Mark Zegarelli - SAT Math For Dummies with Online Practice
Здесь есть возможность читать онлайн «Mark Zegarelli - SAT Math For Dummies with Online Practice» — ознакомительный отрывок электронной книги совершенно бесплатно, а после прочтения отрывка купить полную версию. В некоторых случаях можно слушать аудио, скачать через торрент в формате fb2 и присутствует краткое содержание. Жанр: unrecognised, на английском языке. Описание произведения, (предисловие) а так же отзывы посетителей доступны на портале библиотеки ЛибКат.
- Название:SAT Math For Dummies with Online Practice
- Автор:
- Жанр:
- Год:неизвестен
- ISBN:нет данных
- Рейтинг книги:5 / 5. Голосов: 1
-
Избранное:Добавить в избранное
- Отзывы:
-
Ваша оценка:
SAT Math For Dummies with Online Practice: краткое содержание, описание и аннотация
Предлагаем к чтению аннотацию, описание, краткое содержание или предисловие (зависит от того, что написал сам автор книги «SAT Math For Dummies with Online Practice»). Если вы не нашли необходимую информацию о книге — напишите в комментариях, мы постараемся отыскать её.
, you’ll have what it takes to succeed on this challenging section of the exam. This helpful guide offers the tools and techniques you need to hone your strengths, eliminate your weaknesses, and walk into the testing room poised and prepared to conquer the math section of the SAT.
You’ll learn to tackle basic and advanced algebra, geometry, and trigonometry—with and without a calculator, just like you’ll need to do on the test. The book also offers intuitive reviews of critical math concepts and skills – like evaluating, simplifying, and factoring algebra expressions – while preparing you for common pitfalls and traps that ensnare less prepared students.
This up-to-date resource will help you:
Reduce test anxiety and stress by preparing with resources that mirror the tasks you’ll have to perform on test day Master the time-management and other test-taking strategies you’ll need to get the results you want Prove you’re ready for the test by practicing with online resources that include three complete practice tests Effective practice and preparation are the keys to succeeding on the math section of the SAT. And with
in your arsenal, you’ll have the strategies, knowledge, and skills that make extraordinary results possible.
and
are irrational numbers that fit between these integers on the number line.
Where on the number line does the value of
occur?
falls between
and
, so Answer C is correct.






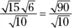
?
. Begin by multiplying the two radicals in the numerator:
, so plug this value into
and evaluate:
and then simplifying this value to 2:


and then simplifying this value to 3:


:


: