Марк Алданов - Истоки

Здесь есть возможность читать онлайн «Марк Алданов - Истоки» весь текст электронной книги совершенно бесплатно (целиком полную версию без сокращений). В некоторых случаях можно слушать аудио, скачать через торрент в формате fb2 и присутствует краткое содержание. Жанр: Историческая проза, на русском языке. Описание произведения, (предисловие) а так же отзывы посетителей доступны на портале библиотеки ЛибКат.

Истоки: краткое содержание, описание и аннотация

Предлагаем к чтению аннотацию, описание, краткое содержание или предисловие (зависит от того, что написал сам автор книги «Истоки»). Если вы не нашли необходимую информацию о книге — напишите в комментариях, мы постараемся отыскать её.

В большей степени, чем любое другое произведение Алданова, «Истоки» связаны с русским историческим романом XIX века. Но современник Соловков и Хиросимы, Алданов по-новому интерпретирует известные события русской и европейской истории 1874—81 годов. Размышляя о культурной традиции, сталкивая героику и будни, анализируя поведение человека перед лицом смерти, он, по существу, остается в кругу вечных тем, но главный его мотив — бессилие человека перед потоком исторических событий, тщетность исторических деяний. Этот горький мотив контрастирует с внешней легкостью занимательного повествования: композиция выразительна, сюжет включает элементы высокой трагедии, мелодрамы, криминальной истории.

Истоки — читать онлайн бесплатно полную книгу (весь текст) целиком

Ниже представлен текст книги, разбитый по страницам. Система сохранения места последней прочитанной страницы, позволяет с удобством читать онлайн бесплатно книгу «Истоки», без необходимости каждый раз заново искать на чём Вы остановились. Поставьте закладку, и сможете в любой момент перейти на страницу, на которой закончили чтение.

Тёмная тема
Сбросить

Интервал:

Закладка:

Сделать
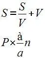
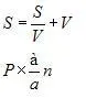
Истоки - изображение 1 где S означает массу прибавочной стоимости s массу прибавочной стоимости - фото 2

где S означает массу прибавочной стоимости, s массу прибавочной стоимости, поставляемую отдельным рабочим, v переменный капитал, ежедневно авансируемый для приобретения индивидуальной рабочей силы, V общую сумму переменного капитала, Р стоимость средней рабочей силы, степень эксплуатации а (прибавочная работа), а число рабочих n.

Недостаток места, к сожалению, лишает пишущего эти строки возможности остановиться на раскрытии выводов из этой грозной формулы Маркса, — отсылаю читателей к соответственным главам «Капитала». Скажу лишь, что это поистине «Мане-Текел-Фарес» [84]на стене капиталистического хозяйства и соответствующего ему политического строя…»

Николай Сергеевич перечел в кофейне начало статьи, вздохнул, отпил глоток чаю и задумался. Формула, собственно, была в статье ни к чему. Но ему не хотелось ее вычеркивать.

Первая статья, напечатанная им в большом петербургском журнале, доставила ему одну из лучших радостей всей его жизни. Он перечитал ее раз десять и, если б не две ужасные, позорные опечатки, был бы счастливым человеком. За первой статьей последовали другие, — радость уже была меньше. Эта статья, которую он должен был в тот же день отправить в редакцию из Нью-Йорка, ему не нравилась.

Цирк имел немалый успех в Филадельфии на выставке, устроенной по случаю столетия Декларации Независимости, затем переехал в Нью-Йорк, где успех был меньше. Делать в цирке Мамонтову было нечего. «Так и непонятно, зачем я с ними поехал! И с Катей ничего у меня не будет, пока она не расстанется с Карло», — все чаще говорил он себе.

На стенах кофейни в Ист-сайде висели портреты Костюшко, Мицкевича, Кошута, Вейтлинга, Карла Шурца (которого, впрочем, многие завсегдатаи недолюбливали). Николай Сергеевич уже знал большинство завсегдатаев. Все они были политические эмигранты, все в Европе в чем-то участвовали, все писали брошюры, все считались знаменитостями. Однако, несмотря на излучения мании величия, в кофейне было уютно. Чай подавали в стаканах, можно было получить «кофе по-варшавски», печенье было венское, на деревянных палках на стене висели европейские газеты, немец лакей, тоже эмигрант, но без литературного таланта, знал, кто анархист, кто социалист, кто оставляет на чай пять центов, кто десять, кто в двенадцатом часу ночи закажет сосиски, а кто бутерброд с сыром, кому подавать светлое пиво, кому темное. Чернильницы и перья он немедленно приносил всем. На столике у входа продавались брошюры. Авторы тут же их надписывали с благосклонно-равнодушным видом.

В одной купленной у автора из вежливости брошюре Мамонтов нашел ту формулу, которая означала «Мане-Текел-Фарес» капиталистического хозяйства. Сначала Николай Сергеевич хотел было сверить брошюру с «Капиталом», но как назло книги у него под рукой не было. Он не был вполне уверен в том, что «Мане-Текел-Фарес» заключался именно в этой формуле, хотя, помнилось, так говорил ему автор брошюры. «Да, дрянная статья, вдобавок недобросовестно написанная, — угрюмо подумал он. — Впрочем, кажется, все они так пишут… В печатном виде, впрочем, статья, как всегда, выиграет… Нет, формулу надо бы выкинуть… Да и буквы я объяснил довольно плохо…»

Эту статью он написал отчасти назло тем радикальным читателям журнала, которые видели в Америке новый благословенный мир: некоторые из них уезжали в Соединенные Штаты и основывали там трудовые или коммунистические колонии. «Я по природе неконформист, но, отталкиваясь от одного конформизма, всегда неизбежно впадаешь в другой», — думал он. Вероятность близкой гибели Соединенных Штатов еще усиливалась оттого, что он все время находился в дурном настроении духа. Были некоторые сомнения: пропустит ли цензура строки о конце капиталистического строя? На этот предмет была сделана оговорка о России. Николай Сергеевич знал, что русский читатель поймет цель оговорки и только от нее насторожится:

«Считаю нужным оговориться: этот прогноз никак не может относиться к нашей родине: и хозяйственный строй у нас не может быть назван капиталистическим, и общие законы экономического развития нашей страны все-таки не могут считаться тождественными с североамериканскими.

Перехожу без околичностей к общим соображениям о капиталистическом накоплении в С. Штатах:

Читать дальше
Тёмная тема
Сбросить

Интервал:

Закладка:

Сделать

Похожие книги на «Истоки»

Представляем Вашему вниманию похожие книги на «Истоки» списком для выбора. Мы отобрали схожую по названию и смыслу литературу в надежде предоставить читателям больше вариантов отыскать новые, интересные, ещё непрочитанные произведения.


Отзывы о книге «Истоки»

Обсуждение, отзывы о книге «Истоки» и просто собственные мнения читателей. Оставьте ваши комментарии, напишите, что Вы думаете о произведении, его смысле или главных героях. Укажите что конкретно понравилось, а что нет, и почему Вы так считаете.