Карл Саган - Мир, полный демонов - Наука — как свеча во тьме

Здесь есть возможность читать онлайн «Карл Саган - Мир, полный демонов - Наука — как свеча во тьме» — ознакомительный отрывок электронной книги совершенно бесплатно, а после прочтения отрывка купить полную версию. В некоторых случаях можно слушать аудио, скачать через торрент в формате fb2 и присутствует краткое содержание. Город: М., Год выпуска: 2014, ISBN: 2014, Издательство: Альпина нон-фикшн, Жанр: sci_popular, на русском языке. Описание произведения, (предисловие) а так же отзывы посетителей доступны на портале библиотеки ЛибКат.

Мир, полный демонов: Наука — как свеча во тьме: краткое содержание, описание и аннотация

Предлагаем к чтению аннотацию, описание, краткое содержание или предисловие (зависит от того, что написал сам автор книги «Мир, полный демонов: Наука — как свеча во тьме»). Если вы не нашли необходимую информацию о книге — напишите в комментариях, мы постараемся отыскать её.

«Мир, полный демонов» — последняя книга Карла Сагана, астронома, астрофизика и выдающегося популяризатора науки, вышедшая уже после его смерти. Эта книга, посвященная одной из его любимых тем — человеческому разуму и борьбе с псевдонаучной глупостью, — своего рода итог всей его работы. Мифы об Атлантиде и Лемурии, лица на Марсе и встречи с инопланетянами, магия и реинкарнация, ясновидение и снежный человек, креационизм и астрология — Саган последовательно и беспощадно разоблачает мифы, созданные невежеством, страхом и корыстью. Эта книга — манифест скептика, учебник здравого смысла и научного метода. Яркий, глубоко личный текст — не только битва с псевдонаукой, но и удивительная картина становления научного мировоззрения, величайших открытий и подвижников.
Наука для Сагана—чистая радость, она удивительна сама по себе. Взять хотя бы несколько фактов: вся информация о человеке содержится в каждой клетке тела; квазары находятся так далеко, что их свет начал излучаться по направлению к Земле еще до того, как она сформировалась; все люди — родственники и происходят от одних и тех же предков, обитавших несколько миллионов лет назад. Наука открывает беспрецедентные возможности, и человечеству давно нет нужды придумывать себе идолов и позволять манипулировать собой.

Мир, полный демонов: Наука — как свеча во тьме — читать онлайн ознакомительный отрывок

Ниже представлен текст книги, разбитый по страницам. Система сохранения места последней прочитанной страницы, позволяет с удобством читать онлайн бесплатно книгу «Мир, полный демонов: Наука — как свеча во тьме», без необходимости каждый раз заново искать на чём Вы остановились. Поставьте закладку, и сможете в любой момент перейти на страницу, на которой закончили чтение.

Тёмная тема
Сбросить

Интервал:

Закладка:

Сделать

Фарадей высказал предположение, что магнит обладает невидимым силовым «полем», которое распространяется в пространстве вокруг магнита, и действует сильнее возле магнита, а в отдалении от него ослабевает. Форму поля можно проследить, насыпав на лист бумаги железные опилки и проведя под листом магнитом. Также и наши волосы после основательного расчесывания в засушливый день порождают электрическое поле, незримо окружающее голову и способное даже притягивать клочки бумаги.

Теперь мы знаем, что электричество в проволоке — это движение микроскопических частиц, электронов, на которые воздействует электрическое поле. Провод изготавливают из меди или материала с похожими свойствами, в котором много свободных, подвижных электронов. Большинство материалов, в отличие от проволоки, не являются хорошими проводниками — это изоляторы, «диэлектрики». В них мало свободных электронов, которые могли бы прийти в движение под действием электрического или магнитного поля, т. е. по ним не проходит ток. Разумеется, даже в этих материалах какое-то движение, «смещение» электронов наблюдается, и чем сильнее электрическое поле, тем заметнее такое движение.

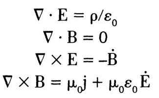
Максвелл изобрел способ записать все то, что его современники выяснили об электричестве и магнетизме, подвести итоги всех этих экспериментов с проводами, электрическим током и магнитами. Вот они, четыре уравнения Максвелла, описывающие поведение электрических и магнитных сил:

Чтобы вникнуть в эти уравнения потребуется несколько лет изучать физику на - фото 2

Чтобы вникнуть в эти уравнения, потребуется несколько лет изучать физику на университетском уровне. Они выстроены с помощью особой разновидности математики — векторного исчисления. Вектор — величина, обладающая не только размерностью, но и направлением. 100 км/ч — не векторная величина, а 100 км/ч на север по шоссе номер 1 — векторная. Е и В в этих уравнениях обозначают электрическое и магнитное поле. Треугольник набла (он так назван из-за сходства с древней финикийской арфой) обозначает колебания электрического или магнитного поля в трехмерном пространстве. После набла указываются скалярное и векторное произведение — две разновидности пространственных вариаций поля.

Е и В обозначают вариации во времени — скорость изменений электрического и магнитного поля, a j — электрический ток. Строчная греческая буква ρ (ро) обозначает плотность электрических зарядов, а ε 0(«эпсилон нулевое») и μ 0(«мю нулевое») представляют собой не переменные, а свойства тех веществ, для которых замеряются Е и В в ходе эксперимента. В вакууме ε 0и μ 0являются константами.

Поразительно, какими простыми оказались эти уравнения, хотя в них и задействовано такое множество величин! Казалось бы, они должны занять множество страниц, но они все уместились в несколько строк.

Первое из четырех уравнений Максвелла показывает, как электрическое поле меняется в зависимости от электрических зарядов (электронов) и расстояния (чем дальше от источника поля, тем оно слабее, но чем выше плотность заряда — грубо говоря, чем больше на данном участке пространства электронов, — тем сильнее поле).

Второе уравнение демонстрирует, что для магнитного поля аналогичной зависимости нет, поскольку магнитных «зарядов», выдуманных Месмером (они же магнетические «монополии»), попросту не существует: распилите пополам магнит, и вы не отделите «южный полюс» от «северного», а получите два магнита, каждый с двумя полюсами.

Третье уравнение показывает, как переменное магнитное поле порождает электрическое поле.

Четвертое уравнение описывает обратную ситуацию — как переменное электрическое поле или электрический ток порождают магнитное поле.

Эти четыре уравнения — плод лабораторных исследований нескольких поколений ученых, преимущественно французских и британских. То, что я тут невнятно пытался передать на качественном уровне, уравнения передают четко и в цифрах.

А затем Максвелл задался неожиданным вопросом: как бы эти уравнения выглядели в пустом пространстве, в вакууме — там, где нет электрических зарядов и тока? Казалось бы, в вакууме не будет и электрического или магнитного поля, но Максвелл предположил, что в пустоте уравнения, описывающие магнитное и электрическое поле, будут выглядеть так:

Ученый приравнял ρ к нулю обозначив таким образом отсутствие электрических - фото 3

Ученый приравнял ρ к нулю, обозначив, таким образом, отсутствие электрических зарядов. Он также приравнял к нулю j, указав на отсутствие электрического тока. Но он не стал сбрасывать со счетов последний элемент четвертого уравнения — (μ 0ε 0Ė— едва заметный ток (ток смещения) в изоляторах.

Читать дальше
Тёмная тема
Сбросить

Интервал:

Закладка:

Сделать

Похожие книги на «Мир, полный демонов: Наука — как свеча во тьме»

Представляем Вашему вниманию похожие книги на «Мир, полный демонов: Наука — как свеча во тьме» списком для выбора. Мы отобрали схожую по названию и смыслу литературу в надежде предоставить читателям больше вариантов отыскать новые, интересные, ещё непрочитанные произведения.


Отзывы о книге «Мир, полный демонов: Наука — как свеча во тьме»

Обсуждение, отзывы о книге «Мир, полный демонов: Наука — как свеча во тьме» и просто собственные мнения читателей. Оставьте ваши комментарии, напишите, что Вы думаете о произведении, его смысле или главных героях. Укажите что конкретно понравилось, а что нет, и почему Вы так считаете.