Валерий Асадов - Физика (Третья) 21 века. Том 1

Здесь есть возможность читать онлайн «Валерий Асадов - Физика (Третья) 21 века. Том 1» — ознакомительный отрывок электронной книги совершенно бесплатно, а после прочтения отрывка купить полную версию. В некоторых случаях можно слушать аудио, скачать через торрент в формате fb2 и присутствует краткое содержание. ISBN: , Жанр: Физика, Прочая научная литература, на русском языке. Описание произведения, (предисловие) а так же отзывы посетителей доступны на портале библиотеки ЛибКат.

Физика (Третья) 21 века. Том 1: краткое содержание, описание и аннотация

Предлагаем к чтению аннотацию, описание, краткое содержание или предисловие (зависит от того, что написал сам автор книги «Физика (Третья) 21 века. Том 1»). Если вы не нашли необходимую информацию о книге — напишите в комментариях, мы постараемся отыскать её.

Создана новая динамическая временная физика, которая решает большинство проблем современной физики. Решена проблема темной материи, из-за неправильного определения возраста Вселенной. Возраст Вселенной 291 604 086 700 лет. Создана Квантовая геофизика Земли, которая объясняет расширение Земли. Открыт временный дефект масс, который на 2—3 порядка мощнее ядерного дефекта. Возможность вычислять время, мощность и начало работы вулканов, землетрясений. Функция времени должна быть во всех формула

Физика (Третья) 21 века. Том 1 — читать онлайн ознакомительный отрывок

Ниже представлен текст книги, разбитый по страницам. Система сохранения места последней прочитанной страницы, позволяет с удобством читать онлайн бесплатно книгу «Физика (Третья) 21 века. Том 1», без необходимости каждый раз заново искать на чём Вы остановились. Поставьте закладку, и сможете в любой момент перейти на страницу, на которой закончили чтение.

Тёмная тема
Сбросить

Интервал:

Закладка:

Сделать

масса Вселенной и протона взаимосвязана, насколько уменьшается масса протон, то настолько увеличивается масса Вселенной. Константа – g, это постоянная величина, произведение масс протона и Вселенной =3,10803*10 33 грамм^2

=Tgr=1 сек. – это одно и тоже значение,

Мо – масса Вселенной. =1,857*10 57 грамм. – ml масса планкеона (протона) – 1,539*10 —5 грамм.

постоянная Планка. c-скорость света.

время рождения Вселенной. t=7,6234*10 —44 сек.

гравитационная постоянная. y=6,6719677*10 —8 см^3/ грамм*сек^2

g – константа воспроизводства. =3,10803*10 33 грамм^2

T – Возраст Вселенной рассчитывается по формула – (2),

mp – масса протона – 1,672*10 —24 грамм.

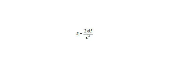
Сначала планкеоны размножаются, не меняя своей массы и размеров, но это только до 1-й секунды после рождения. После 1 секунды формулы физики меняются. С этого времени начинается уменьшение массы планкеона по формуле (2) это уже есть протон, а также уменьшается его плотность и увеличивается его радиус. До 1 сек, с момента рождения Вселенной существовал только один тип частиц – это планкеоны, других не было никаких (планкеон – это условно как бы протон+ электрон). С 1 сек. планкеоны превратились в протоны и электроны, а также появился еще один тип частицы – это возбужденная частица – нейтрон и остальные частицы (все частицы, существующие сейчас лептоны, мезоны, барионы, это одна возбужденная частица, только по-разному возбужденные). Протон стал уменьшаться в массе с Ml=1,539*10 —5 грамм до Mp=1,672*10 —24 грамм, и будет уменьшаться дальше, так же уменьшаются в массе электроны и возбужденные частицы. Вселенная представляет собой «черную дыру», поэтому формула представляет её радиус.

Рис 8 Формула радиуса черный дыры Привлеченная R Радиус черный дыры - фото 15

Рис. 8. Формула радиуса черный дыры. Привлеченная.

R – Радиус черный дыры, это радиус нашей Вселенной.

M – Масса нашей Вселенной. g – гравитационная постоянная.

с – Скорость света.

Наша Вселенная имеет форму шара, двухмерная сфера. Она имеет четкие границы, четкие размеры, определенную массу, которая постоянно увеличивается. И самое основное положение – это то, что наша Вселенная является «черной дырой» в большой Вселенной, и что «черными дырами» являются и элементарные частицы. И что «черные дыры» это нормальное, естественное и повседневное явление в физике нашей жизни.

И если мы возьмем формулу плотности p=M/V, подставим туда радиус черный дыры в объем, то получим первую космологическую формулу (соотношение).

Что самое интересное, что плотность Вселенной зависит только от одной величины, от масс Вселенной и не зависит от объема и радиуса. А если в эту формулу подставить

(21), то получим второе космологическое соотношение, где плотность, где плотность зависит только от радиуса Вселенной.

Рис9 Формула 21 Масса планкеона Привлеченная Рис 10 Второе - фото 16

Рис.9. Формула 21. Масса планкеона. Привлеченная.

Рис 10 Второе космологическое соотношение где плотность Вселенной зависит от - фото 17

Рис. 10. Второе космологическое соотношение, где плотность Вселенной зависит от радиуса Вселенной.

Дальше подставляем вместо радиуса скорость, умноженную на время,

Рис 11 Дальше подставляем вместо радиуса скорость умноженную на время то - фото 18

Рис. 11. Дальше подставляем вместо радиуса скорость, умноженную на время,

то получим третье космологическое соотношение через время, где плотность Вселенной зависит только от возраста Вселенной.

Плотность Вселенной, выраженной через постоянную Хаббла, получим если в

Рис 12 Третье космологическое соотношение Плотность Вселенной через возраст - фото 19

Рис. 12. Третье космологическое соотношение. Плотность Вселенной через возраст Вселенной.

формулу (5). Подставим вместо времени постоянную Хаббла – T=1/H формула (23):

Плотность Вселенной, выраженную через постоянную Хаббла.

Рис 13 Плотность Вселенной выраженную через постоянную Хаббла или иначе - фото 20

Рис. 13. Плотность Вселенной выраженную через постоянную Хаббла, или иначе критическая плотность Вселенной.

Читать дальше
Тёмная тема
Сбросить

Интервал:

Закладка:

Сделать

Похожие книги на «Физика (Третья) 21 века. Том 1»

Представляем Вашему вниманию похожие книги на «Физика (Третья) 21 века. Том 1» списком для выбора. Мы отобрали схожую по названию и смыслу литературу в надежде предоставить читателям больше вариантов отыскать новые, интересные, ещё непрочитанные произведения.


Отзывы о книге «Физика (Третья) 21 века. Том 1»

Обсуждение, отзывы о книге «Физика (Третья) 21 века. Том 1» и просто собственные мнения читателей. Оставьте ваши комментарии, напишите, что Вы думаете о произведении, его смысле или главных героях. Укажите что конкретно понравилось, а что нет, и почему Вы так считаете.

x