Скотт Беркун - Искусство управления IT-проектами

Здесь есть возможность читать онлайн «Скотт Беркун - Искусство управления IT-проектами» — ознакомительный отрывок электронной книги совершенно бесплатно, а после прочтения отрывка купить полную версию. В некоторых случаях можно слушать аудио, скачать через торрент в формате fb2 и присутствует краткое содержание. Город: Санкт-Петербург, Год выпуска: 2014, ISBN: 2014, Издательство: Array Издательство «Питер», Жанр: foreign_comp, foreign_business, management, Прочая околокомпьтерная литература, на русском языке. Описание произведения, (предисловие) а так же отзывы посетителей доступны на портале библиотеки ЛибКат.

Искусство управления IT-проектами: краткое содержание, описание и аннотация

Предлагаем к чтению аннотацию, описание, краткое содержание или предисловие (зависит от того, что написал сам автор книги «Искусство управления IT-проектами»). Если вы не нашли необходимую информацию о книге — напишите в комментариях, мы постараемся отыскать её.

В отличие от множества трудов, посвященных руководству проектами и командами, в этой книге не проповедуются никакие новые учения и не превозносятся великие теории. Скотт Беркун считает залогом успеха практику и разнообразие подходов. В книге описываются основные сложности и проблемные ситуации, возникающие в работе менеджера проекта, даны рекомендации по выходу из них.
Издание предназначено не только для лидеров команд и менеджеров высшего звена, но и для программистов, тестеров и других исполнителей конкретных проектных заданий. Также оно будет полезно студентам, изучающим бизнес-менеджмент, проектирование изделий или программную инженерию.
Текст нового издания значительно переработан автором с целью добиться большей ясности, кроме того, книга дополнена новым приложением и более чем 120 практическими упражнениями.

Искусство управления IT-проектами — читать онлайн ознакомительный отрывок

Ниже представлен текст книги, разбитый по страницам. Система сохранения места последней прочитанной страницы, позволяет с удобством читать онлайн бесплатно книгу «Искусство управления IT-проектами», без необходимости каждый раз заново искать на чём Вы остановились. Поставьте закладку, и сможете в любой момент перейти на страницу, на которой закончили чтение.

Тёмная тема
Сбросить

Интервал:

Закладка:

Сделать

Дополнительно эти действия могут сочетаться с непосредственным запросом (как показано на рис. 16.6.). Другие возможные варианты включают способы использования требуемого вами влияния. Возможно, в присутствии Б, В и Г не возникнет необходимости или даже вообще не придется вести с А разговор по рассматриваемому вопросу. Поскольку вы пользуетесь их благоприятным мнением, можете переговорить с ними и обратиться к А со следующей фразой: «Я думаю, нам нужно исключить данную функцию. Я поговорил с Б, В и Г , и все они согласны со мной по этому вопросу». Конечно же, следует как можно точнее передать все ими сказанное и всегда стараться уладить вопрос в присутствии этих людей (намеренно возвращаясь к предыдущему разговору).

Рис 166Атака с флангов Многоступенчатое влияние Когда вы можете вступить - фото 59

Рис. 16.6.Атака с флангов

Многоступенчатое влияние

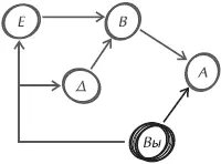
Когда вы можете вступить в контакт с нужными людьми, опуститесь на одну ступень вниз по цепочке влияния или по иерархической лестнице. Если В – единственный, к кому может прислушаться А , но вы не в состоянии добиться аудиенции В , найдите людей, имеющих наибольшее влияние на В . Затем вступите в контакт с ними и изложите суть своего вопроса. С этой позиции вы можете двинуться дальше, до тех пор, пока ваше влияние не достигнет нужной цели (рис. 16.7).

Рис 167Многоступенчатое влияние Косвенное влияние В некоторых случаях - фото 60

Рис. 16.7.Многоступенчатое влияние

Косвенное влияние

В некоторых случаях лучше всего оказать влияние на власть предержащих путем запуска какого-то механизма, оставаясь при этом за сценой. Возможно, А находится двумя и более ступенями выше в вашей организационно-штатной структуре, и он может негативно отреагировать на прямое обращение к нему людей вашего уровня. Или же вы просто не нравитесь А, или он в данный момент на вас за что-то обижен (и вы думаете, что он не сможет отнестись к вам объективно).

В подобной ситуации следует заручиться поддержкой другого человека, чтобы он сделал запрос за вас. В этой роли может выступить ваш непосредственный начальник, коллега по команде или работающий на А человек, которому случается оказывать влияние на А в подобных вопросах.

Наименее изощренным способом решения задачи является проведение переговоров. Поговорите с В и посмотрите, согласится ли он с вами. Если согласится, спросите, не смог бы он поговорить об этом с А (рис. 16.8). Когда он пойдет к А , он не должен вводить А в заблуждение или лгать: он должен привести доводы, исходя из собственных позиций, поскольку он и в самом деле согласился с вами и с правомерностью вашего запроса. Если затем А потребует переговоров с вами или вы сами чуть позже попросите его аудиенции, ваши доводы будут полновеснее за счет влияния, оказанного В .

Рис 168Косвенное влияние Совещания На совещаниях создается довольно - фото 61

Рис. 16.8.Косвенное влияние

Совещания

На совещаниях создается довольно сложная политическая ситуация. Любой присутствующий может высказаться и задать вопросы, оказывая тем самым такое политическое влияние на дискуссию, которое может осложнить ситуацию. Если предстоит принимать какие-нибудь сложные решения, то до начала совещания нужно обязательно оценить, кто на нем будет присутствовать. Перед совещанием подумайте о том, какие вопросы на нем, скорее всего, будут подняты и какие варианты ответов захочется услышать каждому из присутствующих. Хорошее знание участников позволит дать неплохую оценку ожидаемому развитию событий и самостоятельно ко всему подготовиться. Если такой возможности нет, нужно навести справки. Попросите влиятельных людей, чье присутствие ожидается, поделиться своим мнением до начала совещания. Изучите заранее их отношение к обсуждаемым проблемам и самые важные вопросы, которые могут быть заданы, а затем либо внесите изменения, если это возможно, либо выстройте линию защиты существующего у вас плана. Если вы сами готовите повестку дня, внесите в нее соответствующие изменения.

Иногда инициатива собрать совещание может быть единственным средством поднять вопрос применения властных полномочий. Электронная почта для решения сложных и острых проблем вряд ли подойдет. Поводом для совещания может стать определение, что Салли нужно одновременно услышать мнение Боба и Майка, дабы убедиться, что к вашим рекомендациям стоит прислушаться. Эффективное проведение совещаний является своего рода искусством (см. главу 10), но в данный момент нужно уяснить, что чем лучше вы подготовитесь к ответам на возможные вопросы и к предстоящим дебатам, тем легче будет вести совещание без эксцессов и в нужном для вас направлении (рис. 16.9).

Читать дальше
Тёмная тема
Сбросить

Интервал:

Закладка:

Сделать

Похожие книги на «Искусство управления IT-проектами»

Представляем Вашему вниманию похожие книги на «Искусство управления IT-проектами» списком для выбора. Мы отобрали схожую по названию и смыслу литературу в надежде предоставить читателям больше вариантов отыскать новые, интересные, ещё непрочитанные произведения.


Скотт Беркун - Откровения оратора
Скотт Беркун
Скотт Беркун - Сделано
Скотт Беркун
Отзывы о книге «Искусство управления IT-проектами»

Обсуждение, отзывы о книге «Искусство управления IT-проектами» и просто собственные мнения читателей. Оставьте ваши комментарии, напишите, что Вы думаете о произведении, его смысле или главных героях. Укажите что конкретно понравилось, а что нет, и почему Вы так считаете.