Рауль Ибаньес - Том 26. Мечта об идеальной карте. Картография и математика

Здесь есть возможность читать онлайн «Рауль Ибаньес - Том 26. Мечта об идеальной карте. Картография и математика» весь текст электронной книги совершенно бесплатно (целиком полную версию без сокращений). В некоторых случаях можно слушать аудио, скачать через торрент в формате fb2 и присутствует краткое содержание. Город: Москва, Год выпуска: 2014, Издательство: ООО «Де Агостини», Жанр: Математика, на русском языке. Описание произведения, (предисловие) а так же отзывы посетителей доступны на портале библиотеки ЛибКат.

Том 26. Мечта об идеальной карте. Картография и математика: краткое содержание, описание и аннотация

Предлагаем к чтению аннотацию, описание, краткое содержание или предисловие (зависит от того, что написал сам автор книги «Том 26. Мечта об идеальной карте. Картография и математика»). Если вы не нашли необходимую информацию о книге — напишите в комментариях, мы постараемся отыскать её.

Современный человек пользуется картами практически ежедневно: карты украшают стены школ, они помогают нам ориентироваться на местности, находить кратчайший путь из одного пункта в другой, изучать историю, географию, экономику и ряд других наук.
Карты — важный рабочий инструмент для некоторых специалистов: моряков, летчиков, машинистов, топографов и проч. Но много ли мы знаем о том, как создаются карты? Для чего существует такое количество разнообразных карт и насколько все они точны?
Прочитав эту книгу, вы узнаете множество новых и любопытных фактов о геометрии карт.

Том 26. Мечта об идеальной карте. Картография и математика — читать онлайн бесплатно полную книгу (весь текст) целиком

Ниже представлен текст книги, разбитый по страницам. Система сохранения места последней прочитанной страницы, позволяет с удобством читать онлайн бесплатно книгу «Том 26. Мечта об идеальной карте. Картография и математика», без необходимости каждый раз заново искать на чём Вы остановились. Поставьте закладку, и сможете в любой момент перейти на страницу, на которой закончили чтение.

Тёмная тема
Сбросить

Интервал:

Закладка:

Сделать
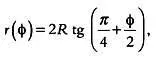
где R радиус сферической модели Земли Чтобы рассчитать это расстояние нужно - фото 98

где R — радиус сферической модели Земли. Чтобы рассчитать это расстояние, нужно воспользоваться определением тангенса угла SNA (см. рисунок на стр. 109).

Использование карт, выполненных в стереографической проекции

С древних времен до наших дней стереографическая проекция используется при составлении карт звездного неба. Полярная стереографическая проекция использовалась исключительно в этих целях со времен Древней Греции до, возможно, 1507 года, когда она впервые была применена при составлении карты Земли. Как отмечает Джон Снайдер в книге «Как Земля стала плоской» ( Flattening the Earth ), эту карту изготовил Вальтер Людд из Сан-Дье. Первые печатные карты звездного неба, созданные с помощью полярной стереографической проекции, принадлежат знаменитому немецкому художнику Альбрехту Дюреру (1471–1528) : в 1515 году он создал карту Северного полушария небесной сферы Imagines coeli septentrionales cum duodecim imaginibus zodiaci («Изображение северного звездного неба с двенадцатью зодиакальными созвездиями») и карту Южного полушария небесной сферы Imagines coeli meridionales («Изображение южного звездного неба»). Центры проекций этих карт располагались в Северном и Южном полюсах эклиптики соответственно. За ними последовали многие другие, например карты полушарий небесной сферы, выполненные Галлеем примерно в 1678 году, или опубликованная в «Бюллетене Французской академии наук» в 1756 году «Карта мира, содержащая небесные созвездия» ( Planisphere contenant les constellations celestes ) французского астронома Никола Луи де Лакайля(1713–1762) , на которой изображены звезды, видимые в Южном полушарии. Карта Лакайля была включена в знаменитый атлас звездного неба Флемстида 1776 года.

Многие другие карты звездного неба в полярной стереографической проекции были созданы в золотой век небесной картографии великими астрономами, картографами и математиками: Иоганном Доппельмайером, Пьером Шарлем Ле Моннье, Жаном Домиником Кассини и многими другими.

Карта звездного неба Альбрехта ДюрераИзображение северного звездного неба на - фото 99

Карта звездного неба Альбрехта Дюрера«Изображение северного звездного неба», на которой изображено Северное полушарие небесной сферы.

Полярная стереографическая проекция начала использоваться для составления карт Земли в начале XVI века. Немецкий гуманист Грегор Рейш(ок. 1470–1525) использовал ее в своей энциклопедии «Жемчужина философии» (1512) при составлении простой карты с центром в Северном полюсе. Немецкий картограф Петер Апиан(1495–1552) включил в свою «Космографию» (1524) небольшую карту Северного полушария до 25-го градуса южной широты. Французский картограф Гийом Делиль(1675–1726) в своем «Новом атласе, содержащем все части мира» (1730) привел карты Северного и Южного полушария, выполненные в полярной стереографической проекции. Аналогичные карты создал его племянник, картограф Филипп Буше(1700–1773) . Так, ему принадлежит знаменитая «Карта южных земель между тропиком Козерога и Антарктическим полюсом, изображающая новые земли к югу от мыса Доброй Надежды, открытые в 1739 году». Существует два варианта этой карты: в одном из них отсутствует Антарктида, в другом на ее месте изображены две большие части суши. Последний вариант был составлен задолго до подробных исследований Австралийского континента, поэтому ее порой использовали, чтобы доказать существование Атлантиды.

Вслед за этими картами были созданы многие другие похожие карты двух полушарий, а также разработаны карты, на которых полушария изображались совместно, например «Карта магнитных меридианов и параллелей» ( Karte Der Magnetischen Meridiane und Parallel-Kreise ) и другие, включенные в «Физический атлас» ( Physikalischer Atlas , 1848) немецкого картографа Генриха Бергхауза(1797–1884) . Эти карты использовались в качестве иллюстраций к труду «Космос, или Физическое мироописание» немецкого натуралиста и путешественника Александра фон Гумбольдта(1769–1859) .

Карта магнитных меридианов и параллелей на которой изображены два полушария - фото 100

«Карта магнитных меридианов и параллелей», на которой изображены два полушария в стереографической проекции, составленная немецким географом Генрихом Бергхаузом.

Читать дальше
Тёмная тема
Сбросить

Интервал:

Закладка:

Сделать

Похожие книги на «Том 26. Мечта об идеальной карте. Картография и математика»

Представляем Вашему вниманию похожие книги на «Том 26. Мечта об идеальной карте. Картография и математика» списком для выбора. Мы отобрали схожую по названию и смыслу литературу в надежде предоставить читателям больше вариантов отыскать новые, интересные, ещё непрочитанные произведения.


Отзывы о книге «Том 26. Мечта об идеальной карте. Картография и математика»

Обсуждение, отзывы о книге «Том 26. Мечта об идеальной карте. Картография и математика» и просто собственные мнения читателей. Оставьте ваши комментарии, напишите, что Вы думаете о произведении, его смысле или главных героях. Укажите что конкретно понравилось, а что нет, и почему Вы так считаете.

x