Петр Силин - Некоторые аспекты оценки эффективности функционирования систем. Вторая редакция, исправленная и дополненная

Здесь есть возможность читать онлайн «Петр Силин - Некоторые аспекты оценки эффективности функционирования систем. Вторая редакция, исправленная и дополненная» — ознакомительный отрывок электронной книги совершенно бесплатно, а после прочтения отрывка купить полную версию. В некоторых случаях можно слушать аудио, скачать через торрент в формате fb2 и присутствует краткое содержание. ISBN: , Жанр: Прочая научная литература, на русском языке. Описание произведения, (предисловие) а так же отзывы посетителей доступны на портале библиотеки ЛибКат.

Некоторые аспекты оценки эффективности функционирования систем. Вторая редакция, исправленная и дополненная: краткое содержание, описание и аннотация

Предлагаем к чтению аннотацию, описание, краткое содержание или предисловие (зависит от того, что написал сам автор книги «Некоторые аспекты оценки эффективности функционирования систем. Вторая редакция, исправленная и дополненная»). Если вы не нашли необходимую информацию о книге — напишите в комментариях, мы постараемся отыскать её.

Предлагаемые к прочтению материалы посвящены таким вопросам, как оценка эффективности функционирования систем, оценка неопределенностей, возникающих в системе в процессе ее функционирования, оценка инерционных свойств объектов и систем.Материал изложен в легкодоступной форме и ориентирован на читателей, знакомых теоретически или на практике, в том числе и бытовой, с проблемами функционирования систем.

Некоторые аспекты оценки эффективности функционирования систем. Вторая редакция, исправленная и дополненная — читать онлайн ознакомительный отрывок

Ниже представлен текст книги, разбитый по страницам. Система сохранения места последней прочитанной страницы, позволяет с удобством читать онлайн бесплатно книгу «Некоторые аспекты оценки эффективности функционирования систем. Вторая редакция, исправленная и дополненная», без необходимости каждый раз заново искать на чём Вы остановились. Поставьте закладку, и сможете в любой момент перейти на страницу, на которой закончили чтение.

Тёмная тема
Сбросить

Интервал:

Закладка:

Сделать

При снятии воздействия с объекта последний может или продолжить свободное (при отсутствии каких-либо воздействий) затухающее движение в параметрическом пространстве, или может произвести возвращение на исходные позиции или в направлении исходных позиций, поэтому, по всей видимости, величину инерционного (или коррекционного, или компенсирующего) смещения следует внести в качестве слагаемого в интегральный результат воздействия.

Следует отметить, что инерционное смещение, не сопровождающееся ускорением, может рассматриваться как процесс, если этого требует решаемая задача, но в других случаях, для удобства анализа, описание такого движения следует преобразовать в набор статичных параметров – изменение координат (в частности, евклидовых или географических) можно преобразовать в статичные скорости по направлениям.

Если объект испытывает множественные воздействия, то общая величина воздействия, равно как и их общий результат, будет определяться векторным сложением отдельных воздействий и результатов.

Если удается зафиксировать устойчивую связь между величиной воздействия и результатом воздействия в период непосредственного воздействия, то можно говорить о выявленной поведенческой функции объекта (6, 6.1):

выражение 6 выражение 61 Выражение 6 показывает что величина смещения - фото 23

выражение 6

выражение 61 Выражение 6 показывает что величина смещения объекта - фото 24

выражение 6.1

Выражение (6) показывает, что величина смещения объекта (обозначенная в соответствии со строкой 2 таблицы 1) в пространстве состояний за период непосредственного воздействия (обозначенного в соответствии со строкой 3 таблицы 1, далее по тексту будет просто указываться номер строки таблицы 1 в формате см. к/1, где к – номер строки, 1 – номер таблицы) по всем параметрам, по которым не происходит взаимодействия (N – M) , определяется всей совокупностью параметров M воздействия, по которой (совокупности параметров) происходит взаимодействие объекта и источника воздействия.

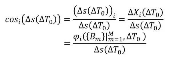
Это означает, что за период непосредственного воздействия, пока имеет место взаимный захват параметров-реципиентов объекта и соответствующих параметров источника воздействия, остальные параметры меняют свое состояние на величину, определяемой проекцией поведенческой функции на соответствующий параметр.

Величина направляющих косинусов смещения определяется проекциями поведенческой функции на соответствующие параметры объекта.

Если существует обратная функция для выражения (6), то выражение (7) определяет величину воздействия для параметра, которое обеспечит за период непосредственного воздействия (см. 3/1) по всем параметрам (N— M) необходимое смещение (см. 4/1) объекта:

выражение 7 В заключение раздела автор полагает необходимым ввести несколько - фото 25

выражение 7

В заключение раздела автор полагает необходимым ввести несколько дополнительных показателей:

1.Абсолютное единичное воздействие. Это воздействие, модуль вектора которого, исчисленный по всем параметрам, равен единице.

2.Действующее единичное воздействие. Это воздействие, модуль вектора которого, исчисленный по тем параметрам, по которым осуществляется взаимодействие между источником воздействия и объектом, равен единице.

3.Единичное параметрическое воздействие. Это проекция воздействия на параметр, по которому осуществляется воздействие, причем длина проекции равна единице шкалы измерения данного параметра. Очевидно, что если по всем M параметрам, поддерживающим взаимодействие, имеет место единичное параметрическое воздействие, то величина самого воздействия определяется выражением (8):

выражение 8 В отличие от воздействий из предыдущих двух пунктов которые могут - фото 26

выражение 8

В отличие от воздействий из предыдущих двух пунктов, которые могут быть получены в результате неограниченного количества комбинаций значений параметров, данный вид воздействия (8) имеет единственный вариант своего получения и, поэтому, в дальнейшем будет использоваться именно этот вариант, именуясь при этом либо обобщенное единичное параметрическое воздействие, либо единичное воздействие.

Читать дальше
Тёмная тема
Сбросить

Интервал:

Закладка:

Сделать

Похожие книги на «Некоторые аспекты оценки эффективности функционирования систем. Вторая редакция, исправленная и дополненная»

Представляем Вашему вниманию похожие книги на «Некоторые аспекты оценки эффективности функционирования систем. Вторая редакция, исправленная и дополненная» списком для выбора. Мы отобрали схожую по названию и смыслу литературу в надежде предоставить читателям больше вариантов отыскать новые, интересные, ещё непрочитанные произведения.


Отзывы о книге «Некоторые аспекты оценки эффективности функционирования систем. Вторая редакция, исправленная и дополненная»

Обсуждение, отзывы о книге «Некоторые аспекты оценки эффективности функционирования систем. Вторая редакция, исправленная и дополненная» и просто собственные мнения читателей. Оставьте ваши комментарии, напишите, что Вы думаете о произведении, его смысле или главных героях. Укажите что конкретно понравилось, а что нет, и почему Вы так считаете.

x