Valeryй Asadov - Dynamic temporary physics

Здесь есть возможность читать онлайн «Valeryй Asadov - Dynamic temporary physics» — ознакомительный отрывок электронной книги совершенно бесплатно, а после прочтения отрывка купить полную версию. В некоторых случаях можно слушать аудио, скачать через торрент в формате fb2 и присутствует краткое содержание. ISBN: , Жанр: Прочая научная литература, Физика, на английском языке. Описание произведения, (предисловие) а так же отзывы посетителей доступны на портале библиотеки ЛибКат.

Dynamic temporary physics: краткое содержание, описание и аннотация

Предлагаем к чтению аннотацию, описание, краткое содержание или предисловие (зависит от того, что написал сам автор книги «Dynamic temporary physics»). Если вы не нашли необходимую информацию о книге — напишите в комментариях, мы постараемся отыскать её.

The Quantum geophysics of Earth which obyesnyat expansion of Earth is created. There is a temporary mass defect of the 1st and 2nd sort which are similar, to a nuclear mass defect, but it is softer (and it isn’t destructive) on the action, and on power is 2—3 orders more powerful. If to create computer model that can be predicted and to precisely count the power and time of eruption of volcanoes and earthquakes.

Dynamic temporary physics — читать онлайн ознакомительный отрывок

Ниже представлен текст книги, разбитый по страницам. Система сохранения места последней прочитанной страницы, позволяет с удобством читать онлайн бесплатно книгу «Dynamic temporary physics», без необходимости каждый раз заново искать на чём Вы остановились. Поставьте закладку, и сможете в любой момент перейти на страницу, на которой закончили чтение.

Тёмная тема
Сбросить

Интервал:

Закладка:

Сделать

Under the formula (10)

The formula 10 Dependence of mass of a proton on Universe mass The Universe - фото 14

The formula 10. Dependence of mass of a proton on Universe mass.

The Universe and proton mass is interconnected, the mass a proton the Universe mass is so incremented how much decreases. The constant – g, is a constant, product of masses of a proton and the Universe =3,10803*1033 грамм^2

=Tgr=1 second is one and too value,

Мо – Universe mass. =1,857*1057 gramme. – ml mass планкеона (proton) – 1,539*10—5 gramme.

Dirac constant. A c-velocity of light.

Time of a birth of the Universe. t=7,6234*10—44 second

Gravity constant. y=6,6719677*10—8 sm^3/грамм*сек^2

g – a reproduction constant. =3,10803*1033 грамм^2

T – the Age of the Universe pays off under the formula – (2),

mp – proton mass – 1,672*10—24 gramme.

At first планкеоны are manifolded, without changing the mass and the sizes, but it only till 1st second after a birth. After 1 second of the formula of physics change. Mass reduction планкеона under the formula (2) it already from now on begins there is a proton, and also its density decreases and its radius is incremented. To 1 сек, from the moment of a Universe birth there was only one type of particles is планкеоны, others were not any (планкеон it is conventional as though a proton + an electron). About 1 second планкеоны were transmuted into protons and electrons, and also there was one more type of a particle is an excited particle – a neutron and other particles (all particles existing now leptons, mesons, baryons, it is one excited particle, only differently raised). The proton began to decrease in mass with Ml=1,539*10—5 gramme to Mp=1,672*10—24 gramme, and will decrease further as electrons and excited particles decrease in mass. The Universe represents “a black hole”, therefore the formula represents its radius.

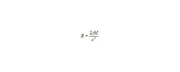
The radius formula black holes Involved R the Radius black holes is - фото 15

The radius formula black holes. Involved.

R – the Radius black holes, is radius of our Universe.

M – Mass of our Universe. g – gravity constant.

With – Light speed.

Our Universe has the ball shape, bidimensional sphere. It has a clear boundary, the accurate sizes, certain mass which is constantly incremented. And the substantive provision is that our Universe is “a black hole” in the major Universe, and that “black holes” are also fundamental particles. Also that “black holes” this normal, natural and daily phenomenon in the physicist of our life.

And if we take the density formula p=M/V, we will substitute there radius black holes in volume we will gain the first cosmological formula (relation).

What is that the Universe density depends only on one quantity, from masses of the Universe and does not depend on volume and radius. And if in this formula to substitute

(21) we will gain the second cosmological relation, where density where the density depends only on Universe radius.

The formula 21 Mass планкеона Involved The second cosmological relation - фото 16

The formula 21. Mass планкеона. Involved.

The second cosmological relation where the Universe density depends on Universe - фото 17

The second cosmological relation where the Universe density depends on Universe radius.

Further we substitute instead of radius the velocity increased for time,

Further we substitute instead of radius the velocity increased for time That - фото 18

Further we substitute instead of radius the velocity increased for time,

That we will gain the third cosmological relation through time where the Universe density depends only on age of the Universe.

Density of the Universe expressed through a stationary value of Hubble, we will gain if in

The third cosmological relation Universe density through age of the Universe - фото 19

The third cosmological relation. Universe density through age of the Universe.

The formula (5). We will substitute instead of time Hubble’s stationary value – T=1/H the formula (23):

The density of the Universe expressed through a stationary value of Hubble.

Universe density expressed through Hubbles stationary value or otherwise - фото 20

Universe density expressed through Hubble’s stationary value, or otherwise critical density of the Universe.

Also that interesting this formula is terrain clearance is identical to the formula of critical density of the Universe gained absolutely some other way. The formula (another) of critical density of the Universe

I will give a deduction of this formula in a modern physics that to you it was clear and clear, odds in a procedure of the approach and thinking of a modern physics and Н. Д. V.F.Iz of the book of Novikova. И.Д. “Universe Evolution”

“It is simple to spot this critical value of density. Really, it is known that escape velocity for M ball in mass registers the following an expedient: v = √ 2*g*M/R.

(13)

Substituting in (13) expressions for mass M = ρ*4/3 * π*R3, and instead of velocity v=H*R, we find H*R = √ (8*g * π/3) * ρR2, or, expressing from here density ρ,

(14)

So, critical value medial densities in the Universe depends on Hubble’s Н=75 Hubble N.Pri’s stationary value of a stationary value кмсек*Мпс, for critical density is gained ρ =10 g/sm*10—29”

Аналгичной that formula which we have gained in dynamic physicists. The Universe it “a black hole”. Also we will start to apply this formula actively. I cite, for involuntary acknowledgement of thoughts of the author:

Конец ознакомительного фрагмента.

Текст предоставлен ООО «ЛитРес».

Прочитайте эту книгу целиком, купив полную легальную версию на ЛитРес.

Безопасно оплатить книгу можно банковской картой Visa, MasterCard, Maestro, со счета мобильного телефона, с платежного терминала, в салоне МТС или Связной, через PayPal, WebMoney, Яндекс.Деньги, QIWI Кошелек, бонусными картами или другим удобным Вам способом.

Тёмная тема
Сбросить

Интервал:

Закладка:

Сделать

Похожие книги на «Dynamic temporary physics»

Представляем Вашему вниманию похожие книги на «Dynamic temporary physics» списком для выбора. Мы отобрали схожую по названию и смыслу литературу в надежде предоставить читателям больше вариантов отыскать новые, интересные, ещё непрочитанные произведения.


Отзывы о книге «Dynamic temporary physics»

Обсуждение, отзывы о книге «Dynamic temporary physics» и просто собственные мнения читателей. Оставьте ваши комментарии, напишите, что Вы думаете о произведении, его смысле или главных героях. Укажите что конкретно понравилось, а что нет, и почему Вы так считаете.

x