Иван Трещев - Базы данных. Учебное пособие. Для студентов

Здесь есть возможность читать онлайн «Иван Трещев - Базы данных. Учебное пособие. Для студентов» — ознакомительный отрывок электронной книги совершенно бесплатно, а после прочтения отрывка купить полную версию. В некоторых случаях можно слушать аудио, скачать через торрент в формате fb2 и присутствует краткое содержание. ISBN: , Жанр: Прочая научная литература, Прочая околокомпьтерная литература, на русском языке. Описание произведения, (предисловие) а так же отзывы посетителей доступны на портале библиотеки ЛибКат.

Базы данных. Учебное пособие. Для студентов: краткое содержание, описание и аннотация

Предлагаем к чтению аннотацию, описание, краткое содержание или предисловие (зависит от того, что написал сам автор книги «Базы данных. Учебное пособие. Для студентов»). Если вы не нашли необходимую информацию о книге — напишите в комментариях, мы постараемся отыскать её.

В книге кратко рассмотрены теоретические вопросы проектирования баз данных. Приведены примеры лабораторных работ и рассчетно-графического задания, опробированные в учебном процессе ВУЗа. Книга будет полезна как преподавателям, так и студентам, а также всем заинтересованным в проектировании, реализации и тестировании информационных систем.

Базы данных. Учебное пособие. Для студентов — читать онлайн ознакомительный отрывок

Ниже представлен текст книги, разбитый по страницам. Система сохранения места последней прочитанной страницы, позволяет с удобством читать онлайн бесплатно книгу «Базы данных. Учебное пособие. Для студентов», без необходимости каждый раз заново искать на чём Вы остановились. Поставьте закладку, и сможете в любой момент перейти на страницу, на которой закончили чтение.

Тёмная тема
Сбросить

Интервал:

Закладка:

Сделать

Определение второй нормальной формы(2НФ): отношение r находится во 2НФ, если оно находится в 1НФ и если каждый его атрибут, не являющийся основным атрибутом, функционально полно зависит от первичного ключа этого отношения.

Определение третьей нормальной формы(3НФ): отношение r находится в 3НФ, если оно является отношением во 2НФ и каждый его атрибут, не являющийся основным, не транзитивно зависит от первичного ключа этого отношения.

Транзитивная зависимость определяется следующим образом: если X -> Y и Y -> Z, то X -> Z (Z транзитивно зависит от X).

A B C A B D C D C E Первичный ключ AB Отношение - фото 1

A, B -> C

A, B -> D

C -> D

C -> E

Первичный ключ: AB.

Отношение находится в 1НФ, поскольку все атрибуты имеют атомарные значения.

Отношение находится во 2НФ, т.к. все атрибуты функционально полно зависят от первичного ключа отношения.

Так как A, B -> C; C -> E, т. е. E транзитивно зависит от первичного ключа, значит отношение не находится в 3НФ.

Отношение находится в НФБКесли каждый детерминант отношения является его возможным ключом.

Детерминант – это атрибут, от которого зависит другой атрибут.

Отношение r находится в 4НФтогда и только тогда, когда при существовании многозначной зависимости в r атрибута Y от атрибута X, все остальные атрибуты r функционально зависят от Х.

Атрибут Х многозначноопределяет атрибут Y, если с каждым значением x может использоваться значение y из фиксированного подмножества значений Y. Обозначается: X ↠ Y.

Избыточнойфункциональной зависимостью называют зависимость, заключающую в себе такую информацию, которая может быть получена на основе других зависимостей из числа использованных при проектировании БД.

Пусть r – отношение со схемой R,

w, x, y, z – подмножества R.

1-я аксиома вывода. Рефлексивность.

В r всегда имеет место Х -> Х

2-я аксиома вывода. Пополнение.

Если r удовлетворяет Х -> Y, то r удовлетворяет F-зависимости XZ -> Y

3-я аксиома вывода. Аддитивность(так же известна под названием – объединение).

Если отношение r удовлетворяет X -> Y и X -> Z, то r удовлетворяет F-зависимости Х -> YZ. (можно объединить правые части)

4-я аксиома вывода. Проективность.

Если отношение r удовлетворяет X -> YZ, то r удовлетворяет X -> Y и X -> Z.

(разбиваем совокупность)

5-я аксиома вывода. Транзитивность.

Х -> Y и Y -> Z влечет за собой X -> Z. (избыточная транзитивная зависимость может быть удалена)

6-я аксиома вывода. Псевдотранзитивность.

Если r удовлетворяет зависимостям X -> Y и YZ -> W, то r удовлетворяет XZ -> W.

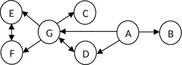
Исходная диаграмма функциональных зависимостей:

A B A D A G D G G D G C G F G E E F F E - фото 2

A -> B; A -> D; A -> G,

D -> G,

G -> D; G -> C; G -> F; G -> E,

E -> F,

F -> E

Удалим из исходного набора функциональных зависимостей все избыточные:

– т. к. A -> D, D -> G, то A -> G – исключим по аксиоме транзитивности

– т. к. G -> E, E -> F, то G -> F исключим по аксиоме транзитивности

– т. к. G -> E, G -> C, то по аксиоме аддитивности G -> E, C

– т. к. A -> B; A -> D, то по аксиоме аддитивности A -> D, B

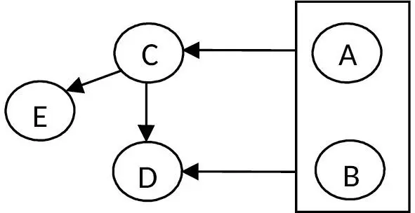
Окончательная диаграмма функциональных зависимостей:

Пример проектирования методом декомпозиции БД интернетмагазин Уточнив вопрос - фото 3

Пример проектирования методом декомпозиции БД интернет-магазин.

Уточнив вопрос о том какую информацию следует хранить в базе данных, определим все атрибуты, представляющие интерес для проектируемой базы данных. Это: для каждого товара его код, название, цена, процентная скидка; ФИО, адрес, телефон каждого клиента; для каждого заказа его код, сумма, дата выполнения и количество товара для каждого заказанного названия.

Применим для всех атрибутов краткие обозначения:

Название товара – НТ

Цена товара – ЦТ

Процентная скидка на товар – ПСТ

Код клиента – КК

ФИО клиента – ФИО

Адрес клиента – АК

Телефон клиента – ТК

Код заказа – КЗ

Сумма заказа – СЗ

Дата выполнения заказа – ДВЗ

Количество товара для каждого заказанного названия – КТЗ.

Универсальное отношение будет иметь вид: r (НТ, ЦТ, ПСТ, КК, ФИО, АК, ТК, КЗ, СЗ, ДВЗ, КТЗ).

Определив все функциональные зависимости, имеющиеся между атрибутами универсального отношения, построим диаграмму функциональных зависимостей (см. рис. 1.1).

Читать дальше
Тёмная тема
Сбросить

Интервал:

Закладка:

Сделать

Похожие книги на «Базы данных. Учебное пособие. Для студентов»

Представляем Вашему вниманию похожие книги на «Базы данных. Учебное пособие. Для студентов» списком для выбора. Мы отобрали схожую по названию и смыслу литературу в надежде предоставить читателям больше вариантов отыскать новые, интересные, ещё непрочитанные произведения.


Отзывы о книге «Базы данных. Учебное пособие. Для студентов»

Обсуждение, отзывы о книге «Базы данных. Учебное пособие. Для студентов» и просто собственные мнения читателей. Оставьте ваши комментарии, напишите, что Вы думаете о произведении, его смысле или главных героях. Укажите что конкретно понравилось, а что нет, и почему Вы так считаете.

x