Владимир Секерин - Теория относительности — мистификация ХХ века

Здесь есть возможность читать онлайн «Владимир Секерин - Теория относительности — мистификация ХХ века» весь текст электронной книги совершенно бесплатно (целиком полную версию без сокращений). В некоторых случаях можно слушать аудио, скачать через торрент в формате fb2 и присутствует краткое содержание. Город: Новосибирск, Год выпуска: 2007, ISBN: 2007, Издательство: Арт-Авеню, Жанр: Физика, на русском языке. Описание произведения, (предисловие) а так же отзывы посетителей доступны на портале библиотеки ЛибКат.

Теория относительности — мистификация ХХ века: краткое содержание, описание и аннотация

Предлагаем к чтению аннотацию, описание, краткое содержание или предисловие (зависит от того, что написал сам автор книги «Теория относительности — мистификация ХХ века»). Если вы не нашли необходимую информацию о книге — напишите в комментариях, мы постараемся отыскать её.

В книге приведены описания астрономических наблюдений и лабораторных экспериментов, подтверждающих соответствие скорости света классическому закону сложения скоростей и, следовательно, ложность постулата постоянства скорости света
, который является основой теории относительности (ТО). Таким образом доказана несостоятельность ТО как физической теории, показаны история и истоки её изобретения, раскрыта идеалистическая философская сущность и пагубность теории при её изучении и применении в практических приложениях.
Содержание доступно и очень полезно старшеклассникам, обязательно учителям физики (снимает комплекс неполноценности от непонимания эйнштейновской теории), оно необходимо специалистам физикам, чтобы задуматься и посмотреть на свои представления о природе света, световых «волнах», квантах.

Теория относительности — мистификация ХХ века — читать онлайн бесплатно полную книгу (весь текст) целиком

Ниже представлен текст книги, разбитый по страницам. Система сохранения места последней прочитанной страницы, позволяет с удобством читать онлайн бесплатно книгу «Теория относительности — мистификация ХХ века», без необходимости каждый раз заново искать на чём Вы остановились. Поставьте закладку, и сможете в любой момент перейти на страницу, на которой закончили чтение.

Тёмная тема
Сбросить

Интервал:

Закладка:

Сделать

Сравнивая два наблюдения периодов Ио в точках I и III, О. Рёмер увидел, что периоды их равны, но начало периода в положении III опаздывает, по его измерениям, на 22 мин по сравнению со случаем, если бы продолжительность периодов не менялась в течение времени между наблюдениями. Астроном определил, что запаздывание начала периода Ио в точке III вызвано тем, что свет от спутника должен пройти до наблюдателя дополнительное расстояние, равное диаметру земной орбиты. Делением данного расстояния на время опоздания Рёмер впервые в мире вычислил скорость света.

Рассмотрим теперь периоды в положениях II и IV. Первый из них больше первоначального на 15 с, второй — на столько же меньше. Изменение длительности периодов показывает, что свет имеет разные величины своей скорости относительно наблюдателя в зависимости от условий регистрации.

Действительно, спутник Ио отражает свет в течение времени Т и образует в пространстве поток света протяженностью λ = сТ, где с — скорость света в системе Юпитера, Т — время обращения спутника Ио вокруг Юпитера. λ — это звено, которое состоит из двух частей: а — Ио находится в освещенном месте, б — имеется разрыв в потоке света, Ио в тени Юпитера, а Земля в нашем эксперименте — платформа.

В положении I Земля неподвижна относительно Юпитера по прямой Земля-Юпитер. Звено λ, преодолев расстояние от Юпитера до Земли, регистрируется наблюдателем на Земле в течение периода:

т е в продолжение того же промежутка времени Т 1 Т То же самое происходит - фото 14

т. е. в продолжение того же промежутка времени, Т 1= Т. То же самое происходит в положении III, только здесь начало времени регистрации периода, как это наблюдается, происходит с задержкой в силу того, что звену λ необходимо время для преодоления дополнительного расстояния по диаметру орбиты Земли: Т 3= Т.

В положении II Земля удаляется от Юпитера, звено λ догоняет Землю и по закону сложения скоростей скорость света относительно Земли равна с 2= с – v 3, а время регистрации звена λ равно

где v 3 298 кмс скорость Земли по орбите Через полгода Земля движется - фото 15

где v 3= 29,8 км/с — скорость Земли по орбите.

Через полгода Земля движется навстречу потоку света, скорость которого для наблюдателя теперь равна с 4= с + v 3, а время регистрации звена λ

Так как в 11 и 12 протяженность звена λ одна и та же то перенеся λ в - фото 16

Так как в (11) и (12) протяженность звена λ одна и та же, то, перенеся λ в левую часть уравнений, правые приравниваем между собой:

Преобразовав равенство 13 относительно с находим Подставив в последнее - фото 17

Преобразовав равенство (13) относительно с, находим:

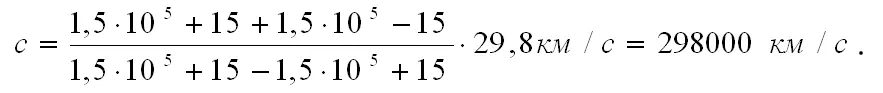
Подставив в последнее выражение численные значения наблюдаемых периодов и - фото 18

Подставив в последнее выражение численные значения наблюдаемых периодов и скорость движения Земли по орбите, вновь вычисляем скорость света относительно источника:

Проведенный способ вычисления скорости света возможен только потому что - фото 19

Проведенный способ вычисления скорости света возможен только потому, что открытое О. Рёмером явление и результаты его измерений точно соответствуют результатам нашего планируемого эксперимента с движущейся платформой, которыми подтверждается классический закон сложения скоростей для света.

4.2. Эффект Рёмера

Известно, что любой поток света как часть электромагнитного излучения не является строго однородным. Поток состоит из отдельных периодических структур, в которых при движении электрическое и магнитное поля для наблюдателя изменяются по синусоидальному закону наиболее характерному для волн, например, звуковых. Вследствие этого данные структуры названы электромагнитными «волнами». Волнами, по определению, называется процесс распространения какого-либо возмущения в среде. Но до сих пор не обнаружена среда (эфир, «физический вакуум»), в которой распространялось бы возмущение, называемое электромагнитными «волнами». Более того, имеется много доказательств, что такой среды и быть не может, поэтому наблюдаемые неоднородности представляют собой естественные звенья светового потока, упорядоченные структуры фотонов, движущиеся в пространстве и воспринимаемые нами иногда как волны. Тот факт, что мы имеем дело не с волнами, а с упорядоченной структурой фотонов, подтверждается многочисленными лабораторными опытами по измерению характеристик светового потока при относительном движении источника и приемника. Эти результаты аналогичны измерениям звеньев света на движущейся платформе и совсем не похожи на результаты измерений частот и длин волн в средах.

Читать дальше
Тёмная тема
Сбросить

Интервал:

Закладка:

Сделать

Похожие книги на «Теория относительности — мистификация ХХ века»

Представляем Вашему вниманию похожие книги на «Теория относительности — мистификация ХХ века» списком для выбора. Мы отобрали схожую по названию и смыслу литературу в надежде предоставить читателям больше вариантов отыскать новые, интересные, ещё непрочитанные произведения.


Отзывы о книге «Теория относительности — мистификация ХХ века»

Обсуждение, отзывы о книге «Теория относительности — мистификация ХХ века» и просто собственные мнения читателей. Оставьте ваши комментарии, напишите, что Вы думаете о произведении, его смысле или главных героях. Укажите что конкретно понравилось, а что нет, и почему Вы так считаете.

x