Дмитрий Елисеев - Рассказы о математике с примерами на языках Python и C

Здесь есть возможность читать онлайн «Дмитрий Елисеев - Рассказы о математике с примерами на языках Python и C» весь текст электронной книги совершенно бесплатно (целиком полную версию без сокращений). В некоторых случаях можно слушать аудио, скачать через торрент в формате fb2 и присутствует краткое содержание. Жанр: Математика, Программирование, Программы, Базы данных, на русском языке. Описание произведения, (предисловие) а так же отзывы посетителей доступны на портале библиотеки ЛибКат.

Рассказы о математике с примерами на языках Python и C: краткое содержание, описание и аннотация

Предлагаем к чтению аннотацию, описание, краткое содержание или предисловие (зависит от того, что написал сам автор книги «Рассказы о математике с примерами на языках Python и C»). Если вы не нашли необходимую информацию о книге — напишите в комментариях, мы постараемся отыскать её.

Вниманию читателей представляется книга «Рассказы о математике с примерами на языках Python и C». В книге описаны различные истории или задачи, прямо или косвенно связанные с математикой (магические квадраты, простые числа и пр). Кратко рассмотрены более сложные моменты, например выполнение вычислений с помощью GPU.
Книга распространяется бесплатно, скачать оригинал в PDF можно на странице
.

Рассказы о математике с примерами на языках Python и C — читать онлайн бесплатно полную книгу (весь текст) целиком

Ниже представлен текст книги, разбитый по страницам. Система сохранения места последней прочитанной страницы, позволяет с удобством читать онлайн бесплатно книгу «Рассказы о математике с примерами на языках Python и C», без необходимости каждый раз заново искать на чём Вы остановились. Поставьте закладку, и сможете в любой момент перейти на страницу, на которой закончили чтение.

Тёмная тема
Сбросить

Интервал:

Закладка:

Сделать

7. Магический квадрат

Еще одна старинная математическая головоломка — магический квадрат. Магическим называют квадрат, заполненный неповторяющимися числами так, что суммы чисел по горизонталям, вертикалям и диагоналям одинаковы. Такие квадраты известны давно, самым старым из известных является магический квадрат Ло Шу, изображенный в Китае в 2200 г. до нашей эры. Если подсчитать количество точек, то можно перевести квадрат в современный вид, изображенный справа.

Магический квадрат 4х4 был обнаружен в индийских надписях 11 века И наконец - фото 14

Магический квадрат 4х4 был обнаружен в индийских надписях 11 века:

И наконец известный квадрат 4х4 изображенный на гравюре немецкого художника - фото 15

И наконец, известный квадрат 4х4, изображенный на гравюре немецкого художника Дюрера «Меланхолия». Этот квадрат изображен не просто так, 2 числа 1514 указывают на дату создания гравюры.

Как можно видеть уже математики прошлого умели строить магические квадраты - фото 16

Как можно видеть, уже математики прошлого умели строить магические квадраты разной размерности. Интересно рассмотреть их свойства.

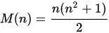
Сумма чиселмагического квадрата размера NxN зависит только от N, и определяется формулой:

Это несложно доказать т к сумма всех чисел квадрата равна сумме ряда 1N 2 - фото 17

Это несложно доказать, т. к. сумма всех чисел квадрата равна сумме ряда 1..N 2. Действительно, для квадрата Дюрера M(4) = 34, что можно посчитать на картине. Для квадратов разной размерности суммы равны соответственно: M(3) = 15, M(4) = 34, M(5) = 65, M(6) = 111, M(7) = 175, M(8) = 260, M(9) = 369, M(10) = 505.

Напишем программу для построения магических квадратов размерности N. Первый подход будет «в лоб», напрямую. Создадим массив, содержащий все числа от 1 до N 2и получим все возможные перестановки этого массива. Их число довольно-таки велико, и составляет 1 * 2 * .. * N = N! вариантов. Также для каждого массива необходимо проверить, является ли он «магическим», т. е. выполняется ли требование равенства сумм.

Для получения всех перестановок воспользуемся алгоритмом, описанным здесь — https://prog-cpp.ru/permutation/.

Код программы приведен ниже:

def swap(arr, i, j):

arr[i], arr[j] = arr[j], arr[i]

def next_set(arr, n):

j = n - 2

while j != -1 and arr[j] >= arr[j + 1]: j -= 1

if j == -1:

return False

k = n - 1

while arr[j] >= arr[k]: k -= 1

swap(arr, j, k)

l = j + 1

r = n – 1

while l < r:

swap(arr, l, r)

l += 1

r -= 1

return True

def is_magic(arr, n):

for i in range(0, n):

sum1 = 0

sum2 = 0

sum3 = 0

sum4 = 0

for j in range(0, n):

sum1 += arr[i * n + j]

sum2 += arr[j * n + i]

sum3 += arr[j * n + j]

sum4 += arr[(n – j - 1) * n + j]

if sum1 != sum2 or sum1 != sum3 or sum1 != sum4 or sum2 != sum3 or sum2 != sum4 or sum3 != sum4:

return False

return True

def show_squares(n):

N = n * n

arr = [i + 1 for i in range(N)]

cnt = 0

while next_set(arr, N):

if is_magic(arr, n):

print(arr)

cnt += 1

return cnt

# Требуемая размерность

cnt = show_squares(3)

print("Число вариантов:", cnt)

Программа выдала 8 вариантов для N = 3, время вычисления составило 2 секунды:

[2, 7, 6, 9, 5, 1, 4, 3, 8] [6, 1, 8, 7, 5, 3, 2, 9, 4]
[2, 9, 4, 7, 5, 3, 6, 1, 8] [6, 7, 2, 1, 5, 9, 8, 3, 4]
[4, 3, 8, 9, 5, 1, 2, 7, 6] [8, 1, 6, 3, 5, 7, 4, 9, 2]
[4, 9, 2, 3, 5, 7, 8, 1, 6] [8, 3, 4, 1, 5, 9, 6, 7, 2]

Действительно, как известно, существует только 1 магический квадрат 3x3:

Остальные являются лишь его поворотами или отражениями очевидно что при - фото 18

Остальные являются лишь его поворотами или отражениями (очевидно что при повороте квадрата его свойства не изменятся).

Теперь попробуем вывести квадраты 4х4. Запускаем программу… и ничего не видим. Как было сказано выше, число вариантов перебора для 16 цифр равняется 16! или 20922789888000 вариантов. На моем компьютере полный перебор такого количества занял бы 1089 дней!

Однако посмотрим на магический квадрат еще раз:

Суммы всех элементов по горизонтали и вертикали равны Из этого мы легко можем - фото 19

Суммы всех элементов по горизонтали и вертикали равны. Из этого мы легко можем записать равенство его членов:

x11 + x12 + x13 + x14 = x21 + x22 + x23 + x24 x11 + x12 + x13 + x14 = x14 + x24 + x34 + x44 x11 + x12 + x13 + x14 = x13 + x23 + x33 + x43 x11 + x12 + x13 + x14 = x12 + x22 + x32 + x42 x11 + x12 + x13 + x14 = x11 + x21 + x33 + x44 x11 + x12 + x13 + x14 = x31 + x32 + x33 + x34

Читать дальше
Тёмная тема
Сбросить

Интервал:

Закладка:

Сделать

Похожие книги на «Рассказы о математике с примерами на языках Python и C»

Представляем Вашему вниманию похожие книги на «Рассказы о математике с примерами на языках Python и C» списком для выбора. Мы отобрали схожую по названию и смыслу литературу в надежде предоставить читателям больше вариантов отыскать новые, интересные, ещё непрочитанные произведения.


Отзывы о книге «Рассказы о математике с примерами на языках Python и C»

Обсуждение, отзывы о книге «Рассказы о математике с примерами на языках Python и C» и просто собственные мнения читателей. Оставьте ваши комментарии, напишите, что Вы думаете о произведении, его смысле или главных героях. Укажите что конкретно понравилось, а что нет, и почему Вы так считаете.

x