Вадим Романов - Прикладные аспекты аварийных выбросов в атмосферу
Здесь есть возможность читать онлайн «Вадим Романов - Прикладные аспекты аварийных выбросов в атмосферу» — ознакомительный отрывок электронной книги совершенно бесплатно, а после прочтения отрывка купить полную версию. В некоторых случаях можно слушать аудио, скачать через торрент в формате fb2 и присутствует краткое содержание. Город: Москва, Год выпуска: 2006, ISBN: 2006, Издательство: Физматкнига, Жанр: sci_ecology, на русском языке. Описание произведения, (предисловие) а так же отзывы посетителей доступны на портале библиотеки ЛибКат.
- Название:Прикладные аспекты аварийных выбросов в атмосферу
- Автор:
- Издательство:Физматкнига
- Жанр:
- Год:2006
- Город:Москва
- ISBN:978-5-89155-166-2
- Рейтинг книги:4 / 5. Голосов: 1
-
Избранное:Добавить в избранное
- Отзывы:
-
Ваша оценка:
Прикладные аспекты аварийных выбросов в атмосферу: краткое содержание, описание и аннотация
Предлагаем к чтению аннотацию, описание, краткое содержание или предисловие (зависит от того, что написал сам автор книги «Прикладные аспекты аварийных выбросов в атмосферу»). Если вы не нашли необходимую информацию о книге — напишите в комментариях, мы постараемся отыскать её.
Изучается динамика аварийных турбулентных выбросов при наличии атмосферной диффузии, характер расширения турбулентных струйных потоков, их сопротивление в сносящем ветре, эволюция выбросов в реальной атмосфере при наличии инверсионных задерживающих слоев.
Классифицируются и анализируются возможные аварии с выбросами в атмосферу загрязняющих и токсичных веществ в газообразной, жидкой или твердой фазах, приводятся факторы аварийных рисков.
Рассмотрены аварии, связанные с выбросами токсикантов в атмосферу, описаны математические модели аварийных выбросов. Показано, что все многообразие антропогенных источников загрязнения атмосферного воздуха при авариях условно может быть разбито на отдельные классы по типу возникших выбросов и характеру движения их вещества. В качестве источников загрязнений рассмотрены пожары, взрывы и токсичные выбросы. Эти источники в зависимости от специфики подачи рабочего тела в окружающее пространство формируют атмосферные выбросы в виде выпадающих на поверхность земли твердых или жидких частиц, струй, терминов и клубов, разлитий, испарительных объемов и тепловых колонок. Рассмотрены экологические опасности выбросов при авариях и в быту.
Книга содержит большой иллюстративный материал в виде таблиц, графиков, рисунков и фотографий, который помогает читателю разобраться в обсуждаемых вопросах. Она адресована широкому кругу людей, чей род деятельности связан преимущественно с природоохранной тематикой: инженерам, научным работникам, учащимся и всем тем, кто интересуется экологической и природозащитной тематикой.
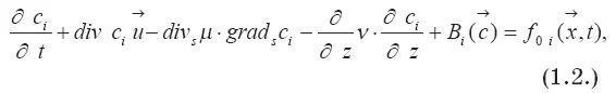
— концентрация примесей;
— вектор скорости с компонентами u,v,w в направлении пространственных координат
соответственно;
— операторы трансформации примесей;
— источники примесей (одновременно учитываются источники естественного и антропогенного происхождения).
реализуются покомпонентно, т. е. уравнение (1.2) представляет собой систему n уравнений в частных производных. Оператор
— в общем случае нелинейный. Он определяет скорость изменения концентраций c iза счёт химических и фотохимических реакций. Скорости вертикального движения частиц (оседания или всплытия) учитываются функцией w. Примеси — многокомпонентны, количество компонент — входной параметр модели. На практике параметр модели определяется количеством химических веществ, участвующих в реакциях.
— источники и стоки примесей на верхней и нижней границах области D.
. Причем вектор концентраций
включается в вектор-функцию состояния системы в целом, а коэффициенты уравнений (1.2) и граничных условий (1.4), (1.5), а также начальные условия (1.3), функции источников
и константы скоростей газофазных реакций в операторе
включаются в вектор параметров.