Владимир Спивак - Управление персоналом - учебное пособие

Здесь есть возможность читать онлайн «Владимир Спивак - Управление персоналом - учебное пособие» — ознакомительный отрывок электронной книги совершенно бесплатно, а после прочтения отрывка купить полную версию. В некоторых случаях можно слушать аудио, скачать через торрент в формате fb2 и присутствует краткое содержание. Год выпуска: 2010, ISBN: 2010, Издательство: Array Литагент «Эксмо», Жанр: management, Прочая научная литература, на русском языке. Описание произведения, (предисловие) а так же отзывы посетителей доступны на портале библиотеки ЛибКат.

Управление персоналом: учебное пособие: краткое содержание, описание и аннотация

Предлагаем к чтению аннотацию, описание, краткое содержание или предисловие (зависит от того, что написал сам автор книги «Управление персоналом: учебное пособие»). Если вы не нашли необходимую информацию о книге — напишите в комментариях, мы постараемся отыскать её.

В книге рассматриваются основные темы, которые входят в программу курса «Управление персоналом». В частности, раскрываются такие вопросы, как теория управления, методы и технологии управления кадрами, планирование карьеры, подбор и оценка персонала, адаптация и обучение сотрудников, мотивация труда, развитие трудового потенциала менеджеров и работников.
Учебное пособие подготовлено в соответствии с требованиями Государственного образовательного стандарта высшего профессионального образования.
Для студентов экономических факультетов вузов, а также тех, кто изучает данный предмет самостоятельно.

Управление персоналом: учебное пособие — читать онлайн ознакомительный отрывок

Ниже представлен текст книги, разбитый по страницам. Система сохранения места последней прочитанной страницы, позволяет с удобством читать онлайн бесплатно книгу «Управление персоналом: учебное пособие», без необходимости каждый раз заново искать на чём Вы остановились. Поставьте закладку, и сможете в любой момент перейти на страницу, на которой закончили чтение.

Тёмная тема
Сбросить

Интервал:

Закладка:

Сделать

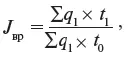
Индекс затрат рабочего времени ( J вр) отражает снижение затрат рабочего времени (трудоемкости) на единицу продукции и рассчитывается по формуле:

Управление персоналом учебное пособие - изображение 97

где картинка 98 – объем продукции, произведенной в отчетном периоде в соответствующих единицах измерения;

t 0 и t 1 – затраты времени на единицу продукции в базовом и отчетном периодах.

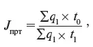
Индекс производительности труда ( J ПРТ) – это величина, обратная индексу затрат рабочего времени, рассчитываемая по формуле:

где объем продукции произведенной в отчетном периоде в соответствующих - фото 99

где картинка 100– объем продукции, произведенной в отчетном периоде, в соответствующих единицах измерения;

t 0 и t 1 – затраты рабочего времени соответственно в базовом и отчетном периодах на единицу продукции.

Для определения изменения производительности труда широко применяется индекс - фото 101

Для определения изменения производительности труда широко применяется индекс, основанный на сопоставлении выработки продукции на одного работника в отчетном и базовом периодах, в денежном выражении в сопоставимых ценах:

где q 0 и q i – объем продукции в натуральном выражении соответственно в базовом и отчетном периодах;

Ц – сопоставимая цена (норматив чистой продукции) на единицу продукции;

Р 0 и Р 1 – среднесписочная численность в базовом и отчетном периодах;

В 0 и В 1 – выработка товарной (валовой) продукции в сопоставимых ценах предприятия на одного работника промышленно-производственного персонала (или рабочего) соответственно в базовом и отчетном периодах.

Примечания

1

Проблемы теории и практики управления. 1990. № 6. С. 108.

2

Файоль А., Эмерсон Г., Тейлор Ф., Форд Г. Управление – это наука и искусство. М.: Республика, 1992. С. 12–13.

3

Дятлов С. А. Основы теории человеческого капитала. СПб.: Изд-во СПбУЭФ, 1994.С. 17.

4

Там же. С. 83.

5

Там же. С. 115.

6

Маркс К. (1818–1883) – мыслитель и общественный деятель, основоположник марксизма. Разработал принципы материалистического понимания истории, теорию прибавочной стоимости, исследовал развитие капитализма и выдвинул положение о неизбежности его гибели и перехода к коммунизму. Идеи Маркса оказали значительное влияние на социальную мысль и историю общества конца XIX – всего XX в., постоянно находят новых сторонников и являются предметом изучения (Большой энциклопедический словарь).

7

Сэй Ж.-Б. (1767–1832) – французский экономист, сторонник свободной торговли и невмешательства государства в экономическую жизнь, один из авторов теории факторов производства. Сформулировал так называемый закон рынка, полагая, что обмен продуктов автоматически ведет к равновесию между куплей и продажей. – Там же.

8

Управление персоналом организации: Учеб. / Под ред. А. Я. Кибанова. М.: ИНФРА-М, 2002. С. 79.

9

Управление социалистическим производством (Организация. Экономика): Словарь / Под ред. О. В. Козловой. М.: Экономика, 1983. С. 102–105.

10

Управление персоналом организации: Учеб. / Под ред. А. Я. Кибанова. М.: ИНФРА-М, 2002. С. 70.

11

Управление человеческими ресурсами / Под ред. М. Пула, М. Уорнера. СПб.: Питер, 2002. С. 339.

12

Управление персоналом организации: Учеб. / Под ред. А. Я. Кибанова. М.: ИНФРА-М, 2002. С. 56.

13

Там же. С. 55.

14

Шаталова Н. И. Трудовой потенциал работника. М.: ЮНИТИ-ДАНА, 2003. С. 7.

15

Там же. С. 16.

16

Якокка Ли. Карьера менеджера. Минск: Парадокс, 1996. С. 200.

17

См., напр.: Методические рекомендации по оценке сложности и качества работы специалистов / Под ред. В. Х. Педро. М.: Экономика, 1989.

18

Экономика труда / Под ред. Н. А. Горелова. СПб.: Питер, 2007. С. 209.

19

Чемеков В. П. Грейдинг: технология построения системы управления персоналом. М.: Вершина, 2007. С. 87.

20

Там же. С. 82.

21

Армстронг М. Практика управления человеческими ресурсами. СПб.: Питер, 2005. С. 276–277.

Читать дальше
Тёмная тема
Сбросить

Интервал:

Закладка:

Сделать

Похожие книги на «Управление персоналом: учебное пособие»

Представляем Вашему вниманию похожие книги на «Управление персоналом: учебное пособие» списком для выбора. Мы отобрали схожую по названию и смыслу литературу в надежде предоставить читателям больше вариантов отыскать новые, интересные, ещё непрочитанные произведения.


Отзывы о книге «Управление персоналом: учебное пособие»

Обсуждение, отзывы о книге «Управление персоналом: учебное пособие» и просто собственные мнения читателей. Оставьте ваши комментарии, напишите, что Вы думаете о произведении, его смысле или главных героях. Укажите что конкретно понравилось, а что нет, и почему Вы так считаете.

x