Константин Криничанский - Долг - состояние и тенденции

Здесь есть возможность читать онлайн «Константин Криничанский - Долг - состояние и тенденции» — ознакомительный отрывок электронной книги совершенно бесплатно, а после прочтения отрывка купить полную версию. В некоторых случаях можно слушать аудио, скачать через торрент в формате fb2 и присутствует краткое содержание. Город: Москва, Год выпуска: 2022, ISBN: 2022, Жанр: Прочая научная литература, popular_business, на русском языке. Описание произведения, (предисловие) а так же отзывы посетителей доступны на портале библиотеки ЛибКат.

Долг: состояние и тенденции: краткое содержание, описание и аннотация

Предлагаем к чтению аннотацию, описание, краткое содержание или предисловие (зависит от того, что написал сам автор книги «Долг: состояние и тенденции»). Если вы не нашли необходимую информацию о книге — напишите в комментариях, мы постараемся отыскать её.

Работа содержит всесторонний анализ структуры, функций, инструментов и участников долгового рынка. Авторы излагают как методологию анализа долга, так и современное состояние, а также тенденции долга. В работе находят отражение понятия и анализ долга в разрезе суверенного, национального, субнационального, корпоративного, публичного, частного, финансового, нефинансового долга, долга домохозяйств. Авторы опираются на широкий набор статистических данных от Всемирного банка, Международного валютного фонда, Банка международных расчетов, Федеральной резервной системы США, Банка России, рейтинговых агентств (S&P, АКРА и пр.), госкорпорации ДОМ,РФ и др. Исследованием охвачены десятки стран мира. Более пристальное внимание уделено вопросам управления долгом и надежности финансовых систем применительно к экономикам США, ЕС, России, КНР.
Монография предназначена для использования в преподавании в магистратуре и аспирантуре по таким дисциплинам, как современные финансовые рынки, анализ финансовых рынков, кризисы на финансовых рынках, государственные финансы, государственный долг, управление государственным (муниципальным) долгом, монетарное регулирование, национальная экономика, кредитные риски и др. Книга также будет интересна кругу специалистов, интересующихся ролью долга в современной экономике.
В формате PDF A4 сохранен издательский макет.

Долг: состояние и тенденции — читать онлайн ознакомительный отрывок

Ниже представлен текст книги, разбитый по страницам. Система сохранения места последней прочитанной страницы, позволяет с удобством читать онлайн бесплатно книгу «Долг: состояние и тенденции», без необходимости каждый раз заново искать на чём Вы остановились. Поставьте закладку, и сможете в любой момент перейти на страницу, на которой закончили чтение.

Тёмная тема
Сбросить

Интервал:

Закладка:

Сделать

Еще один показатель, используемый в исследованиях, посвященных долгу и долговым инструментам, – это дюрация. Дюрация вычисляется как средняя взвешенная величина сроков каждого из платежей, совершаемых эмитентом облигации в пользу инвестора, при условии, что в качестве весов при ее расчете принимаются суммы данных платежей, приведенные методом дисконтирования к текущему моменту времени [19] См.: Криничанский К.В. Рынок ценных бумаг: Учебное пособие. 2-е изд., перераб. и доп. М.: Дело и Сервис, 2010. С. 486. потребительского кредитования, состоянии и динамики рынка жилой недвижимости, динамики доходов домохозяйств и пр. . Таким образом, дюрация денежного потока зависит от величины процентной ставки и профиля данного потока (распределения платежей во времени). Как правило, заемщики (эмитенты долговых обязательств) заинтересованы в увеличении дюрации долга. Инвесторы смотрят на дюрацию как на важный параметр риска и управляют дюрацией своего портфеля в зависимости от ожиданий по процентной ставке.

Кроме рассмотренных параметров интерес могут представлять показатели доли долга определенного сектора в общей массе долга нефинансового сектора, поскольку размер этой доли может указывать на определенную модель экономики той или иной страны и заострять внимание на тенденциях именно в данном секторе. Так, например, страна с высокой (преобладающей) долей долга домохозяйств, вероятно, является сильно ориентированной на внутренний спрос, а анализ долга применительно к данной стране должен обязательно концентрироваться на вопросах здоровья ипотечного рынка и рынка

1.1.4. Показатели устойчивости и тяготы долга

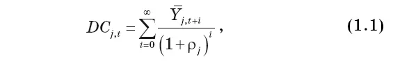
Рассмотрение индикаторов устойчивости долга начнем с показателя долгового потенциалаили долговой емкости ( debt capacity, DC ). Выражение “debt capacity” можно встретить в ряде исследований, хотя не везде оно специфицировано так, чтобы его можно было однозначно интерпретировать и производить вычисления данного показателя. В настоящей работе мы опираемся на широко цитируемое исследование Л. Бутильоне с соавт. (2014) [20] Buttiglione L., Lane P., Reichlin L., Reinhart V. Deleveraging, what deleveraging? Geneva Report on the World Economy No. 16, 2014. CEPR Press. URL: https://cepr.org/sites/default/files/news/Geneva16_0.pdf (дата обращения 05.09.2020). . Для определения долгового потенциала страны авторы предлагают отталкиваться от экономического потенциала, создаваемого в виде добавленной стоимости, то есть от ВВП (это согласуется с соответствующими положениями параграфа 1.1.2). Вместе с тем, сам по себе ВВП представляет собой показатель потока, и его применение как индикатора веса не решает задачи определения потенциала долга или долговой емкости. Требуется преобразовать данный индикатор из показателя потока в показатель запаса. Соответствующее преобразование предлагается делать, используя известную из анализа ценных бумаг (обыкновенных акций) модель Гордона [21] См., например: Криничанский К.В. Рынок ценных бумаг: Учебное пособие. 2-е изд., перераб. и доп. М.: Дело и Сервис, 2010, п. 9.4.2. .

Положим, что величина номинального ВВП j -й страны в момент времени t равна Y j , t . Зададим ставку дисконтирования ρ j , которая соответствует кредитному рейтингу рассматриваемой страны, удовлетворяет условиям ставки требуемой доходности для инвесторов, готовых приобретать порции нового долга данной страны, а также является постоянной для всех будущих периодов. Тогда долговой потенциал (DC) этой страны в соответствующий момент времени без учета роста ВВП должен быть рассчитан по формуле чистой приведенной стоимости:

где Y j t i потенциальный ВВП j й страны в момент времени t i i шаг - фото 2

где Y j , t + i – потенциальный ВВП j -й страны в момент времени t + i; i – шаг времени.

Далее введем в модель параметр ожидаемого темпа роста ВВП, обозначив его применительно к данной стране как φ j . Если этот параметр вводится как постоянный для обозримого будущего, то формула (1.1) преобразуется к виду:

Показатель долгового потенциала может найти разные применения в вопросах - фото 3

Показатель долгового потенциала может найти разные применения в вопросах анализа долга и долговых проблем. Рассматривая вопрос с позиции эмитентов долга, уместно видеть использование данного показателя как ориентира при выстраивании осмотрительной и осторожной долговой политики, при которой размеры долга не превышали бы возможности экономики создавать доходы, достаточные для его обслуживания. Изучая проблемы инвестиционных решений, показатель долгового потенциала также крайне востребован, поскольку с его помощью (и с помощью составляющих его компонентов) можно отследить, например, насколько адекватной является рыночная оценка долговых обязательств того или иного правительства, и нет ли противоречий между этой оценкой и оценками, делаемыми кредитными рейтинговыми агентствами.

Читать дальше
Тёмная тема
Сбросить

Интервал:

Закладка:

Сделать

Похожие книги на «Долг: состояние и тенденции»

Представляем Вашему вниманию похожие книги на «Долг: состояние и тенденции» списком для выбора. Мы отобрали схожую по названию и смыслу литературу в надежде предоставить читателям больше вариантов отыскать новые, интересные, ещё непрочитанные произведения.


Константин Рокоссовский - Солдатский долг
Константин Рокоссовский
Отзывы о книге «Долг: состояние и тенденции»

Обсуждение, отзывы о книге «Долг: состояние и тенденции» и просто собственные мнения читателей. Оставьте ваши комментарии, напишите, что Вы думаете о произведении, его смысле или главных героях. Укажите что конкретно понравилось, а что нет, и почему Вы так считаете.

x