Петр Силин - Некоторые аспекты оценки эффективности функционирования систем. Вторая редакция, исправленная и дополненная

Здесь есть возможность читать онлайн «Петр Силин - Некоторые аспекты оценки эффективности функционирования систем. Вторая редакция, исправленная и дополненная» — ознакомительный отрывок электронной книги совершенно бесплатно, а после прочтения отрывка купить полную версию. В некоторых случаях можно слушать аудио, скачать через торрент в формате fb2 и присутствует краткое содержание. ISBN: , Жанр: Прочая научная литература, на русском языке. Описание произведения, (предисловие) а так же отзывы посетителей доступны на портале библиотеки ЛибКат.

Некоторые аспекты оценки эффективности функционирования систем. Вторая редакция, исправленная и дополненная: краткое содержание, описание и аннотация

Предлагаем к чтению аннотацию, описание, краткое содержание или предисловие (зависит от того, что написал сам автор книги «Некоторые аспекты оценки эффективности функционирования систем. Вторая редакция, исправленная и дополненная»). Если вы не нашли необходимую информацию о книге — напишите в комментариях, мы постараемся отыскать её.

Предлагаемые к прочтению материалы посвящены таким вопросам, как оценка эффективности функционирования систем, оценка неопределенностей, возникающих в системе в процессе ее функционирования, оценка инерционных свойств объектов и систем.Материал изложен в легкодоступной форме и ориентирован на читателей, знакомых теоретически или на практике, в том числе и бытовой, с проблемами функционирования систем.

Некоторые аспекты оценки эффективности функционирования систем. Вторая редакция, исправленная и дополненная — читать онлайн ознакомительный отрывок

Ниже представлен текст книги, разбитый по страницам. Система сохранения места последней прочитанной страницы, позволяет с удобством читать онлайн бесплатно книгу «Некоторые аспекты оценки эффективности функционирования систем. Вторая редакция, исправленная и дополненная», без необходимости каждый раз заново искать на чём Вы остановились. Поставьте закладку, и сможете в любой момент перейти на страницу, на которой закончили чтение.

Тёмная тема
Сбросить

Интервал:

Закладка:

Сделать

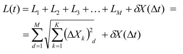
D)расстояние, пройденное субъектом от начала старта до настоящего момента L (t) с учетом алгоритма движения, характеризует текущую позицию субъекта в пространстве состояний. При этом каждый промежуточный этап до текущего состояния субъектом может быть пройден за свое время. Текущее значение пройденного расстояния может быть определено с помощью выражения (29):

выражение 29 где под символом см 151 понимается отрезок времени прошедший - фото 70

выражение 29

где под символом (см. 15/1) понимается отрезок времени, прошедший от начала выполнения текущего этапа под номером (М+1) до момента фиксации текущего значения пройденного расстояния, при том условии, что к моменту старта текущего этапа пройдено М этапов, а под символом (см. 16/1) понимается пройденный отрезок текущего этапа;

E)остаточное расстояние L (t) - , это расстояние, определяемое между текущей позицией субъекта и точкой финиша с учетом алгоритма движения, что может быть определено выражением (30):

выражение 30 Fвеличина смещения от трассы Этот показатель рассматривается в - фото 71

выражение 30

F)величина смещения от трассы. Этот показатель рассматривается в статье 3 в виде ошибки состояния. Этот показатель важен с той точки зрения, что перед объектом, в случае ухода с трассы, возникает необходимость либо вернуться на трассу из текущей точки, либо проложить измененную трассу. Все это в совокупности может привести к появлению непрогнозируемых задержек на трассе, либо к изменению условий движения объекта в пространстве состояний. Все эти факторы, в свою очередь, могут негативно сказаться на эффективности объекта.

1.7.2.2. Время.

В качестве временных (ударение на последний слог) показателей в дальнейшем будут использоваться:

прогнозируемое время операции T 0 . Для достижения цели (решения задачи) субъекту отводится некоторое время (иногда время решения задачи может совпадать с периодом жизнедеятельности объекта) либо собственной системой управления, либо вышестоящей системой управления (либо в результате их взаимодействия). Исходя из того, что общая дистанция подразделяется на несколько этапов, общее прогнозируемое время также может разбиваться на части, именуемые прогнозируемое время преодоления этапа T o d ;

действительное время достижения цели Т ц – это время, которое субъект действительно затрачивает (или затратил) на преодоление дистанции L (оценивается после решения поставленной задачи);

текущее время Т – время, прошедшее от начала старта по настоящий момент. Одновременно текущее время определяет остаток времени из отпущенного на проведение операции (прохождение этапа);

прогнозируемое время достижения цели из текущей точки Т п , которое определяется как время, необходимое для преодоления остатка пути до цели, если бы субъект продолжал двигаться с текущей скоростью;

разница между фактическим и прогнозируемым временем, обозначенная в соответствии со строкой 17 таблицы 1 (см. 17/1) достижения цели из текущей точки характеризует отклонение объекта от графика движения, вызванное различными причинами (инерция, эксцессы во время движения), поэтому время отклонение от графика движения имеет интегральный характер;

период жизнедеятельности Т ж для объектов, имеющих ограниченный срок существования, заканчивающийся разрушением или смертью, т.е. для одноразовых объектов, что верно и для биологических, объектов;

период активности Т а . Этот временной промежуток имеет смысл, если на решение задачи объект (субъект) тратит не все прогнозируемое время операции, а только его часть.

1.7.2.3. Скорость.

В качестве скоростных параметров будут применяться следующие:

прогнозируемая скорость движения к цели V 0 . Прогнозируемая скорость определяется как отношение длины дистанции L к прогнозируемому (планируемому) времени достижения цели (31):

выражение 31 ввиду того что трасса может быть разбита на несколько - фото 72

выражение 31

Читать дальше
Тёмная тема
Сбросить

Интервал:

Закладка:

Сделать

Похожие книги на «Некоторые аспекты оценки эффективности функционирования систем. Вторая редакция, исправленная и дополненная»

Представляем Вашему вниманию похожие книги на «Некоторые аспекты оценки эффективности функционирования систем. Вторая редакция, исправленная и дополненная» списком для выбора. Мы отобрали схожую по названию и смыслу литературу в надежде предоставить читателям больше вариантов отыскать новые, интересные, ещё непрочитанные произведения.


Отзывы о книге «Некоторые аспекты оценки эффективности функционирования систем. Вторая редакция, исправленная и дополненная»

Обсуждение, отзывы о книге «Некоторые аспекты оценки эффективности функционирования систем. Вторая редакция, исправленная и дополненная» и просто собственные мнения читателей. Оставьте ваши комментарии, напишите, что Вы думаете о произведении, его смысле или главных героях. Укажите что конкретно понравилось, а что нет, и почему Вы так считаете.

x