Joaquin Sandalinas - До предела чисел. Эйлер. Математический анализ.

Здесь есть возможность читать онлайн «Joaquin Sandalinas - До предела чисел. Эйлер. Математический анализ.» весь текст электронной книги совершенно бесплатно (целиком полную версию без сокращений). В некоторых случаях можно слушать аудио, скачать через торрент в формате fb2 и присутствует краткое содержание. Жанр: sci_popular, Физика, на русском языке. Описание произведения, (предисловие) а так же отзывы посетителей доступны на портале библиотеки ЛибКат.

До предела чисел. Эйлер. Математический анализ.: краткое содержание, описание и аннотация

Предлагаем к чтению аннотацию, описание, краткое содержание или предисловие (зависит от того, что написал сам автор книги «До предела чисел. Эйлер. Математический анализ.»). Если вы не нашли необходимую информацию о книге — напишите в комментариях, мы постараемся отыскать её.

Леонард Эйлер, без всякого сомнения, был самым выдающимся математиком эпохи Просвещения и одним из самых великих ученых в истории этой науки. Хотя в первую очередь его имя неразрывно связано с математическим анализом (рядами, пределами и дифференциальным исчислением), его титаническая научная работа этим не ограничивалась. Он сделал фундаментальные открытия в геометрии и теории чисел, создал с нуля новую область исследований — теорию графов, опубликовал бесчисленные работы по самым разным вопросам: гидродинамике, механике, астрономии, оптике и кораблестроению. Также Эйлер обновил и установил систему математических обозначений, которые очень близки к современным. Он обладал обширными знаниями в любой области науки; его невероятный ум оставил нам в наследство непревзойденные труды, написанные в годы работы в лучших академиях XVIII века: Петербургской и Берлинской.

До предела чисел. Эйлер. Математический анализ. — читать онлайн бесплатно полную книгу (весь текст) целиком

Ниже представлен текст книги, разбитый по страницам. Система сохранения места последней прочитанной страницы, позволяет с удобством читать онлайн бесплатно книгу «До предела чисел. Эйлер. Математический анализ.», без необходимости каждый раз заново искать на чём Вы остановились. Поставьте закладку, и сможете в любой момент перейти на страницу, на которой закончили чтение.

Тёмная тема
Сбросить

Интервал:

Закладка:

Сделать

7 = 7

7 = 6 + 1

7 = 5 + 2

7 = 5+ 1 + 1

7 = 4 + 3

7 = 4 + 2 + 1

7 = 4 + 1 + 1 + 1

7 = 3+3+1

7 = 3 + 2 + 2

7 = 3 + 2 + 1 + 1

7 = 3 + 1 + 1 + 1 + 1

7 = 2 + 2 + 2 + 1

7 = 2 + 2 + 1 + 1 + 1

7 = 2 + 1 + 1 + 1 + 1 + 1

7 = 1 + 1 + 1 + 1 + 1 + 1 + 1.

Итого 15. Запишем: р(7) - 15. Этот простой пример показывает, что разложить число — трудная задача, а результат может быть непредсказуемым. Если мы подсчитаем первые значения р(х), то получим:

Р(1) = 1

Р(2) = 2

P(3) = 3

Р(4) = 5

Р(5) = 7

P(6) = 11

Р(7) = 15

Р(8) = 22

P(9) = 30

P(10) = 42.

Никаких странностей не наблюдается, мы видим только, что p возрастает. Можно доказать, что

р(100) = 190569292.

СРИНИВАСА РАМАНУДЖАН АЙЕНГОР

Этот индийский математик родом из далекой страны, с непростой судьбой и необыкновенным талантом, привнес нотку экзотики в научный мир своего времени. Он родился в Эроде, в штате Тамил-Наду, и был типичным представителем своего общества, очень религиозным и строго соблюдавшим вегетарианство. Рамануджан был гением-самоучкой. По совету друзей он отправил несколько писем в Лондон, в которых рассказывал о своих результатах. Одно из них попало в руки к Годфри Харолду Харди (1877-1947). Вместе со своим другом и коллегой Джоном Литлвудом (1885- 1977) Харди проанализировал содержание писем, в которых говорилось обо всем сразу: об открытиях, уже сделанных, в том числе и самим Харди, и о новых формулах, свидетельствовавших о необыкновенных математических способностях. По приглашению Харди Рамануджан приехал в Англию и впоследствии был избран членом кембриджского Тринити-колледжа и Королевского общества. Многие его разработки еще не до конца изучены, но все единодушно отмечают их красоту, глубину, изобретательность и новизну. Рамануджан углубил работы Эйлера по разбиению, и это принесло свои плоды: многое из того, что сегодня об этом известно. — плод его исследований. Благодаря гению Рамануджана, мы располагаем "простым" инструментом, с помощью которого можем узнать примерное количество разбиений любого числа:

Его можно получить с помощью калькулятора При желании мы можем получить точные - фото 67

Его можно получить с помощью калькулятора. При желании мы можем получить точные цифры, а не приблизительные, но процесс будет немного сложнее.

Ученые получили необыкновенно длинные результаты выявили малейшие различия - фото 68

Ученые получили необыкновенно длинные результаты, выявили малейшие различия между разбиением четных и нечетных чисел (состоящих только из четных или нечетных чисел), изобрели сложнейшие арифметические инструменты. Большая часть удивительных работ Эйлера основана на методах, развитых Абрахамом де Муавром, которые заключаются в игре со степенными рядами. Так он получал то, что в то время называлось производящими функциями последовательности, то есть хитроумные алгебраические трюки, с помощью которых ученые пытались сымитировать реальность. Уже в 1742 году Эйлеру пришла в голову идея найти производящую функцию разбиений, и после долгих лет работы он пришел к ней: оттолкнувшись от ряда

1/(1 - х) = 1 + х + х 2+ х 3+ ...,

он вывел формулу

Развивая бесконечное произведение справа можно доказать что различные - фото 69

Развивая бесконечное произведение справа, можно доказать, что различные разбиения числа n появляются в скрытой форме в группах степеней меньших n, которые в сумме дают n. Например, возьмем n = 4 и посмотрим, сколько х4 мы получим:

(1 + х + х 2+ x 3+ ...) (1 + х 2+ х 4+ х 6+...)(1 + х 3+ x 6+ х 9+...)...

В результате мы получим 5х4. и следовательно, р(4) = 5. Отсюда Эйлер вывел метод для вычисления р(n), но, к сожалению, это рекурсивный метод, который позволяет вычислить р(n), только если мы знаем предшествующие значения:

р(n) = р(n - 1) +р(n - 2) - р(n - 5) - р(n - 7) + р(n - 12) + р(n - 15) - р(n - 22) - ...

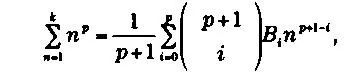
ЧИСЛА БЕРНУЛЛИ

Эти числа были названы в честь Якоба Бернулли, который впервые рассмотрел их в 1713 году в своем сочинении Ars conjectandi ("Искусство предположений"). Эти числа встречаются при вычислении сумм степеней целых положительных чисел:

1 + 2 2+ З 2+ 4 2+ ... + k 2

1 + 2 3+ З 3+ 4 3+ ... + k 3

1 + 2 4+ З 4+ 4 4+ ... + k 4

1 + 2 5+ З 5+ 4 5+ ... + k 5,

или, говоря языком Эйлера, вычислении сумм

До предела чисел Эйлер Математический анализ - изображение 70

Мы имеем

где В i числа Бернулли Чтобы пояснить предыдущую формулу приведем простой - фото 71

где В i— числа Бернулли. Чтобы пояснить предыдущую формулу, приведем простой пример — сумму квадратов простых чисел. Применив формулу при р - 2, получим

Читать дальше
Тёмная тема
Сбросить

Интервал:

Закладка:

Сделать

Похожие книги на «До предела чисел. Эйлер. Математический анализ.»

Представляем Вашему вниманию похожие книги на «До предела чисел. Эйлер. Математический анализ.» списком для выбора. Мы отобрали схожую по названию и смыслу литературу в надежде предоставить читателям больше вариантов отыскать новые, интересные, ещё непрочитанные произведения.


Отзывы о книге «До предела чисел. Эйлер. Математический анализ.»

Обсуждение, отзывы о книге «До предела чисел. Эйлер. Математический анализ.» и просто собственные мнения читателей. Оставьте ваши комментарии, напишите, что Вы думаете о произведении, его смысле или главных героях. Укажите что конкретно понравилось, а что нет, и почему Вы так считаете.