Шавкат Каримов - Все науки. №2, 2022. Международный научный журнал

Здесь есть возможность читать онлайн «Шавкат Каримов - Все науки. №2, 2022. Международный научный журнал» — ознакомительный отрывок электронной книги совершенно бесплатно, а после прочтения отрывка купить полную версию. В некоторых случаях можно слушать аудио, скачать через торрент в формате fb2 и присутствует краткое содержание. ISBN: , Жанр: Физика, Философия, Медицина, Технические науки, на русском языке. Описание произведения, (предисловие) а так же отзывы посетителей доступны на портале библиотеки ЛибКат.

Все науки. №2, 2022. Международный научный журнал: краткое содержание, описание и аннотация

Предлагаем к чтению аннотацию, описание, краткое содержание или предисловие (зависит от того, что написал сам автор книги «Все науки. №2, 2022. Международный научный журнал»). Если вы не нашли необходимую информацию о книге — напишите в комментариях, мы постараемся отыскать её.

Международный научный журнал «Все науки», созданный при ООО «Electron Laboratory» и Научной школе «Электрон», является научным изданием, публикующим последние научные результаты в самых различных областях науки и техники, представляя собой также сборник публикаций по вышеуказанным темам коллегии авторов и рецензируемый редколлегией на платформе «Ридеро» ежемесячно.

Все науки. №2, 2022. Международный научный журнал — читать онлайн ознакомительный отрывок

Ниже представлен текст книги, разбитый по страницам. Система сохранения места последней прочитанной страницы, позволяет с удобством читать онлайн бесплатно книгу «Все науки. №2, 2022. Международный научный журнал», без необходимости каждый раз заново искать на чём Вы остановились. Поставьте закладку, и сможете в любой момент перейти на страницу, на которой закончили чтение.

Тёмная тема
Сбросить

Интервал:

Закладка:

Сделать
Поскольку эта реакция экзоэнергетическая то нет смысла вычислять для неё - фото 7

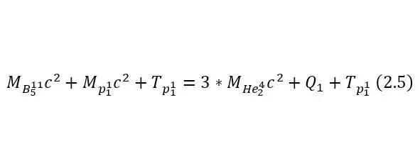
Поскольку эта реакция экзо-энергетическая, то нет смысла вычислять для неё порог реакции, остаётся лишь записать пару энергетических уравнений (2.5—2.6) и затем вычислить энергии, приобретаемые альфа-частицами.

Из этих энергетических уравнений стало ясно что кроме выхода реакции - фото 8

Из этих энергетических уравнений стало ясно, что кроме выхода реакции, добавляется и оставшаяся кинетическая энергия, благодаря чему общая энергия, распределяемая между частицами, составляет 11,24006887 МэВ из равенства (2.7). Теперь, для распределения этих энергий достаточно воспользоваться (2.8), в этом случае, хоть и рассматривается выход уже 3 частиц, они имеют один тип, по этой причине, энергия для них распределяется равномерно, как и импульс.

И наконец остаётся определить сечение ядерной реакции и число взаимодействий - фото 9 И наконец остаётся определить сечение ядерной реакции и число взаимодействий - фото 10

И наконец, остаётся определить сечение ядерной реакции и число взаимодействий. Изначально, необходимо вычислить длину волны налетающих протонов, для этого достаточно определить их импульс через (2.10), перед этим вычислив скорость в (2.9), а затем уже длину волны в (2.11).

Переходя уже к исчислению сечений достаточно воспол - фото 11 Переходя уже к исчислению сечений достаточно воспользоваться 212 но также - фото 12 Переходя уже к исчислению сечений достаточно воспользоваться 212 но также - фото 13

Переходя уже к исчислению сечений, достаточно воспользоваться (2.12), но также необходимо использование коэффициента, о котором говорилось ранее, по этой причине применяется и (2.13), и только после вычисляется истинное сечение (2.14), для некоторых подсчётов, этот коэффициент становится равным единице, поэтому просто не указывается, но в данном случае, если подсчитать таким же образом.

Все науки 2 2022 Международный научный журнал - фото 14 Все науки 2 2022 Международный научный журнал - фото 15 Максимально возможное сечение составляет 20 кбн в данном же случае меньшее - фото 16 Максимально возможное сечение составляет 20 кбн в данном же случае меньшее - фото 17

Максимально возможное сечение составляет 20 кбн, в данном же случае меньшее сечение благодаря подобранной энергии в циклотроне. Теперь, когда сечение известно, для этой реакции, остаётся ввести число взаимодействий (2.18), перед этим вычислим число атомов на кубометр (2.15) и указав толщину пластины в 13 мкм, поскольку пробег протона (максимальное расстояние, на котором может пройти при определённой энергии) с энергией 1 МэВ составляет это значение.

А также необходимо определить в 216 начальное число бомбардирующих протонов - фото 18

А также необходимо определить в (2.16) начальное число бомбардирующих протонов, указав, что их общая сила тока 100 А, а время одного акта, который вытекает уже из параметров циклотрона, описываемый в предыдущих главах составляет 164,065 нс, что гораздо больше времени даже самой долгой реакции, откуда можно вычислить заряд, а из него уже и число протонов (2.17).

Это число всех частиц прошедших сквозь пластину и не - фото 19 Это число всех частиц прошедших сквозь пластину и не вошедших в реакцию а для - фото 20 Это число всех частиц прошедших сквозь пластину и не вошедших в реакцию а для - фото 21

Это число всех частиц, прошедших сквозь пластину и не вошедших в реакцию, а для того, чтобы вычислить те, которые вошли в реакцию, достаточно определить разность в (2.19), а затем уже вычислить из них заряд, с учётом того, что выходит именно 3 альфа-частицы, следовательно, выходящий заряд в 3 раза превышает один выходящий заряд, вместе с этим учитывая, что каждая альфа-частицы несёт в себе по 2 элементарных заряда, то заряд увеличивается ещё в 2 раза (2.20) и силу тока (2.21).

Читать дальше
Тёмная тема
Сбросить

Интервал:

Закладка:

Сделать

Похожие книги на «Все науки. №2, 2022. Международный научный журнал»

Представляем Вашему вниманию похожие книги на «Все науки. №2, 2022. Международный научный журнал» списком для выбора. Мы отобрали схожую по названию и смыслу литературу в надежде предоставить читателям больше вариантов отыскать новые, интересные, ещё непрочитанные произведения.


Отзывы о книге «Все науки. №2, 2022. Международный научный журнал»

Обсуждение, отзывы о книге «Все науки. №2, 2022. Международный научный журнал» и просто собственные мнения читателей. Оставьте ваши комментарии, напишите, что Вы думаете о произведении, его смысле или главных героях. Укажите что конкретно понравилось, а что нет, и почему Вы так считаете.

x