Пауль Наторп - Избранные работы

Здесь есть возможность читать онлайн «Пауль Наторп - Избранные работы» — ознакомительный отрывок электронной книги совершенно бесплатно, а после прочтения отрывка купить полную версию. В некоторых случаях можно слушать аудио, скачать через торрент в формате fb2 и присутствует краткое содержание. Город: Москва, Год выпуска: 2006, ISBN: 2006, Издательство: Array Литагент «Территория будущего», Жанр: psy_generic, foreign_edu, Философия, на русском языке. Описание произведения, (предисловие) а так же отзывы посетителей доступны на портале библиотеки ЛибКат.

Избранные работы: краткое содержание, описание и аннотация

Предлагаем к чтению аннотацию, описание, краткое содержание или предисловие (зависит от того, что написал сам автор книги «Избранные работы»). Если вы не нашли необходимую информацию о книге — напишите в комментариях, мы постараемся отыскать её.

Настоящее издание составлено из дореволюционных переводов Пауля Наторпа. В него тем не менее не вошли (в силу ограниченного объема издания) ряд других существующих русских переводов. Важнейшим из них является уже упоминавшаяся «Социальная педагогика». На русский язык была переведена также книга о Песталоцци и работа по логическому обоснованию математики и математического естествознания. Лучшим введением в круг идей марбургских неокантианцев на русском языке до сих пор остается, на наш взгляд, соответствующий раздел в цитировавшейся книге грузинского философа Константина Спиридоновича Бакрадзе. Из немецких источников можно рекомендовать обобщающую работу о неокантианстве Ганса Людвига Олига, а среди значительных исторических исследований – книгу Клауса Христина Кёнке о возникновении неокантианства.

Избранные работы — читать онлайн ознакомительный отрывок

Ниже представлен текст книги, разбитый по страницам. Система сохранения места последней прочитанной страницы, позволяет с удобством читать онлайн бесплатно книгу «Избранные работы», без необходимости каждый раз заново искать на чём Вы остановились. Поставьте закладку, и сможете в любой момент перейти на страницу, на которой закончили чтение.

Тёмная тема
Сбросить

Интервал:

Закладка:

Сделать

§ 11. Сложные формы суждений

Из указанной выше основной формы суждения легко можно вывести традиционно различаемые в логике виды суждений. Так, исходя из простой основной схемы суждения (§ 9)

можно дать представление о так называемом синтетическом суждении - фото 2

можно дать представление о так называемом «синтетическом» суждении, последовательно определяя те же самые данные х 1, х 2… целым рядом предикатов а, Ь… и соединяя затем эти различные определения в некоторое единство в новом акте суждения. Так получается схема:

Возникающее таким образом понятие характеризуемое рядом вернее сплетением - фото 3

Возникающее, таким образом, понятие, характеризуемое рядом, вернее, сплетением (комликацией) определений (признаков), называется сложным понятием (получаемым деятельностью синтеза содержания).

Через обращение (Umkehrung) синтетического суждения, т. е. через обратное разложение сложного понятия (комплекса признаков) на его единичные признаки (анализ содержания), возникает так называемое аналитическое суждение. Схема его:

Напротив если одним и тем же признаком например а определяется сперва одно - фото 4

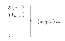
Напротив, если одним и тем же признаком, например а, определяется сперва одно, потом другое данное – х, у…, то через соединение таких различных суждений в одном новом получается простая основная форма суждения подчинения:

Схема эта изображает объединение объема синтез объема подобно тому как - фото 5

Схема эта изображает объединение объема (синтез объема), подобно тому, как компликация изображала объединение содержания (синтез содержания). Синтезу объема противополагается деление объема, а синтезу содержания – деление содержания. Через комбинацию суждения подчинения с синтетическим суждением получаются более сложные формы подчинения под более общие понятия, например:

Здесь ряд х, у, z… означает объем, а ряд а, Ь, с… – содержание сложного понятия; поэтому на основании этих формул могут быть представлены также и все вообще отношения между объемом и содержанием (понятий).

На основании этих отношений, а главным образом отношений подчинения понятий, становится ясным значение понятий подчиняющих, соподчиненных и подчиненных, тождественных, равнозначащих, перекрещивающихся, разобщенных и несоединимых, а также деление понятий по родам и видам, равно как и правила определения, т. е. важнейшие учения школьной логики о понятии (см. особенно Ubeiweg-Meyer, System der Logik).

§ 12. Количество суждения и количественный синтез

Исходя из основной функции синтетического единства можно понять смысл количества и качества суждения. Синтетическое единство есть единство многообразного, основывающееся на единстве той точки зрения, с которой это многообразное воспринимается и связывается. Многообразное, мыслимое только как таковое, представляет собой множество. Это последнее предполагает единство в смысле единичности, потому что оно выражает повторяющееся полагание одного, еще одного и т. д. Но этот ряд полаганий, сам по себе допускающий неопределенную продолжаемость, требует соответственно самой природе синтетического единства, как единства определения, завершения в некотором новом единстве. Так получается третий способ количественного постижения многообразного – (составная) общность (Allheit) или сумма, объединяющая многие единицы в одном множестве. Этим трем ступеням количественного синтеза (единичность, множество, общность в смысле суммы) соответствуют три рода суждений: единичные, множественные и всеобщие (правильнее – суммативные) суждения.

Закономерная деятельность количественного синтеза получила совершенно своеобразное научное выражение в числе, основывающемся на тех же трех моментах: на полагании численно единого, на возможности неограниченного перехода от одного к еще одному и т. д., т. е. на неопределенном множестве, и на образовании замкнутого числа или определенного множества. Но так как деятельность счисления, состоящая в получении количества (Quantum) через объединение многих единиц в одно множество, коренится в основной функции синтетического единства и только выражает саму эту функцию в отношении количества (т. е. того многообразного, которое в нем подлежит объединению), то эта деятельность находится в нашем распоряжении не на один или на несколько раз, но раз навсегда и, следовательно, представляет собой один из безусловно основных методов познания. Это особенно выражается в бесконечности и бесконечной делимости числа. Но из этого способа выведения числа вытекает в то же время и его прерывность (дискретность числа), т. е. невозможность мыслить переход от количества (Quantum) к количеству в непрерывной связи, потому что именно указанным способом, т. е. лишь через суммирование единств, в свою очередь заключающих в себе множественность, происходит этот переход в бесконечность, другими словами – переход этот совершается скачками, не непрерывно.

Читать дальше
Тёмная тема
Сбросить

Интервал:

Закладка:

Сделать

Похожие книги на «Избранные работы»

Представляем Вашему вниманию похожие книги на «Избранные работы» списком для выбора. Мы отобрали схожую по названию и смыслу литературу в надежде предоставить читателям больше вариантов отыскать новые, интересные, ещё непрочитанные произведения.


Отзывы о книге «Избранные работы»

Обсуждение, отзывы о книге «Избранные работы» и просто собственные мнения читателей. Оставьте ваши комментарии, напишите, что Вы думаете о произведении, его смысле или главных героях. Укажите что конкретно понравилось, а что нет, и почему Вы так считаете.