Карло ди Клементе - Психология позитивных изменений. Как навсегда избавиться от вредных привычек

Здесь есть возможность читать онлайн «Карло ди Клементе - Психология позитивных изменений. Как навсегда избавиться от вредных привычек» весь текст электронной книги совершенно бесплатно (целиком полную версию без сокращений). В некоторых случаях можно слушать аудио, скачать через торрент в формате fb2 и присутствует краткое содержание. Город: Москва, Год выпуска: 2013, ISBN: 2013, Издательство: Манн Иванов Фербер, Жанр: foreign_psychology, psy_personal, psy_generic, на русском языке. Описание произведения, (предисловие) а так же отзывы посетителей доступны на портале библиотеки ЛибКат.

Психология позитивных изменений. Как навсегда избавиться от вредных привычек: краткое содержание, описание и аннотация

Предлагаем к чтению аннотацию, описание, краткое содержание или предисловие (зависит от того, что написал сам автор книги «Психология позитивных изменений. Как навсегда избавиться от вредных привычек»). Если вы не нашли необходимую информацию о книге — напишите в комментариях, мы постараемся отыскать её.

Мы способны изменить многое: свое поведение, мысли и чувства, привычки, в том числе те, от которых хотим избавиться. С большинством проблем можно справиться самостоятельно. Для этого нужно научиться использовать собственные ресурсы и привлечь окружающих для поддержки.
В этой книге представлены методы проведения самостоятельной диагностики, дано подробное описание реальных историй перемен и приведены конкретные примеры изменений, демонстрирующие каждый принцип и идею. Неважно, собираетесь ли вы начать откладывать деньги, бросить есть по вечерам или положить конец другим формам самоуничтожающего и вызывающего зависимость поведения, этот алгоритм позволит вам добиться желаемых результатов.

Психология позитивных изменений. Как навсегда избавиться от вредных привычек — читать онлайн бесплатно полную книгу (весь текст) целиком

Ниже представлен текст книги, разбитый по страницам. Система сохранения места последней прочитанной страницы, позволяет с удобством читать онлайн бесплатно книгу «Психология позитивных изменений. Как навсегда избавиться от вредных привычек», без необходимости каждый раз заново искать на чём Вы остановились. Поставьте закладку, и сможете в любой момент перейти на страницу, на которой закончили чтение.

Тёмная тема
Сбросить

Интервал:

Закладка:

Сделать

• Предложите мне помощь, когда я выгляжу растерянным.

• Скажите, что гордитесь моими поступками.

Первые несколько дней окажутся самыми сложными, по мере того как вы будете менять привычные схемы поведения. Очень заманчиво – и просто – пойти в эти дни на попятную. В этот период поддержка окружающих станет особенно полезной. Подготовьте своих помощников, рассказав, когда собираетесь приступить к реализации плана, и попросите быть терпимыми, если окажетесь на грани. Когда люди знают, насколько вам тяжело, они становятся более отзывчивыми и чуткими.

Принципы достижения успеха

Однажды утром я занимался своим исследованием, просматривая объемную рукопись, содержащую описания пятнадцати курильщиков на четырех этапах изменения. Мой коллега, Уэйн Велисер, первый автор этой работы, предполагал, что для каждого этапа существует три типа стратегии. Вдруг меня осенило, что это его сложное объяснение можно сократить до нескольких принципов успешного продвижения от этапа к этапу.

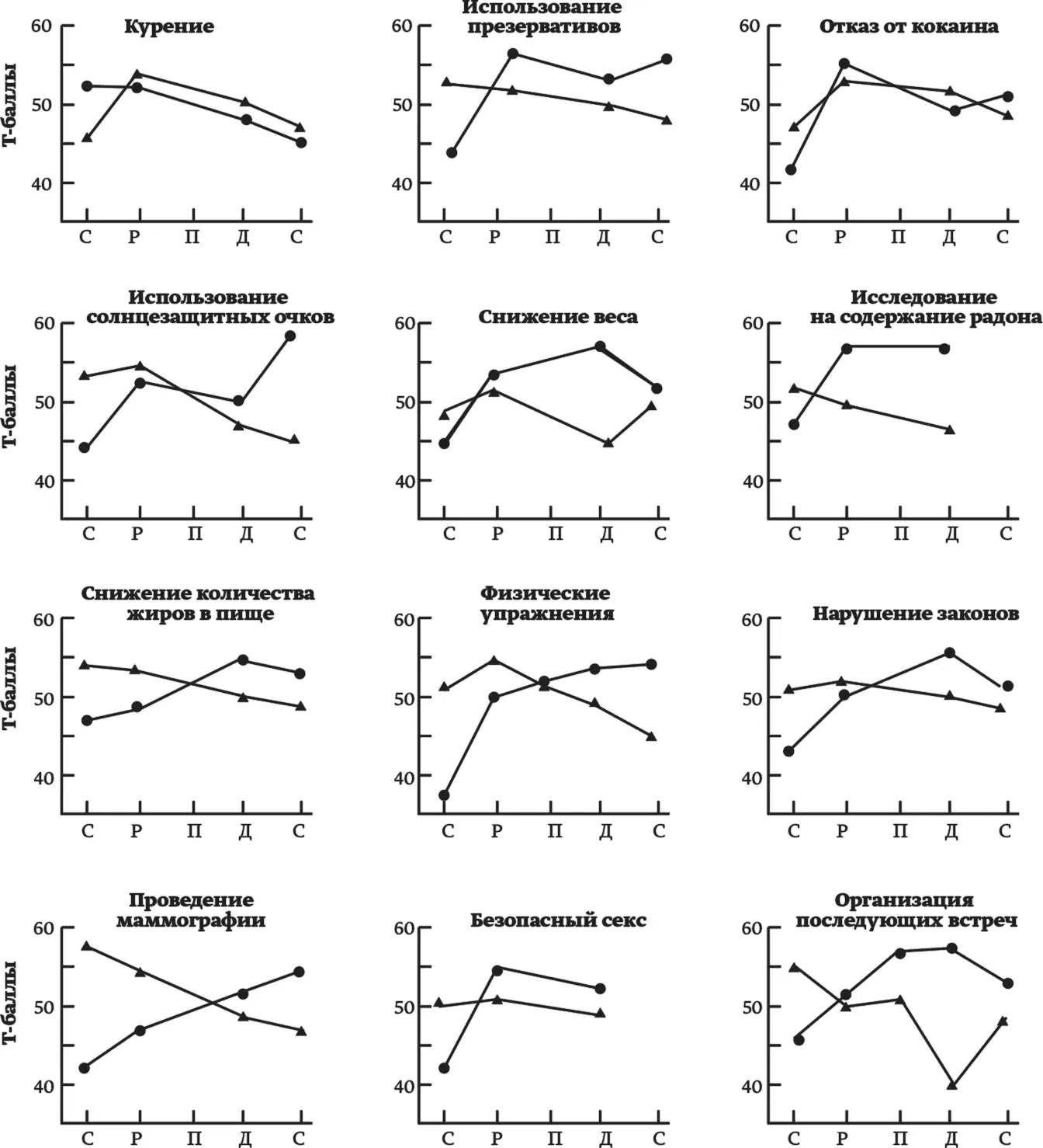
Тут же я достал рукопись, которую отсылал ранее в один научный журнал. В ней были четыре графика, представленные на рис. 6.1. Они иллюстрировали связь между субъективно воспринимаемыми плюсами и минусами изменения и его этапами для двенадцати различных моделей проблемного поведения. На горизонтальной оси отмечены пять этапов изменения: C = сопротивление; Р = размышления; П = подготовка; Д = действие и С = сохранение. На вертикальной оси указана субъективно воспринимаемая значимость плюсов и минусов изменения на каждом этапе для каждой модели проблемного поведения.

Графики показывают, что для всех двенадцати моделей проблемного поведения субъективно воспринимаемые минусы изменения важнее субъективно воспринимаемых плюсов на этапе сопротивления изменениям. Обратная ситуация характерна для тех, кто находится на этапе действия в одиннадцати из двенадцати случаев.

В то утро я испытал чувство, которое до этого испытывал всего несколько раз, когда обнаруживал что-то новое и неожиданное. Мне казалось, будто вся моя голова внутри залилась светом. Мои глаза словно горели – проливая свет на сырые данные, лежащие передо мной.

Во-первых, я заметил, что значимость плюсов изменения всегда возрастает от этапа сопротивления к этапу размышлений. Таким образом, первый принцип достижения успеха сводится к повышению субъективно воспринимаемой значимости плюсов изменения по мере движения от этапа сопротивления к этапу размышлений. На этом этапе не стоит волноваться о минусах. Их время придет.

Рис 61Связь между плюсами и минусами изменений и их этапами Затем - фото 18

Рис. 6.1.Связь между плюсами и минусами изменений и их этапами

Затем субъективно воспринимаемая значимость минусов изменения всегда уменьшается от этапа размышлений к этапу действия. Соответственно, второй принцип достижения успеха гласит: если вы хотите перейти от размышлений к действию, снизьте субъективно воспринимаемую значимость минусов изменения ваших привычек. Не думайте и о плюсах изменения. О них вы уже думали.

После этого озарения я, однако, стал подозревать, что из него можно извлечь что-то еще. В конце концов, графики отражали 80 тысяч показателей от более трех тысяч испытуемых из двенадцати различных групп. Если возможно обобщить принципы человеческого поведения, то эти графики должны дать к этому ключ.

Потом я обратил внимание, что субъективно воспринимаемая значимость плюсов изменения увеличивается более быстрыми темпами, чем снижается субъективно воспринимаемая значимость минусов. Я достал одно из своих «высокотехнологичных» приспособлений – линейку – и измерил максимальное увеличение субъективно воспринимаемой значимости плюсов изменения при переходе этапа сопротивления к этапу действия и максимальное снижение субъективно воспринимаемой значимости минусов. К моему изумлению (и к изумлению каждого ученого-бихевиориста, которому я показывал результаты), стало очевидно, что за двумя принципами достижения успеха, упомянутыми выше, лежат два математических соотношения. Я обнаружил, что во всех двенадцати группах субъективно воспринимаемая значимость плюсов изменения в среднем увеличивалась с шагом в 10 T-баллов. И во всех двенадцати группах субъективно воспринимаемая значимость минусов изменения уменьшалась в среднем с шагом в 4,96 T-балла [19].

Моя жена Джен в этот момент читала в гостиной. Я вбежал туда, как полоумный, крича об удивительных открытиях, которые только что сделал. Я не мог в это поверить. Это было слишком хорошо, чтобы быть правдой. До этого момента никто не выявил ничего подобного. Со свойственным ей спокойствием Джен заметила, что, похоже, я впал в состояние легкого помешательства. Должен сказать, я и чувствовал себя именно так. Я никак не мог поверить своим глазам и доводам разума.

Читать дальше
Тёмная тема
Сбросить

Интервал:

Закладка:

Сделать

Похожие книги на «Психология позитивных изменений. Как навсегда избавиться от вредных привычек»

Представляем Вашему вниманию похожие книги на «Психология позитивных изменений. Как навсегда избавиться от вредных привычек» списком для выбора. Мы отобрали схожую по названию и смыслу литературу в надежде предоставить читателям больше вариантов отыскать новые, интересные, ещё непрочитанные произведения.


Отзывы о книге «Психология позитивных изменений. Как навсегда избавиться от вредных привычек»

Обсуждение, отзывы о книге «Психология позитивных изменений. Как навсегда избавиться от вредных привычек» и просто собственные мнения читателей. Оставьте ваши комментарии, напишите, что Вы думаете о произведении, его смысле или главных героях. Укажите что конкретно понравилось, а что нет, и почему Вы так считаете.

x