Константин Ефанов - Теория расчета нефтяных аппаратов высокого давления [litres самиздат]

Здесь есть возможность читать онлайн «Константин Ефанов - Теория расчета нефтяных аппаратов высокого давления [litres самиздат]» — ознакомительный отрывок электронной книги совершенно бесплатно, а после прочтения отрывка купить полную версию. В некоторых случаях можно слушать аудио, скачать через торрент в формате fb2 и присутствует краткое содержание. Год выпуска: 2021, Издательство: Array SelfPub.ru, Жанр: Математика, Технические науки, network_literature, на русском языке. Описание произведения, (предисловие) а так же отзывы посетителей доступны на портале библиотеки ЛибКат.

Теория расчета нефтяных аппаратов высокого давления [litres самиздат]: краткое содержание, описание и аннотация

Предлагаем к чтению аннотацию, описание, краткое содержание или предисловие (зависит от того, что написал сам автор книги «Теория расчета нефтяных аппаратов высокого давления [litres самиздат]»). Если вы не нашли необходимую информацию о книге — напишите в комментариях, мы постараемся отыскать её.

Монография по теории расчета нефтяных аппаратов (оболочек корпусов). Рассмотрены трехмерная и осесимметричная задачи теории упругости, реализация расчета методом конечных элементов. Написана для обмена опытом между специалистами. Предназначается для специалистов по разработке конструкций нефтяного статического оборудования (емкостей, колонн и др.) проектных институтов, научно-исследовательских институтов, заводов нефтяного машиностроения, инжиниринговых компаний, профессорско-преподавательского состава технических университетов.

Теория расчета нефтяных аппаратов высокого давления [litres самиздат] — читать онлайн ознакомительный отрывок

Ниже представлен текст книги, разбитый по страницам. Система сохранения места последней прочитанной страницы, позволяет с удобством читать онлайн бесплатно книгу «Теория расчета нефтяных аппаратов высокого давления [litres самиздат]», без необходимости каждый раз заново искать на чём Вы остановились. Поставьте закладку, и сможете в любой момент перейти на страницу, на которой закончили чтение.

Тёмная тема
Сбросить

Интервал:

Закладка:

Сделать
Перемещения должны описываться уравнениями 2 Для поиска напряжений - фото 26

Перемещения должны описываться уравнениями [2]:

Для поиска напряжений уравнения напряжений теории упругости преобразуют из - фото 27

Для поиска напряжений, уравнения напряжений теории упругости преобразуют из прямоугольных (декартовых) в цилиндрические координаты.

Записывают уравнение [2]:

После выкладок получается 2 При подстановки записанных уравнений для - фото 28

После выкладок получается [2]:

При подстановки записанных уравнений для напряжений в записанные выше уравнения - фото 29

При подстановки записанных уравнений для напряжений в записанные выше уравнения статического равновесия выделенного элемента, последние обращаются в тождества [2].

Безухов [2,с.180] при рассмотрении задачи Ламе записывает граничные условия и ссылается на формулы для плоской задачи теории упругости [2,с.138], полученные для напряжений, распределенных симметрично относительно оси. Процитируем графику для плоской задачи [2,с.136]:

Для этой графики Безухов некорректно указывает что касательные напряжения по - фото 30

Для этой графики Безухов некорректно указывает, что касательные напряжения по определенным граням равны нулю. На некорректность этого утверждения для случая осесимметричной задачи аргументы были приведены выше автором настоящей работы.

Безухов записывает формулы для напряжений [2]:

Из этих уравнений приняв В 0 получается 2с180 Из граничных условий - фото 31

Из этих уравнений, приняв В = 0, получается [2,с.180]:

Из граничных условий получается Результат в виде формул получил - фото 32

Из граничных условий

получается Результат в виде формул получился таким же как и в литературе по - фото 33

получается:

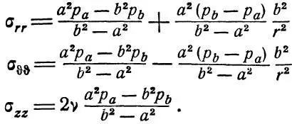
Результат в виде формул получился таким же как и в литературе по сопротивлению - фото 34 Результат в виде формул получился таким же как и в литературе по сопротивлению - фото 35

Результат в виде формул получился таким же как и в литературе по сопротивлению материалов, например, в учебниках Беляева Н.М. [6,с.609] и Ильюшина [7,с.176]. Но в сопротивлении материалов формулы выводятся по-другому. Особенностью изложения Беляевым является подчеркивание универсальности теории упругости и применение полученных формул для толстостенных сосудов к расчету тонкостенных сосудов.

Процитируем графику из работы Ильюшина [7,с.177]:

Ильюшин записывает известные уравнения 7с178 Уравнение равновесия - фото 36

Ильюшин записывает известные уравнения [7,с.178]:

Уравнение равновесия 7с178 И затем после промежуточных выкладок находит - фото 37

Уравнение равновесия [7,с.178]:

И затем после промежуточных выкладок находит три напряжения 7с179 Как - фото 38

И затем после промежуточных выкладок находит три напряжения [7,с.179]:

Как видно формулы совпадают с полученными Безуховым однако выведены другим - фото 39

Как видно, формулы совпадают с полученными Безуховым, однако выведены другим путем.

Для случая пластического состояния материала стенки уравнение равновесия при внутреннем давлении Ильюшин записал [7,с.182]:

Формулы для деформаций и напряжений полой трубы при пластической деформации - фото 40

Формулы для деформаций и напряжений полой трубы при пластической деформации имеют более сложный вид, выводятся по-другому и приведены подробно в работе Ильюшина [8,с.144].

Папкович в работе [9] указывает, что для длинного цилиндра посередине будет плоское напряженное состояние. На этом основании, по-видимому, в литературе по теории упругости, например [2], при рассмотрении задачи Ламе производится рассмотрение плоской задачи и вывод формул по соответствующему пути. Несмотря на то, что в этой же литературе приведены формулы для осесимметричной задачи.

Такой подход является по существу некорректным. Необходимо применять трехмерную задачу, лишенную, по-видимому, указанных недостатков.

Читать дальше
Тёмная тема
Сбросить

Интервал:

Закладка:

Сделать

Похожие книги на «Теория расчета нефтяных аппаратов высокого давления [litres самиздат]»

Представляем Вашему вниманию похожие книги на «Теория расчета нефтяных аппаратов высокого давления [litres самиздат]» списком для выбора. Мы отобрали схожую по названию и смыслу литературу в надежде предоставить читателям больше вариантов отыскать новые, интересные, ещё непрочитанные произведения.


Константин Ефанов - Блоки нефтяных аппаратов
Константин Ефанов
Константин Ефанов - Теория коробчатых оболочек
Константин Ефанов
Отзывы о книге «Теория расчета нефтяных аппаратов высокого давления [litres самиздат]»

Обсуждение, отзывы о книге «Теория расчета нефтяных аппаратов высокого давления [litres самиздат]» и просто собственные мнения читателей. Оставьте ваши комментарии, напишите, что Вы думаете о произведении, его смысле или главных героях. Укажите что конкретно понравилось, а что нет, и почему Вы так считаете.

x