Геннадий Захаренко - Выставка. Техника и технология успеха

Здесь есть возможность читать онлайн «Геннадий Захаренко - Выставка. Техника и технология успеха» — ознакомительный отрывок электронной книги совершенно бесплатно, а после прочтения отрывка купить полную версию. В некоторых случаях можно слушать аудио, скачать через торрент в формате fb2 и присутствует краткое содержание. Город: Москва, Год выпуска: 2006, ISBN: 2006, Издательство: Вершина, Жанр: management, на русском языке. Описание произведения, (предисловие) а так же отзывы посетителей доступны на портале библиотеки ЛибКат.

Выставка. Техника и технология успеха: краткое содержание, описание и аннотация

Предлагаем к чтению аннотацию, описание, краткое содержание или предисловие (зависит от того, что написал сам автор книги «Выставка. Техника и технология успеха»). Если вы не нашли необходимую информацию о книге — напишите в комментариях, мы постараемся отыскать её.

В развитии выставочной отрасли заинтересованы производители, продавцы, посредники и потребители товаров и услуг. В книге подробно рассматриваются три этапа выставочной деятельности: подготовка, участие, оценка эффективности. Вы узнаете теоретические основы и освоите практические приемы эффективной работы на каждом этапе, и эти знания помогут избежать типичных и нетипичных ошибок. Все рекомендации основаны на личном опыте автора, который неоднократно организовывал выставки и участвовал в них. Материал иллюстрирован конкретными примерами решения задач, с которыми сталкиваются многие стендисты. Читателя приятно удивят некоторые оригинальные приемы, предлагаемые в книге.

Выставка. Техника и технология успеха — читать онлайн ознакомительный отрывок

Ниже представлен текст книги, разбитый по страницам. Система сохранения места последней прочитанной страницы, позволяет с удобством читать онлайн бесплатно книгу «Выставка. Техника и технология успеха», без необходимости каждый раз заново искать на чём Вы остановились. Поставьте закладку, и сможете в любой момент перейти на страницу, на которой закончили чтение.

Тёмная тема
Сбросить

Интервал:

Закладка:

Сделать

При подведении общих итогов по выставке эти коэффициенты могут позволить сравнить результаты данной выставки с предыдущими.

Необходимо оценить, насколько удачным было оформление вашего стенда, достаточным ли было количество наглядных и раздаточных материалов и т. д.

Важно проанализировать, как на результатах вашей работы сказалась удаленность от входа и центральных проходов. Кроме того, насколько эффективной была деятельность вашего первого и второго эшелонов, а при наличии такового – и нулевого эшелона.

Безусловно, некоторые контракты заключаются непосредственно на стенде еще во время проведения выставки, но это уже конкретный, «очищенный» результат. Результаты опроса позволяют оценить не только отношение к вашему положению на рынке в целом, но и выяснить, перспективно ли участие в данном мероприятии на будущее. Опрос позволяет сделать выводы, в нужном ли направлении вы двигаетесь.

Последний этап комплексного исследования эффективности участия в выставках заключается в регистрации и констатации результатов «постфактум». Он имеет место только при наличии определенных факторов. Так, объективно оценить количество клиентов, которые пришли к вам после контакта на выставке, возможно при отсутствии изменений в рекламном бюджете, расширения производства, изменений в ассортиментной линейке и т. д. Конечно, можно оценить прибыль, поступившую к вам после участия на выставке методом прямой и непосредственной коммуникации. Однако при большом количестве клиентов это затруднительно, поэтому при отсутствии вышеуказанных изменений внутри вашей организации в течение месяца можно смело сравнивать результаты продаж, выводить коэффициенты их повышения, стабилизации или понижения, что поможет оценить отдачу от выставки в течение запланированного срока.

Подводя итог, следует отметить, что сочетание всех описанных методов даст наиболее полную информацию, и как следствие – ощутимый результат. Однако понятно, что проводить такие исследования под силу крупным организациям, а что делать остальным? Пожалуй, есть универсальный ответ: необходимо правильно выбрать тематику выставки и размещаться только на солидных выставках, которые продержались на плаву не менее трех лет. Обычно эти организации способны сами предоставить вам исследование по выставке, а также оценить рейтинг вашего стенда, а вам останется лишь пожинать плоды их труда.

Как показывает опыт, всегда или по крайней мере в большинстве случаев желательно иметь обобщенную оценку эффективности участия в выставке. Дело в том, что описанные выше индивидуальные показатели не позволяют дать совокупную оценку и определить, насколько успешно или неуспешно прошла данная выставка. Однако иметь один или несколько показателей в большинстве случаев желательно.

Для этого лучше всего сформулировать критерий, на основании которого будет производиться интегральная оценка, поэтому уже на первом этапе при выборе и постановке целей или хотя бы на самых первых этапах необходимы определение и разработка алгоритмов – как и по каким параметрам будут производиться индивидуальная оценка участия каждого сотрудника и интегральная оценка работы всего персонала.

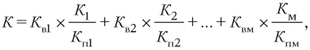
Вашему вниманию предлагается следующий алгоритм формирования одного критерия эффективности участия в выставке. Каждый запланированный индивидуальный показатель, то есть вашу цель, выраженную качественно или количественно, вы умножаете на коэффициент важности. Сумма коэффициентов важности должна быть равна 1. Значение каждой цели, ее приоритеты, как уже было сказано, были определены ранее. Индивидуальные показатели, которых вы достигли на выставке, определяются в относительных величинах. В числителе записывается полученный на выставке результат, а в знаменателе – запланированные показатели.

Тогда интегральный показатель эффективности участия в выставке будет иметь следующий вид:

К 1 индивидуальный показатель 1 цель 1 которого фирма достигла во время - фото 27

К 1– индивидуальный показатель 1 (цель № 1), которого фирма достигла во время работы на выставке;

К В1 – коэффициент важности для индивидуального показателя 1 (цель № 1);

К П1– индивидуальный показатель (цель № 1), которого фирма запланировала достигнуть на выставке;

К 2 – индивидуальный показатель 2 (цель № 2), которого фирма достигла во время работы на выставке;

Читать дальше
Тёмная тема
Сбросить

Интервал:

Закладка:

Сделать

Похожие книги на «Выставка. Техника и технология успеха»

Представляем Вашему вниманию похожие книги на «Выставка. Техника и технология успеха» списком для выбора. Мы отобрали схожую по названию и смыслу литературу в надежде предоставить читателям больше вариантов отыскать новые, интересные, ещё непрочитанные произведения.


Отзывы о книге «Выставка. Техника и технология успеха»

Обсуждение, отзывы о книге «Выставка. Техника и технология успеха» и просто собственные мнения читателей. Оставьте ваши комментарии, напишите, что Вы думаете о произведении, его смысле или главных героях. Укажите что конкретно понравилось, а что нет, и почему Вы так считаете.

x