Василий Чибисов - Вся фигня – от мозга?! Простая психосоматика для сложных граждан

Здесь есть возможность читать онлайн «Василий Чибисов - Вся фигня – от мозга?! Простая психосоматика для сложных граждан» — ознакомительный отрывок электронной книги совершенно бесплатно, а после прочтения отрывка купить полную версию. В некоторых случаях можно слушать аудио, скачать через торрент в формате fb2 и присутствует краткое содержание. Город: Москва, Год выпуска: 2017, ISBN: 2017, Издательство: Литагент АСТ, Жанр: psy_personal, psy_generic, на русском языке. Описание произведения, (предисловие) а так же отзывы посетителей доступны на портале библиотеки ЛибКат.

Вся фигня – от мозга?! Простая психосоматика для сложных граждан: краткое содержание, описание и аннотация

Предлагаем к чтению аннотацию, описание, краткое содержание или предисловие (зависит от того, что написал сам автор книги «Вся фигня – от мозга?! Простая психосоматика для сложных граждан»). Если вы не нашли необходимую информацию о книге — напишите в комментариях, мы постараемся отыскать её.

Бессонница, панические атаки, лишний вес, заболевания на нервной почве, интимные проблемы – в обиходе эти явления принято называть психосоматическими. С этими вопросами мы приходим к психологу, психотерапевту, психоаналитику, иногда к психиатру – лишь бы была заветная приставка «психо». И ждём ответов. А вместо ответов – сплошные сюрпризы, потому что «психо» вам в этих вопросах не помощники.
Читателю предлагается утонченная, оригинальная и в меру ироничная концепция психосоматических проблем. Двигаясь от грязной нейронной конкретики к чистым психоаналитическим абстракциям, мы познакомимся с вопросами свободной речи, агрессии, социофобии, ложного Сверх-Я, сепарации, психиатрической власти. Для пущей убедительности всю теорию приправим пикантными случаями из практики. И вы, возможно, наконец поймёте, что это за зверь такой – психосоматика.

Вся фигня – от мозга?! Простая психосоматика для сложных граждан — читать онлайн ознакомительный отрывок

Ниже представлен текст книги, разбитый по страницам. Система сохранения места последней прочитанной страницы, позволяет с удобством читать онлайн бесплатно книгу «Вся фигня – от мозга?! Простая психосоматика для сложных граждан», без необходимости каждый раз заново искать на чём Вы остановились. Поставьте закладку, и сможете в любой момент перейти на страницу, на которой закончили чтение.

Тёмная тема
Сбросить

Интервал:

Закладка:

Сделать

Второй сценарий

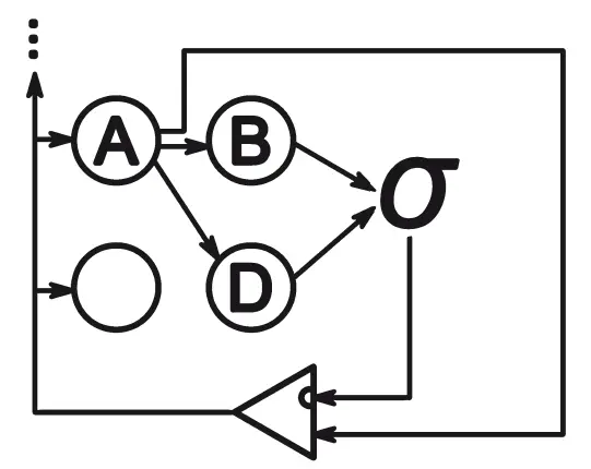
Всё то же самое, но подождите, что это за паразитная связь? Почему нейрон А вдруг посылает сигнал не только нейрону В, но и нейрону D? А вот так. Ассоциативная связь, сэр. Травматический опыт, замещение, стресс, бессознательное воздействие рекламы, просто информационный шум. Причин может быть множество. Важен эффект. Теперь, когда возбуждается нейрон А, его импульс распространяется не только по генеральной линии А – В–сигма, но и по линии А – D–сигма.

Рис 28 Схема с паразитной ассоциативной связью Но сигма это не отдельный - фото 12

Рис. 2.8. Схема с паразитной ассоциативной связью

Но сигма – это не отдельный нейрон, это целая система. Поэтому субъект, помимо полезной активности, совершает бесполезные (или вредные) действия. Вот так шли вы на кухню за водичкой, а вернулись в спальню с тремя плитками шоколада. Кто виноват? Водичка виновата.

Без паники. Треугольник не дремлет. На его вход подаётся (по-прежнему) всего один положительный сигнал от нейрона А (нейрон С спит, поэтому от него на треугольник приходит ноль). Отрицательный сигнал стал в два раза больше, что сигнализирует о какой-то подозрительно бурной деятельности со стороны сигмы. Минус побеждает, и второй слой получает команду остановиться и положить шоколадку на место. Или отказаться от стакана воды. Тут как повезёт.

Третий сценарий

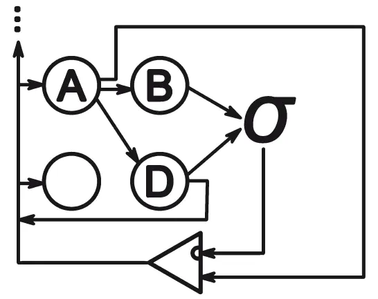
А вот теперь происходит безобразие. Нейрон D, который был случайно вовлечен в мошенническую схему с шоколадом, вдруг начинает испытывать чувство вины. Он мало того что возбуждается, так ещё и даёт обратную связь прямо нейрону А. Мол, прости, виноват.

Рис 29 Схема с паразитной петлей самовозбуждения от нейрона D к нейрону А К - фото 13

Рис. 2.9. Схема с паразитной петлей самовозбуждения от нейрона D к нейрону А

К чему это приводит? Конечно, к сбою механизма работы над ошибками. Треугольник теперь бесполезен. Вернее, он полезен, но его забьёт сигнал от нейрона D. Потому что разностный сигнал почти всегда слабееобычного сигнала. И если нейрон своё чувство вины выражает в чистом возбуждении, то нейрон А получает на вход ещё больше потенциала. И поедание шоколада продолжается усиленными темпами. Если же нейрону D хватит ума подогнать к синапсу с А тормозящие медиаторы, что ж… Человек вернётся из кухни ни с чем. Бросит пить.

И это не смешно. Одна клиентка так и говорила: «Я боюсь ходить на кухню за водой, потому что в холодильнике меня ждёт шоколад». И держала у себя в комнате пятилитровую канистру с водой. Психоанализ помог распутать эту проблему. К великой радости всех любителей открыть дверцу холодильника и позагорать под лампочкой с печальным видом. Но прибережём хеппи-энды для красивого завершения главы.

Мы поняли, как важна для психики обратная связь и как она беспомощна перед перехватом со стороны особо буйных нейронов. Осталось понять, как её починить.

Кстати, будь у нас всего одна извилина (один слой нейронов), то никаких перекрестных связей не могло бы возникнуть в принципе. Ведь нейроны могут связываться только с соседями из соседних слоев. Поэтому если вы страдаете от лёгкой психосоматики, то вас нужно поздравить. Вы – как минимум! – не примитивны.

Дополнение для внимательных

Возвращаемся к треугольному безобразию. Как же так? Мы говорили, что на выходе нейрона либо ноль, либо единица, а тут прямо на выходе идут отрицательные сигналы! И ещё мы говорили, что на входе должна быть достаточно большая сумма. Если подавать на вход отрицательный импульс, это только затормозит нейрон, но никак не побудит к действию.

Поэтому мы специально пометили особенный нейрон треугольником. Это группа обычных нейронов. К ним на вход приходят сигналы и от А, и от σ. Но часть нейронов группы принимает сигналы от А с плюсом, а от σ с минусом. Другая часть – наоборот. Следовательно, когда импульс А достаточно больше сигмы, просыпается первая подгруппа, вторая спит. В обратном случае – наоборот. В остальных случаях (когда А и сигма не сильно отличаются) спят обе подгруппы. В простейшем случае в каждой подгруппе по одному нейрону.

Рис 210 Принцип действия обратной связи а Пример взаимодействия с нейроном - фото 14

Рис. 2.10. Принцип действия обратной связи. а) Пример взаимодействия с нейроном А. Кружочком у нейронов обозначен тормозящий вход, то есть дендрит, где господствуют тормозящие медиаторы. б) Действие обратной связи на нейрон А, в зависимости от разности между активностью нейрона А и активностью сигмы

Читать дальше
Тёмная тема
Сбросить

Интервал:

Закладка:

Сделать

Похожие книги на «Вся фигня – от мозга?! Простая психосоматика для сложных граждан»

Представляем Вашему вниманию похожие книги на «Вся фигня – от мозга?! Простая психосоматика для сложных граждан» списком для выбора. Мы отобрали схожую по названию и смыслу литературу в надежде предоставить читателям больше вариантов отыскать новые, интересные, ещё непрочитанные произведения.


Отзывы о книге «Вся фигня – от мозга?! Простая психосоматика для сложных граждан»

Обсуждение, отзывы о книге «Вся фигня – от мозга?! Простая психосоматика для сложных граждан» и просто собственные мнения читателей. Оставьте ваши комментарии, напишите, что Вы думаете о произведении, его смысле или главных героях. Укажите что конкретно понравилось, а что нет, и почему Вы так считаете.

x