Исай Давыдов - Запрограммированное развитие всего мира

Здесь есть возможность читать онлайн «Исай Давыдов - Запрограммированное развитие всего мира» — ознакомительный отрывок электронной книги совершенно бесплатно, а после прочтения отрывка купить полную версию. В некоторых случаях можно слушать аудио, скачать через торрент в формате fb2 и присутствует краткое содержание. Год выпуска: 2005, ISBN: 2005, Жанр: Религиоведение, Философия, Прочая научная литература, на русском языке. Описание произведения, (предисловие) а так же отзывы посетителей доступны на портале библиотеки ЛибКат.

Запрограммированное развитие всего мира: краткое содержание, описание и аннотация

Предлагаем к чтению аннотацию, описание, краткое содержание или предисловие (зависит от того, что написал сам автор книги «Запрограммированное развитие всего мира»). Если вы не нашли необходимую информацию о книге — напишите в комментариях, мы постараемся отыскать её.

На общедоступном русском языке в этой книге впервые излагается современная научная теория запрограммированного возникновения и развития всего мира.
Не было ничего: ни Земли, ни неба; ни Солнца, ни звезд; ни галактик, ни вселенных; ни пространства, ни времени и ничего такого, что могло бы существовать в пространстве и времени.
Только лишь один-единственный Абсолютный Бог существует в абсолютной вечности вне всякого относительного пространства и вне всякого относительного времени.
И «сказал» Бог: сотворю человека по образу и подобию своему для того, чтобы было мне кого любить. Для проживания и развития объекта любви моей (то есть для человека) сотворю я пространство. Поэтому создал Бог бесконечное множество законов бытия, полный свод которых представляет собой единую программу возникновения и всеобщего развития всего мира. Согласно этой программе, в начале сотворил Бог пространство и время, а затем душу человеческую, которая может развиваться вечно в относительном пространстве и относительном времени.
Нашу физическую Вселенную Бог сотворил для развития души человеческой и для ее испытания на соблазн. Научно доказано, что масса физической вселенной равна идеальному нулю. Это значит, что ее объективно нет. А жизнь человека на Земле представляет собой всего лишь «коллективный сон» человеческих душ, проживающих в идеальном мире.

Запрограммированное развитие всего мира — читать онлайн ознакомительный отрывок

Ниже представлен текст книги, разбитый по страницам. Система сохранения места последней прочитанной страницы, позволяет с удобством читать онлайн бесплатно книгу «Запрограммированное развитие всего мира», без необходимости каждый раз заново искать на чём Вы остановились. Поставьте закладку, и сможете в любой момент перейти на страницу, на которой закончили чтение.

Тёмная тема
Сбросить

Интервал:

Закладка:

Сделать

3. Относительность массы и энергии.

Законы природы одинаковы во всех системах координат, движущихся прямолинейно и равномерно друг относительно друга. Следовательно, силы F, ускорения «а» и скорости v одинаковы для всех инерциальных систем отсчета. Поэтому сила F всегда равна произведению массы на ускорение «а». Тогда для подвижной системы релятивистская (относительная) масса равна:

m =F/a = (Ft)/v.

Для неподвижной системы масса покоя равна:

m 0= F/a = (Ft 0)/v.

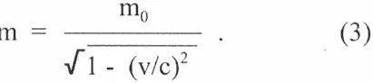
Разделим первое уравнение на второе и получим, что m/m 0= t/t 0или:

Согласно специальной теории относительности полная энергия движущегося тела - фото 5

Согласно специальной теории относительности, полная энергия движущегося тела равна:

Величину Е 0 m 0с 25 принято называть энергией покоя Тогда выражение полной - фото 6

Величину

Е 0= m 0с 2(5)

принято называть энергией покоя. Тогда выражение полной энергии (4) можно переписать в следующем виде:

В отличие от массы покоя m 0 величина m называется релятивистской массой или - фото 7

В отличие от массы покоя m 0, величина m называется релятивистской массой, или просто массой. Под такого рода массой здесь понимается количественная мера той суммарной материи, которая содержится в физическом объекте, движущемся относительно рассматриваемой системы отсчета с некоторой скоростью v. Для разных инерциальных систем отсчета одно и то же физическое тело обладает одинаковой массой покоя, но различной релятивистской массой. Это недвусмысленно означает, что количество суммарной материи, из которой состоит данное конкретное физическое тело, является не абсолютной, а относительной величиной, зависящей от положения наблюдателя.

В отличие от релятивистской энергии Е, величина Е 0называется энергией покоя. Для разных систем отсчета одно и то же физическое тело обладает одинаковой энергией покоя, но различной релятивистской энергией. Это недвусмысленно означает, что количество релятивистской энергии Е, которая содержится в том или ином физическом теле, является не абсолютной, а относительной величиной, зависящей от положения наблюдателя, хотя энергия невесомых частиц для всех систем отсчета одинакова.

Современная наука различает два вида энергии: физическую и духовную. Каждая из них может быть и положительной и отрицательной. Если специально не оговорено, то под энергией обычно понимают физическую энергию, а не духовную. Поэтому просто энергией (или физической энергией) принято называть общую меру физической работоспособности (классическое определение). В то же время из уравнений (5) и (6) видно, что энергия пропорциональна массе и поэтому является ее мерой. Следовательно, энергия есть обобщенная мера не только различных физических форм движения и взаимодействия (Е – Е 0), которую мы называем энергией относительного движения. Она является также и количественной мерой материи Е 0, которая содержится в любом рассматриваемом весомом объекте и которая в определенных условиях может совершить конкретную физическую работу.

Из уравнения (3) видно, что если бы в распоряжении субъекта, определяющего массу объекта в чужой инерциальной системе отсчета, были сигналы или информация, распространяемая и принимаемая с бесконечно большими скоростями «с», то относительная (релятивистская) масса была бы равна массе покоя, то есть если с = ∞, то m = m 0.

Однако такие сигналы невозможны, ибо уже при скоростях, близких к световой, весомое вещество теряет массу покоя (т о=0) и превращается в чистую невесомую энергию.

4. Относительность координат.

Специальная теория относительности установила, что «окружающий нас мир представляет собой четырехмерный пространственно-временной континуум», см. ([94] стр. 558). Это значит, что он складывается из отдельных элементов, каждый из которых описывается четырьмя числами, а именно: тремя пространственными координатами и одной временной координатой.

Если бы в нашем распоряжении были сигналы с бесконечно большими скоростями и если бы систему координат можно было закрепить абсолютно неподвижно, то координаты четырехмерного пространственно-временного континуума можно было бы считать также абсолютными. Однако мы не имеем никакой практической возможности сделать это, потому что любая система координат во Вселенной находится в состоянии непрерывного движения как во времени, так и в пространстве. Поэтому здесь речь идет о четырехмерности пространственно-временного континуума только лишь относительно какой-то физической системы координат, положение которой относительно другой системы координат определяется другими четырьмя координатами, и т. д. Если мы изучаем не одну, а «n» взаимосвязанных материальных систем, то, на первый взгляд, нам кажется, что количество измерений пространственно-временного континуума возрастает во Вселенной в «n» раз.

Читать дальше
Тёмная тема
Сбросить

Интервал:

Закладка:

Сделать

Похожие книги на «Запрограммированное развитие всего мира»

Представляем Вашему вниманию похожие книги на «Запрограммированное развитие всего мира» списком для выбора. Мы отобрали схожую по названию и смыслу литературу в надежде предоставить читателям больше вариантов отыскать новые, интересные, ещё непрочитанные произведения.


Отзывы о книге «Запрограммированное развитие всего мира»

Обсуждение, отзывы о книге «Запрограммированное развитие всего мира» и просто собственные мнения читателей. Оставьте ваши комментарии, напишите, что Вы думаете о произведении, его смысле или главных героях. Укажите что конкретно понравилось, а что нет, и почему Вы так считаете.