Liuping Wang - PID Control System Design and Automatic Tuning using MATLAB/Simulink
Здесь есть возможность читать онлайн «Liuping Wang - PID Control System Design and Automatic Tuning using MATLAB/Simulink» — ознакомительный отрывок электронной книги совершенно бесплатно, а после прочтения отрывка купить полную версию. В некоторых случаях можно слушать аудио, скачать через торрент в формате fb2 и присутствует краткое содержание. Жанр: unrecognised, на английском языке. Описание произведения, (предисловие) а так же отзывы посетителей доступны на портале библиотеки ЛибКат.
- Название:PID Control System Design and Automatic Tuning using MATLAB/Simulink
- Автор:
- Жанр:
- Год:неизвестен
- ISBN:нет данных
- Рейтинг книги:3 / 5. Голосов: 1
-
Избранное:Добавить в избранное
- Отзывы:
-
Ваша оценка:
PID Control System Design and Automatic Tuning using MATLAB/Simulink: краткое содержание, описание и аннотация
Предлагаем к чтению аннотацию, описание, краткое содержание или предисловие (зависит от того, что написал сам автор книги «PID Control System Design and Automatic Tuning using MATLAB/Simulink»). Если вы не нашли необходимую информацию о книге — напишите в комментариях, мы постараемся отыскать её.
PID Control System Design and Automatic Tuning using MATLAB Provides unique coverage of PID Control of unmanned aerial vehicles (UAVs), including mathematical models of multi-rotor UAVs, control strategies of UAVs, and automatic tuning of PID controllers for UAVs
Provides detailed descriptions of automatic tuning of PID control systems, including relay feedback control systems, frequency response estimation, Monte-Carlo simulation studies, PID controller design using frequency domain information, and MATLAB/Simulink simulation and implementation programs for automatic tuning Includes 15 MATLAB/Simulink tutorials, in a step-by-step manner, to illustrate the design, simulation, implementation and automatic tuning of PID control systems Assists lecturers, teaching assistants, students, and other readers to learn PID control with constraints and apply the control theory to various areas. Accompanying website includes lecture slides and MATLAB/ Simulink programs
is intended for undergraduate electrical, chemical, mechanical, and aerospace engineering students, and will greatly benefit postgraduate students, researchers, and industrial personnel who work with control systems and their applications.
is typically chosen to be 0.1 (10%).
is chosen to be larger if the measurement noise is severe.
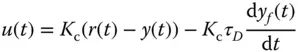
, a typical PD controller output is calculated as
is the filtered output response using (1.11). In a Laplace transform, the control signal is expressed as
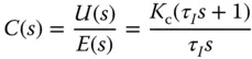
is the sum of two terms, one from the proportional function and the other from the integral action, having the form,
is the error signal between the reference signal
and the output
,
is the proportional gain, and
is the integral time constant. The parameter
is always positive, and its value is inversely proportional to the effect of the integral action taken by the PI controller. A smaller
will result in a stronger effect of the integral action.
being the Laplace transform of the error signal
. With this, the Laplace transfer function of the PI controller is expressed as




