Гипотетико-дедуктивный метод
Во многих рассуждениях в науке индукция часто сопровождается дедукцией. В эмпирических науках индукция используется для обобщения данных, результатов наблюдения или экспериментального исследования. Заключения, полученные таким способом, представляют собой гипотезы, правильность которых в дальнейшем проверяется путем выведения логических следствий из них. После того как ученые постепенно пришли к осознанию той мысли, что индуктивная логика не может считаться безошибочным средством для открытия новых научных истин, они все больше стали обращать внимание на гипотетико-дедуктивный метод исследования. Но этот метод является не столько методом открытия, сколько способом построения и обоснования научного знания, поскольку он показывает, каким именно путем можно прийти к новой научной гипотезе. Ведь в формировании гипотезы участвует и догадка, и индукция, и воображение, и индуктивное обобщение, не говоря уже об опыте, квалификации и таланте ученого. Все эти факторы трудно или почти не поддаются логическому анализу, в связи с чем некоторые философы относят исследование таких вопросов к области психологии творчества, а задачу логики видят лишь в логической проверке гипотез, которая сводится прежде всего к дедукции (выводу) следствий из гипотез. Индукция же здесь рассматривается не столько как способ формирования новых гипотез, сколько как метод их проверки с помощью эмпирических свидетельств и сопоставления их со следствиями, выведенными из гипотез.
Истоки гипотетико-дедуктивного метода восходят к античной философии и риторике. Известно, что Сократ и Платон в своих диалогах выводили следствия из мнений и предположений, высказанных их оппонентами. Сопоставляя эти предположения с реальными фактами и твердо установленными истинами, Сократ и Платон опровергали ошибочные мнения и ходячие представления. Таким образом, проверка мнений и предположений, представляющих собой гипотезы, осуществлялась в диалогах с помощью гипотетико-дедуктивного метода, который играл важную роль в процессе убеждения и аргументации. Не случайно в современной литературе утверждают, что основанный Сократом метод диалога (диалектики) является одной из форм гипотетико-дедуктивного способа рассуждения. Правда, такой взгляд характеризует лишь некоторые внешние, формальные особенности реального диалога, в котором существенную роль играет прежде всего постановка вопросов. Ответы же выступают в виде гипотез, мнений и предложений.
По-настоящему гипотетико-дедуктивные рассуждения начали применяться впервые в точном естествознании после того, как возник экспериментальный метод исследования и связанные с ним количественные методы. Наиболее широко этот метод использовался основателями классической механики Галилеем и Ньютоном.
О том, как применялся этот метод в конкретном исследовании, свидетельствуют "Беседы и математические доказательства ..." Галилея. В них он подробно излагает способ аргументации, с помощью которого пришел к открытию и обоснованию своего важнейшего открытия - закона постоянства ускорения падающих тел. Сначала Галилей, как и его предшественники, придерживался гипотезы, что скорость падения тела (v) пропорциональна (к) пройденному пути (s), т.е. v = к s. Однако эксперимент не подтверждал ее, поэтому он принял другую гипотезу: скорость пропорциональна времени падения (t), т.е. v = g t, где g обозначает ускорение силы тяжести.
Из этой гипотезы чисто математически можно вывести заключение, что пройденный телом путь при падении пропорционален квадрату времени падения:

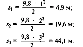
Наконец, из полученного заключения можно вывести бесчисленное множество частных следствий, если рассматривать пути, пройденные телом за 1, 2, 3 секунды:

Во всех этих формулах s обозначает путь, t - время, g = 9,8 м/с2 - ускорение свободнопадающего тела.
Полученные результаты из исследования гипотезы можно проверить непосредственными измерениями, и тем самым подтвердить не только окончательное, но и промежуточные следствия из нее.
Совокупность рассмотренных гипотез представляет собой простейший пример гипотетико-дедуктивной системы. В развитых науках обычно имеют дело с разветвленной системой гипотез, связанных между собой отношением дедукции. Если данная система будет проверена и подтверждена многочисленными опытами, то она становится научной теорией. Одним из первых образцов такой теории считают классическую механику Ньютона.
Читать дальше