Mary Jane Sterling - Algebra I All-in-One For Dummies
Здесь есть возможность читать онлайн «Mary Jane Sterling - Algebra I All-in-One For Dummies» — ознакомительный отрывок электронной книги совершенно бесплатно, а после прочтения отрывка купить полную версию. В некоторых случаях можно слушать аудио, скачать через торрент в формате fb2 и присутствует краткое содержание. Жанр: unrecognised, на английском языке. Описание произведения, (предисловие) а так же отзывы посетителей доступны на портале библиотеки ЛибКат.
- Название:Algebra I All-in-One For Dummies
 - Автор:
 - Жанр:
 - Год:неизвестен
 - ISBN:нет данных
 - Рейтинг книги:5 / 5. Голосов: 1
 - 
								Избранное:Добавить в избранное
 - Отзывы:
 - 
								Ваша оценка:
 
Algebra I All-in-One For Dummies: краткое содержание, описание и аннотация
Предлагаем к чтению аннотацию, описание, краткое содержание или предисловие (зависит от того, что написал сам автор книги «Algebra I All-in-One For Dummies»). Если вы не нашли необходимую информацию о книге — напишите в комментариях, мы постараемся отыскать её.
is the key! With it, you’ll get everything you need to solve the mystery of Algebra I.
This book proves that algebra is for everyone with straightforward, unit-based instruction, hundreds of examples and practice problems, and two quizzes for every chapter – one in the book and another (totally different!) online. From graph and word problems to the FOIL method and common algebra terminology,
walks you step-by-step through ALL the concepts you need to know to slay your Algebra I class.
In this handy guide, you’ll also:
Receive instruction and tips on how to handle basic and intermediate algebraic tasks such as factoring and equation simplification Banish math anxiety forever by developing an intuitive understanding of how algebra works Get a handle on graphing problems and functions, as well as inequalities and word problems
is a must-read for Algebra students looking for an everything-in-one-book supplement to their coursework, as well as anyone hoping to brush up on their math before tackling a related subject, such as physics, chemistry, or a more advanced math topic.
													
								
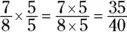
 Q.Find a fraction equivalent to 
with a denominator of 40.
by multiplying the numerator and denominator by 
. The same thing is accomplished if you divide both the numerator and denominator by 3.
or 
Find an equivalent fraction with a denominator of 28 for 
.
.
.
.
To reduce fractions to their lowest terms, follow these steps:
, you might have chosen to divide by 6 instead of 12. In that case, you’d get the fraction 
, which can be reduced again by dividing the numerator and denominator by 2. Choosing the largest number possible just reduces the number of steps you have to take.
in lowest terms.
.
is in lowest terms.



, the following are also true:
. Flip the proportion to get the unknown in the numerator of the right-hand fraction. Then you see that the two bottom numbers both have a common factor of 7. Divide each by 7. Finally, cross-multiply to get your answer: