся кривая так называемая эвольвента Вn для n кривая - фото 102

Образующаяся кривая — так называемая эвольвента В(n) для n —> картинка 103кривая — гипербола, которая описывается уравнением:

х 2 + у 2+ 2 ху — 4 у = 0.

Если же улицы необязательно должны быть прямыми, то максимально возможное число районов будет равно В( n ) = 2 n . На следующем рисунке изображен план города, который делится шестью улицами на 64 района:

Порядок среди хаоса теорема Вариньона Теорема Вариньона это знаменитая - фото 104
Порядок среди хаоса: теорема Вариньона

Теорема Вариньона — это знаменитая теорема планиметрии, описывающая удивительный феномен. В классификации Дьёрдя Пойа это задача на доказательство.

Эта теорема иллюстрирует два важных принципа: во-первых, доказательство, которое не объясняет явление, не является достаточным, во-вторых, цель творческого подхода в математике заключается в том, чтобы понять явление, а для этого необходимо всестороннее доказательство. Иными словами, иногда «доказать» не означает «объяснить».

Выберем четыре произвольные точки плоскости Р, Q, R, S и соединим их отрезками, образуя четырехугольник. Обозначим середины его сторон точками А, В, С, D . Соединим эти точки так, чтобы получился второй четырехугольник внутри первого. Замечаете ли вы нечто особенное?

Повторите построение для других исходных точек и вы увидите то же самое Перед - фото 105

Повторите построение для других исходных точек, и вы увидите то же самое.

Перед нами — необычная ситуация. Кажется, что геометрия не подчиняется здравому смыслу. Какую бы форму ни имел исходный четырехугольник, для него всегда будет выполняться утверждение:

четырехугольник, вершины которого совпадают с серединами сторон произвольного четырехугольника, является параллелограммом.

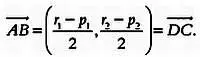
Мы обнаружили порядок среди хаоса. Первое, что нужно сделать в подобных ситуациях — постараться объяснить увиденное. Быть может, доказательство поможет нам найти такое объяснение, а может быть, и нет. Рассмотрим векторный и алгебраический подход к этой теореме. Нужно доказать, что точки А, В, С и D , которые являются серединами сторон произвольного четырехугольника PQRS , определяют параллелограмм. Иными словами, нужно доказать, что векторы АВ → и DC → равны, то есть их можно разложить на одинаковые составляющие. Пусть исходные точки имеют следующие координаты: P( p 1, р 2 ), Q( q 1, q 2 ), R( r 1, r 2 ) и S( s 1, s 2 ). Найдем координаты первого из рассматриваемых векторов и покажем, что они равны координатам второго вектора:

Теорема доказана Объясняет ли это доказательство суть увиденного нами Нет - фото 106

Теорема доказана. Объясняет ли это доказательство суть увиденного нами? Нет. Перед нами пример того, как логика доказывает, но не объясняет. В данном случае логика не объясняет, потому что из доказательства мы не можем понять, почему ситуация складывается именно так, а не иначе. Вернемся в начало доказательства и обратим внимание на часть исходной фигуры:

Возможно в этом контексте она покажется вам знакомой Проведем вспомогательную - фото 107

Возможно, в этом контексте она покажется вам знакомой. Проведем вспомогательную линию — единственно возможную для завершения рисунка:

Результат построения треугольники APD и QPS Так как точки А и D середины - фото 108

Результат построения — треугольники APD и QPS . Так как точки А и D — середины сторон PQ и PS соответственно, то отрезок AD параллелен QS , а его длина в два раза меньше длины QS . Последнее утверждение известно как теорема о средней линии — она заслуживает отдельного упоминания, так как не столь очевидна, как может показаться.

Читать дальше
Тёмная тема
Сбросить

Интервал:

Закладка:

Сделать

Похожие книги на «Мир математики. т.20. Творчество в математике. По каким правилам ведутся игры разума»

Представляем Вашему вниманию похожие книги на «Мир математики. т.20. Творчество в математике. По каким правилам ведутся игры разума» списком для выбора. Мы отобрали схожую по названию и смыслу литературу в надежде предоставить читателям больше вариантов отыскать новые, интересные, ещё непрочитанные произведения.


Отзывы о книге «Мир математики. т.20. Творчество в математике. По каким правилам ведутся игры разума»

Обсуждение, отзывы о книге «Мир математики. т.20. Творчество в математике. По каким правилам ведутся игры разума» и просто собственные мнения читателей. Оставьте ваши комментарии, напишите, что Вы думаете о произведении, его смысле или главных героях. Укажите что конкретно понравилось, а что нет, и почему Вы так считаете.

x