Синклер Льюис - Бэббит; Эроусмит

Здесь есть возможность читать онлайн «Синклер Льюис - Бэббит; Эроусмит» — ознакомительный отрывок электронной книги совершенно бесплатно, а после прочтения отрывка купить полную версию. В некоторых случаях можно слушать аудио, скачать через торрент в формате fb2 и присутствует краткое содержание. Город: Москва, Год выпуска: 1973, Издательство: Художественная литература», 1973, Жанр: Классическая проза, на русском языке. Описание произведения, (предисловие) а так же отзывы посетителей доступны на портале библиотеки ЛибКат.

Бэббит; Эроусмит: краткое содержание, описание и аннотация

Предлагаем к чтению аннотацию, описание, краткое содержание или предисловие (зависит от того, что написал сам автор книги «Бэббит; Эроусмит»). Если вы не нашли необходимую информацию о книге — напишите в комментариях, мы постараемся отыскать её.

Романы "Бэббит" и "Эроусмит", публикуемые в этой книге, широко признаны как лучшие произведения Синклера Льюиса (1885–1951). Они в бескомпромиссно критическом свете показывают то, что принято называть "американским образом жизни".
Перевод Р. Райт-Ковалевой и Н. Вольпин.
Вступительная статья Т. Мотылевой.
Примечания Б. Гиленсона.
Иллюстрации Е. Шукаева.

Бэббит; Эроусмит — читать онлайн ознакомительный отрывок

Ниже представлен текст книги, разбитый по страницам. Система сохранения места последней прочитанной страницы, позволяет с удобством читать онлайн бесплатно книгу «Бэббит; Эроусмит», без необходимости каждый раз заново искать на чём Вы остановились. Поставьте закладку, и сможете в любой момент перейти на страницу, на которой закончили чтение.

Тёмная тема
Сбросить

Интервал:

Закладка:

Сделать

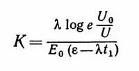
В опубликованном мною предварительном сообщении я указывал на ясно выраженное качественное разрушительное действие, оказываемое радиацией эманаций радия на бактериофаг анти-Шига. В настоящей статье доказывается, что икс-лучи, гамма-лучи и бета-лучи производят идентичное инактивирующее воздействие на названный бактериофаг. Далее доказывается, что существует количественное соотношение между инактивацией и радиациями, ею производимыми. Выводы, полученные из количественного анализа, позволяют утверждать, что процент инактивации, измеряемый путем определения единиц бактериофага, остающихся после иррадиации взвеси определенной вирулентности гамма- и бета-лучами, есть функция двух переменных величин: милликюри-единиц и времени. Следующее уравнение дает количественное выражение данным, полученным путем эксперимента:

Когда директор Холаберд увидел статью Йио съехидничал принес ему ее и спросил - фото 17

Когда директор Холаберд увидел статью (Йио съехидничал: принес ему ее и спросил его мнение), он сказал:

— Блестяще, о, прямо, скажу я, блестяще! Пока, дружок, я имел возможность только бегло ее просмотреть, но я, конечно, прочту ее самым внимательным образом, как только мне удастся выкроить хоть одну свободную минуту.

Глава XXXVII

1

Мартин не виделся с Джойс Ленион много недель после своего возвращения в Нью-Йорк. Она как-то раз пригласила его на обед, но он не мог прийти, и больше она о себе не напоминала.

Определение осмотических давлений, как ни увлекся он им, не могло его удовлетворить, когда он сидел в своем неуютном номере и превращался из доктора Эроусмита в одинокого человека, которому не с кем слова сказать. Он вспоминал, как сидели они у лагуны в теплых сумерках. И раз он ей позвонил и спросил, нельзя ли ему зайти к ней на чашку чая.

Он смутно знал, что Джойс богата, но после того, как он видел ее за стряпней в ситцевом фартуке на кухне сентсвитинской богадельни, он не мог составить себе понятия о ее общественном положении; и ему стало неловко, когда он, чувствуя на себе лабораторную пыль, попал в ее пышный дом и нашел ее нежноголосой властительницей множества слуг. Дом ее был дворец, а дворцы — от совсем маленького, как у Джойс, особняка на восемнадцать комнат и до Букингемского дворца или громадного Фонтенебло — все одинаковы: они задыхаются в преизбытке гордости, они так законченны, что не запомнишь отдельных пленительных мелочей, их не отличить друг от друга, так они все полны любезного и неуютного величия, и поэтому все они до крайности скучны.

Но среди претенциозной роскоши, нагроможденной Роджером Ленионом, Джойс не была скучна. Возможно, ей доставляло удовольствие показывать Мартину, что она собою представляет: появлялись без конца лакеи и все новые виды бутербродов, а Джойс хвалилась: «Когда я сажусь пить чай, я никогда не знаю, что мне к нему подадут».

Но она его приветствовала возгласом:

— Вид у вас значительно лучше. Я страшно рада. Вы все еще мой брат? А ведь я была хорошей кухаркой в богадельне — правда?

Окажись он там, на острове, любезен и остроумен, он не возбудил бы в ней большого интереса. Она знала слишком много остроумных и благовоспитанных людей, гладких, как слоновая кость, и со знанием дела помогавших ей тратить те четыре или пять миллионов долларов, которыми она была обременена. Но Мартин был одновременно и ученым, делавшим почти интересными формулы осмотических давлений, быстрым и сильным человеком, которого она легко могла вообразить бегущим или ласкающим женщину, и одиноким юнцом, наивно полагавшим, что здесь, в мягком спокойствии своего дома, она все еще та девочка, которая сидела с ним у лагуны, та смелая женщина, что пришла к нему в его пьяную комнату в Блекуотере.

Джойс Ленион умела заставить мужчину разговориться. Больше благодаря ей, чем собственному дарованию рассказчика, он сумел с живостью обрисовать институт, его сотрудников, их распри и драматизм погони по следу научного открытия.

Ее спокойное существование в Нью-Йорке казалось пресным после опасностей Сент-Губерта, и Мартин радостно возбуждал ее своим презрением к комфорту и наградам.

Он заходил временами к чаю, к обеду; познакомился с укладом ее дома, с ее слугами, с наиболее умными — почти совсем умными — из ее друзей. Иные из них ему нравились, и возможно, что он им нравился тоже. С одним ее другом у Мартина шла скрытая война. То был Латам Айрленд, до омерзения хорошо одетый мужчина лет пятидесяти, дельный адвокат, любивший стоять перед камином и напускать на себя спокойно-умный вид. Он очаровывал Джойс, говоря ей, что она загадочная натура, а затем разъясняя, что в ней загадочно.

Читать дальше
Тёмная тема
Сбросить

Интервал:

Закладка:

Сделать

Похожие книги на «Бэббит; Эроусмит»

Представляем Вашему вниманию похожие книги на «Бэббит; Эроусмит» списком для выбора. Мы отобрали схожую по названию и смыслу литературу в надежде предоставить читателям больше вариантов отыскать новые, интересные, ещё непрочитанные произведения.


Отзывы о книге «Бэббит; Эроусмит»

Обсуждение, отзывы о книге «Бэббит; Эроусмит» и просто собственные мнения читателей. Оставьте ваши комментарии, напишите, что Вы думаете о произведении, его смысле или главных героях. Укажите что конкретно понравилось, а что нет, и почему Вы так считаете.