Михаил Попов - Собрание сочинений. Том 1
Здесь есть возможность читать онлайн «Михаил Попов - Собрание сочинений. Том 1» весь текст электронной книги совершенно бесплатно (целиком полную версию без сокращений). В некоторых случаях можно слушать аудио, скачать через торрент в формате fb2 и присутствует краткое содержание. Год выпуска: 2021, Жанр: Политика, economics, на русском языке. Описание произведения, (предисловие) а так же отзывы посетителей доступны на портале библиотеки ЛибКат.
- Название:Собрание сочинений. Том 1
- Автор:
- Жанр:
- Год:2021
- ISBN:нет данных
- Рейтинг книги:5 / 5. Голосов: 1
-
Избранное:Добавить в избранное
- Отзывы:
-
Ваша оценка:
Собрание сочинений. Том 1: краткое содержание, описание и аннотация
Предлагаем к чтению аннотацию, описание, краткое содержание или предисловие (зависит от того, что написал сам автор книги «Собрание сочинений. Том 1»). Если вы не нашли необходимую информацию о книге — напишите в комментариях, мы постараемся отыскать её.
Как теперь стало ясно, после совершенной на XXII съезде контрреволюции ревизионистские, то есть прикрытые марксистской терминологией, а по существу буржуазные, взгляды, стали распространяться все больше, и задачей марксистов стало их разоблачение и преодоление.
Автор в это время — в 1971 г. после окончания математико–механического факультета Ленинградского государственного университета поступил в аспирантуру экономического факультета ЛГУ и работал над диссертацией по специальности политическая экономия по теме «Соотношение качественного и количественного анализа в марксистской политической экономии», которую успешно защитил в 1971 году, был принят ассистентом кафедры политической экономии и расширил научную работу по защите и развитию марксистских взглядов. Совместно с деканом экономического факультета участником Великой отечественной войны профессором Н. А. Моисеенко он подготовил вышедшую в «Лениздате» 15-тысячным тиражом воспроизведённую в этом томе книгу «Демократический централизм — основной принцип управления социалистической экономикой», в которой был дан фронтальный разбор и критика экономического ревизионизма. С этой книги, можно сказать, начинается сознательная классовая борьба авторов в сфере идеологии, в которой, разумеется, были не только противники, но и союзники, с которыми автор установил и поддерживал боевой творческий контакт. Эта книга получила положительные рецензии, а попытки дать на неё разгромную рецензию не удались. Зато противники потом активно старались не дать автору защитить докторскую диссертацию, которую он все же защитил при поддержке соратников в 1987 году по специальности «Теория научного коммунизма».
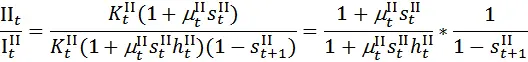
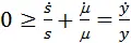
– норма прибыли, так как
.
) не выше темпа роста строения (т. е. темп роста коэффициента строения больше или равен по абсолютной величине темпа роста прибавочной стоимости). Этой экономической ситуации соответствует невозрастание нормы прибыли. Действительно,
, а
,
не возрастает. Возрастанию нормы накопления h I соответствует убывание нормы потребления, так как
. Проверим выполнение условия (1). Поскольку
, то
.
, значит,
, откуда, так как
,



убывает, то достаточным для убывания рассматриваемого отношения является условие, аналогичное выведенным из рассмотрения отношения групп I IIи I I. Действительно, при
надо потребовать отрицательности
или -
,