Владимир Спивак - Управление персоналом - учебное пособие

Здесь есть возможность читать онлайн «Владимир Спивак - Управление персоналом - учебное пособие» — ознакомительный отрывок электронной книги совершенно бесплатно, а после прочтения отрывка купить полную версию. В некоторых случаях можно слушать аудио, скачать через торрент в формате fb2 и присутствует краткое содержание. Год выпуска: 2010, ISBN: 2010, Издательство: Array Литагент «Эксмо», Жанр: management, Прочая научная литература, на русском языке. Описание произведения, (предисловие) а так же отзывы посетителей доступны на портале библиотеки ЛибКат.

Управление персоналом: учебное пособие: краткое содержание, описание и аннотация

Предлагаем к чтению аннотацию, описание, краткое содержание или предисловие (зависит от того, что написал сам автор книги «Управление персоналом: учебное пособие»). Если вы не нашли необходимую информацию о книге — напишите в комментариях, мы постараемся отыскать её.

В книге рассматриваются основные темы, которые входят в программу курса «Управление персоналом». В частности, раскрываются такие вопросы, как теория управления, методы и технологии управления кадрами, планирование карьеры, подбор и оценка персонала, адаптация и обучение сотрудников, мотивация труда, развитие трудового потенциала менеджеров и работников.
Учебное пособие подготовлено в соответствии с требованиями Государственного образовательного стандарта высшего профессионального образования.
Для студентов экономических факультетов вузов, а также тех, кто изучает данный предмет самостоятельно.

Управление персоналом: учебное пособие — читать онлайн ознакомительный отрывок

Ниже представлен текст книги, разбитый по страницам. Система сохранения места последней прочитанной страницы, позволяет с удобством читать онлайн бесплатно книгу «Управление персоналом: учебное пособие», без необходимости каждый раз заново искать на чём Вы остановились. Поставьте закладку, и сможете в любой момент перейти на страницу, на которой закончили чтение.

Тёмная тема
Сбросить

Интервал:

Закладка:

Сделать

Число рабочих можно посчитать и укрупненно по следующей формуле:

Управление персоналом учебное пособие - изображение 21

где В – планируемый объем выпуска продукции в данном периоде в соответствующих единицах измерения;

В н– норма выработки продукции на одного рабочего в планируемом периоде в тех же единицах измерения.

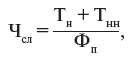
Численность служащих в общем случае определяется по формуле:

Управление персоналом учебное пособие - изображение 22

где Т н– годовая трудоемкость нормируемых работ, определяемая в соответствии с типовыми нормами времени и плановым объемом работ либо экспертным путем;

Т нн– годовая трудоемкость ненормируемых работ, определяемая, в основном, экспертным путем.

Более подробно проблемы определения потребности в персонале и методы расчета численности работников различных категорий рассматриваются в целом ряде работ, посвященных нормированию и организации труда, управлению персоналом.

Поскольку в содержании труда служащих, а особенно специалистов и руководителей, велик процент ненормируемых, творческих работ, постольку определять потребность в специалистах и руководителях затруднительно. Для руководителей существуют усредненные нормы управляемости (табл. 5.1).

Таблица 5.1

Нормы управляемости

При определении числа подчиненных используют следующие факторы уровень - фото 23

При определении числа подчиненных используют следующие факторы:

• уровень компетентности руководителя и подчиненных;

• интенсивность взаимодействия между группами или отдельными подчиненными;

• объем работ неуправленческого характера у руководителя и потребность в контактах за пределами подразделения;

• сходство или различия в содержании труда подчиненных (при одинаковой работе допустимое число подчиненных больше);

• широта новой проблематики в подразделении (доля инноваций);

• уровень стандартизации и унификации управленческих и производственных процедур в организации;

• степень физических различий в деятельности.

В межотраслевых методических материалах по совершенствованию организационных структур управления предприятий и производственных объединений приводятся нормы управляемости:

• для руководителей организаций и их первых заместителей – не более 10–12 чел. (подразделений);

• для функциональных отделов – не менее 7—10 чел.;

• для функциональных бюро – не менее 4–6 чел.;

• для конструкторских и технологических отделов – 15–20 чел.;

• для конструкторских и технологических бюро – 7—10 чел.

Должность заместителя руководителя подразделения вводится, как правило, при превышении нормы управляемости в 1,5 раза.

На потребность в персонале оказывает влияние организационная структура фирмы: линейная, линейно-штабная, функциональная, программно-целевая, матричная, дивизиональная, которая, в свою очередь, зависит от принципиальных подходов к разделению и организации труда. Факторы, определяющие структуру организации, могут быть и объективными, отражающими специфику производства и применяемой техники и технологии, могут быть и субъективными, отражающими личный потенциал руководителя и его команды.

Рассмотрим некоторые примеры расчета численности персонала.

Пример 1.Планирование численности персонала организации на основе прогноза изменения интенсивности труда.

Исходные данные (результаты текущего года, определяющие численность персонала):

• число лифтов на обслуживании – 10 252;

• общее число производительных часов, отработанных на обслуживании лифтов, – 218 000 (полезный фонд времени);

• численность работников: производственные (механики) – 145, непроизводственные – 16.

Прогноз на следующий год:

• норма времени на обслуживание одного лифта увеличивается на 15 %;

• эффективность использования рабочего времени (фонд полезного времени каждого механика) возрастет на 10 %;

• портфель заказов останется неизменным;

• соотношение между производственным и непроизводственным персоналом не изменится.

Расчет нормативов текущего года:

• затраты времени на обслуживание одного лифта = 218 000 / 10 252 = 21,3 ч;

• фонд производительного времени одного механика = 218 000 / 145 = 1503 ч;

• соотношение численности производительных и непроизводительных работников = 145 / 16 = 9,1.

С учетом прогноза рассчитывается потребность в персонале на будущий год:

Читать дальше
Тёмная тема
Сбросить

Интервал:

Закладка:

Сделать

Похожие книги на «Управление персоналом: учебное пособие»

Представляем Вашему вниманию похожие книги на «Управление персоналом: учебное пособие» списком для выбора. Мы отобрали схожую по названию и смыслу литературу в надежде предоставить читателям больше вариантов отыскать новые, интересные, ещё непрочитанные произведения.


Отзывы о книге «Управление персоналом: учебное пособие»

Обсуждение, отзывы о книге «Управление персоналом: учебное пособие» и просто собственные мнения читателей. Оставьте ваши комментарии, напишите, что Вы думаете о произведении, его смысле или главных героях. Укажите что конкретно понравилось, а что нет, и почему Вы так считаете.

x