Довид Ласерна - На волне Вселенной. Шрёдингер. Квантовые парадоксы

Здесь есть возможность читать онлайн «Довид Ласерна - На волне Вселенной. Шрёдингер. Квантовые парадоксы» весь текст электронной книги совершенно бесплатно (целиком полную версию без сокращений). В некоторых случаях можно слушать аудио, скачать через торрент в формате fb2 и присутствует краткое содержание. Год выпуска: 2012, ISBN: 2012, Издательство: Де Агостини, Жанр: Физика, sci_popular, на русском языке. Описание произведения, (предисловие) а так же отзывы посетителей доступны на портале библиотеки ЛибКат.

На волне Вселенной. Шрёдингер. Квантовые парадоксы: краткое содержание, описание и аннотация

Предлагаем к чтению аннотацию, описание, краткое содержание или предисловие (зависит от того, что написал сам автор книги «На волне Вселенной. Шрёдингер. Квантовые парадоксы»). Если вы не нашли необходимую информацию о книге — напишите в комментариях, мы постараемся отыскать её.

Эрвин Шрёдингер сформулировал знаменитый мысленный эксперимент, чтобы продемонстрировать абсурдность физической интерпретации квантовой теории, за которую выступали такие его современники, как Нильс Бор и Вернер Гейзенберг. Кот Шрёдингера, находящийся между жизнью и смертью, ждет наблюдателя, который решит его судьбу. Этот яркий образ сразу стал символом квантовой механики, которая противоречит интуиции точно так же, как не поддается осмыслению и ситуация с котом, одновременно живым и мертвым. Шрёдингер проиграл эту битву, но его имя навсегда внесено золотыми буквами в историю науки благодаря волновому уравнению — главному инструменту для описания физического мира в атомном масштабе.
Прим. OCR: Врезки текста выделены жирным шрифтом. Символ "корень квадратный" заменен в тексте SQRT().

На волне Вселенной. Шрёдингер. Квантовые парадоксы — читать онлайн бесплатно полную книгу (весь текст) целиком

Ниже представлен текст книги, разбитый по страницам. Система сохранения места последней прочитанной страницы, позволяет с удобством читать онлайн бесплатно книгу «На волне Вселенной. Шрёдингер. Квантовые парадоксы», без необходимости каждый раз заново искать на чём Вы остановились. Поставьте закладку, и сможете в любой момент перейти на страницу, на которой закончили чтение.

Тёмная тема
Сбросить

Интервал:

Закладка:

Сделать
Неопределенность в цифрах

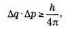
Возьмем отношение Δq · Δρ => h/ 4π, которое можно переформулировать, используя Δν, при этом р=m • у:

На волне Вселенной Шрёдингер Квантовые парадоксы - изображение 110

Неравенство показывает, что граница неопределенности для q и v зависит от отношения между постоянной Планка и массой т. Более того, для макроскопических объектов h будет незначительной, следовательно, Δq и Δρ тоже могут иметь малые значения. Таким образом, создается впечатление, что мы можем определить результат с желаемой точностью. Но с того момента как масса и размер приближаются к постоянной Планка, неопределенности начинают выходить на первый план. Чтобы доказать это, применим отношения неопределенности к трем различным объектам.

1. Автомобиль. Примем его массу примерно равной одной тонне:

Предположим что автомобиль перемещается со скоростью 100 кмчас около 30 - фото 111

Предположим, что автомобиль перемещается со скоростью 100 км/час (около 30 м/сек):

Разница между размером машины который измеряется в метрах и неопределенностью - фото 112

Разница между размером машины, который измеряется в метрах, и неопределенностью положения равна единице с 39 нулями перед ней. Невообразимо мало.

2. Пчела массой ОД грамма:

Это насекомое может перемещаться с максимальной скоростью 7 мс Для пчелы - фото 113

Это насекомое может перемещаться с максимальной скоростью 7 м/с:

Для пчелы длиной несколько сантиметров масштаб разницы между неопределенностью - фото 114

Для пчелы длиной несколько сантиметров масштаб разницы между неопределенностью ее положения и размером — 10~ 30. Это очень мало.

3. Электрон массой около 9,11 х 10 -31кг:

Присвоим электрону среднюю скорость 10 6мсек или примерно 1 от скорости - фото 115

Присвоим электрону среднюю скорость 10 6м/сек, или примерно 1% от скорости света:

Радиус орбиты электрона водорода в фундаментальном состоянии модель Бора как - фото 116

Радиус орбиты электрона водорода в фундаментальном состоянии (модель Бора), как правило, является величиной, лежащей в основе модели атома. Как мы уже увидели, радиус соответствует волновой функции Шрёдингера для той же энергии. Его значение r = 5,29 х 10 -11метров. Таким образом, в случае с электроном, неопределенность его положения — одного порядка с размером места, в котором он находится: невозможно его отследить.

Мы рассмотрели конкретный случай, но подобная неопределенность может наблюдаться в любом экспериментальном контексте. Физики обозначают степень неопределенности измерения с помощью символа Δ. Таким образом, Δx = 0 означает, что пространственная координатах частицы может иметь лишь одно значение, то есть положение частицы четко зафиксировано. Однако Δx = 5 означает, что частица может находиться где угодно в радиусе 5 метров. Гейзенберг не был удовлетворен изучением неопределенности и определил ее границы при помощи постоянной Планка:

На волне Вселенной Шрёдингер Квантовые парадоксы - изображение 117

где q означает положение частицы, а р — ее импульс. Речь идет о принципе неопределенности, в котором объединены две различные физики, и наше знание об одной обнаруживается через информированность о другой.

Заразительность неопределенности

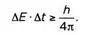
Помимо импульса и положения, Гейзенберг присвоил свое соотношение неопределенности другим парам сопряженных величин, произведение которых измеряется в тех же единицах, что и действие, то есть, подобно постоянной Планка, определяется как произведение энергии на время:

На волне Вселенной Шрёдингер Квантовые парадоксы - изображение 118

М, L и Т— фундаментальные физические величины (масса, длина и время). Считается, что произведение времени на энергию выражается в тех же единицах, что и произведение длины на импульс, а также постоянная Планка:

Гейзенберг сделал следующий вывод Чем точнее определено положение тем меньше - фото 119 Гейзенберг сделал следующий вывод Чем точнее определено положение тем меньше - фото 120

Гейзенберг сделал следующий вывод: «Чем точнее определено положение, тем меньше мы можем сказать в этот момент об импульсе, и наоборот». Предложенное им уравнение позволяет играть с этими нечеткостями. Как только какое-либо значение присваивается Δq, Δр вынуждено соответствовать условию:

Читать дальше
Тёмная тема
Сбросить

Интервал:

Закладка:

Сделать

Похожие книги на «На волне Вселенной. Шрёдингер. Квантовые парадоксы»

Представляем Вашему вниманию похожие книги на «На волне Вселенной. Шрёдингер. Квантовые парадоксы» списком для выбора. Мы отобрали схожую по названию и смыслу литературу в надежде предоставить читателям больше вариантов отыскать новые, интересные, ещё непрочитанные произведения.


Отзывы о книге «На волне Вселенной. Шрёдингер. Квантовые парадоксы»

Обсуждение, отзывы о книге «На волне Вселенной. Шрёдингер. Квантовые парадоксы» и просто собственные мнения читателей. Оставьте ваши комментарии, напишите, что Вы думаете о произведении, его смысле или главных героях. Укажите что конкретно понравилось, а что нет, и почему Вы так считаете.

x